Computational Framework of Magnetized MgO–Ni/Water-Based Stagnation Nanoflow Past an Elastic Stretching Surface: Application in Solar Energy Coatings
Abstract
1. Introduction
2. Magnetic Hybrid Nanofluid Stagnation Flow Model
- Density:
- Heat capacity:
- Dynamic viscosity:
- Thermal conductivity:
- Thermal expansion coefficient:
- Electric conductivity:
3. Transformation of Mathematical Model
4. Engineering Quantities
5. Solution with MATLAB Numerical Shooting Method
6. MATLAB Computational Results and Discussion
7. Conclusions
- With increasing nanoparticle volume fraction of nickel, velocity slip, thermal Grashof number, and the Darcy number, there is a strong acceleration in the flow and reduction in momentum boundary layer thickness.
- With the elevation in the magnetic parameter and the nanoparticle volume fraction of magnesium oxide, there is a deceleration in the flow and an increase in momentum boundary layer thickness.
- An increment in nanoparticle volume fraction of both MgO and Ni boosts the temperature and thermal boundary layer thickness.
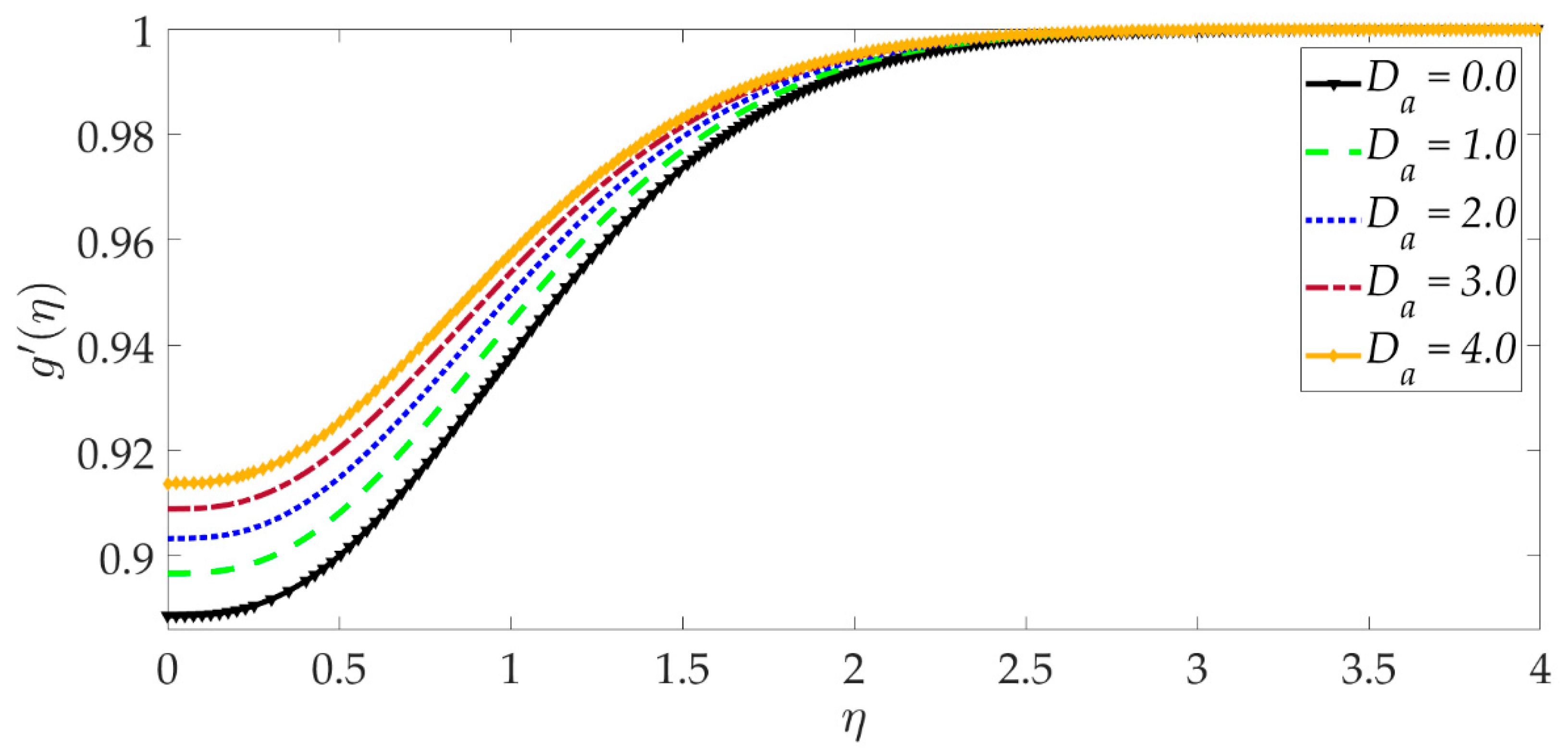
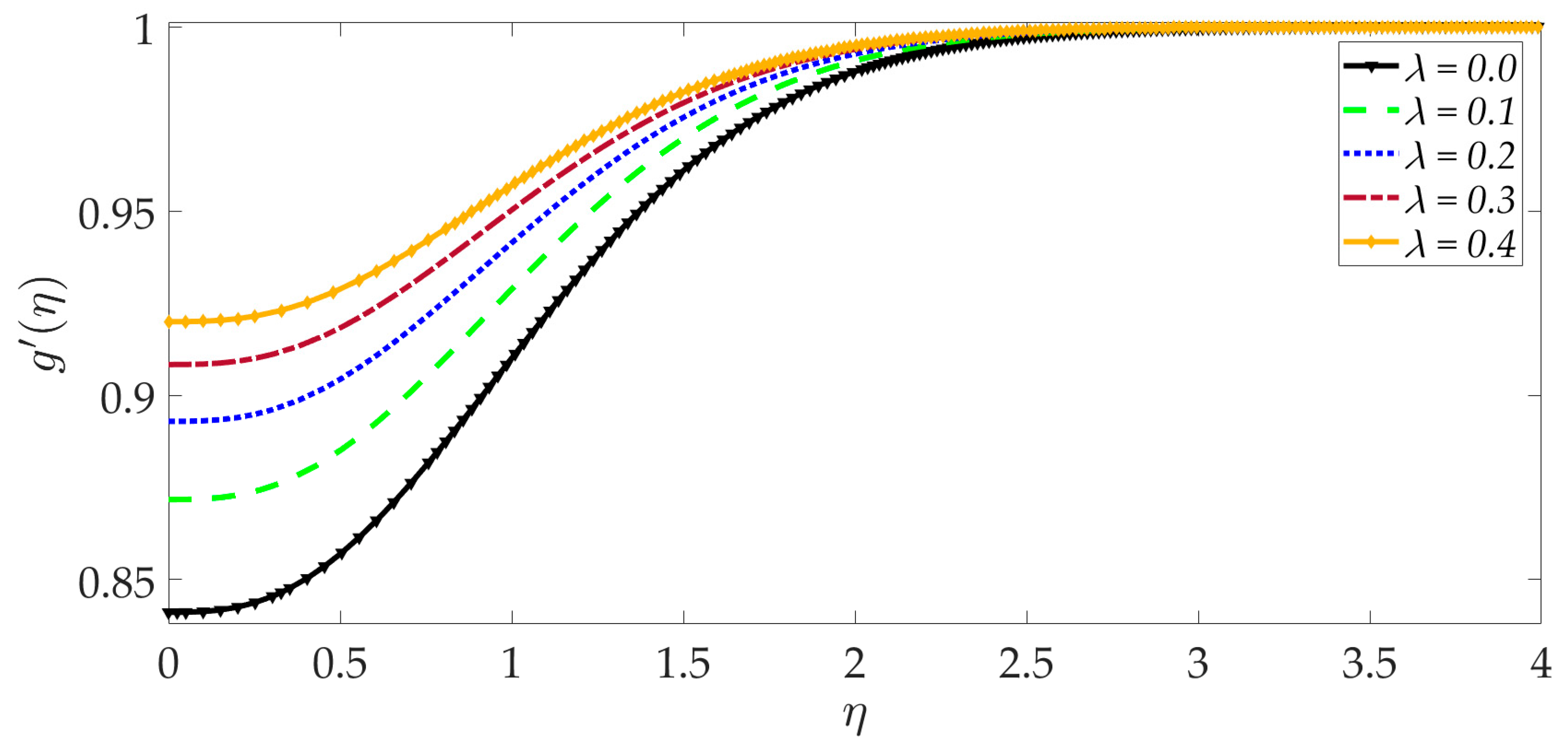
- Elevation in Darcy number, velocity slip, and thermal Grashof number generally enhance the induced magnetic field and increase magnetic boundary layer thickness.
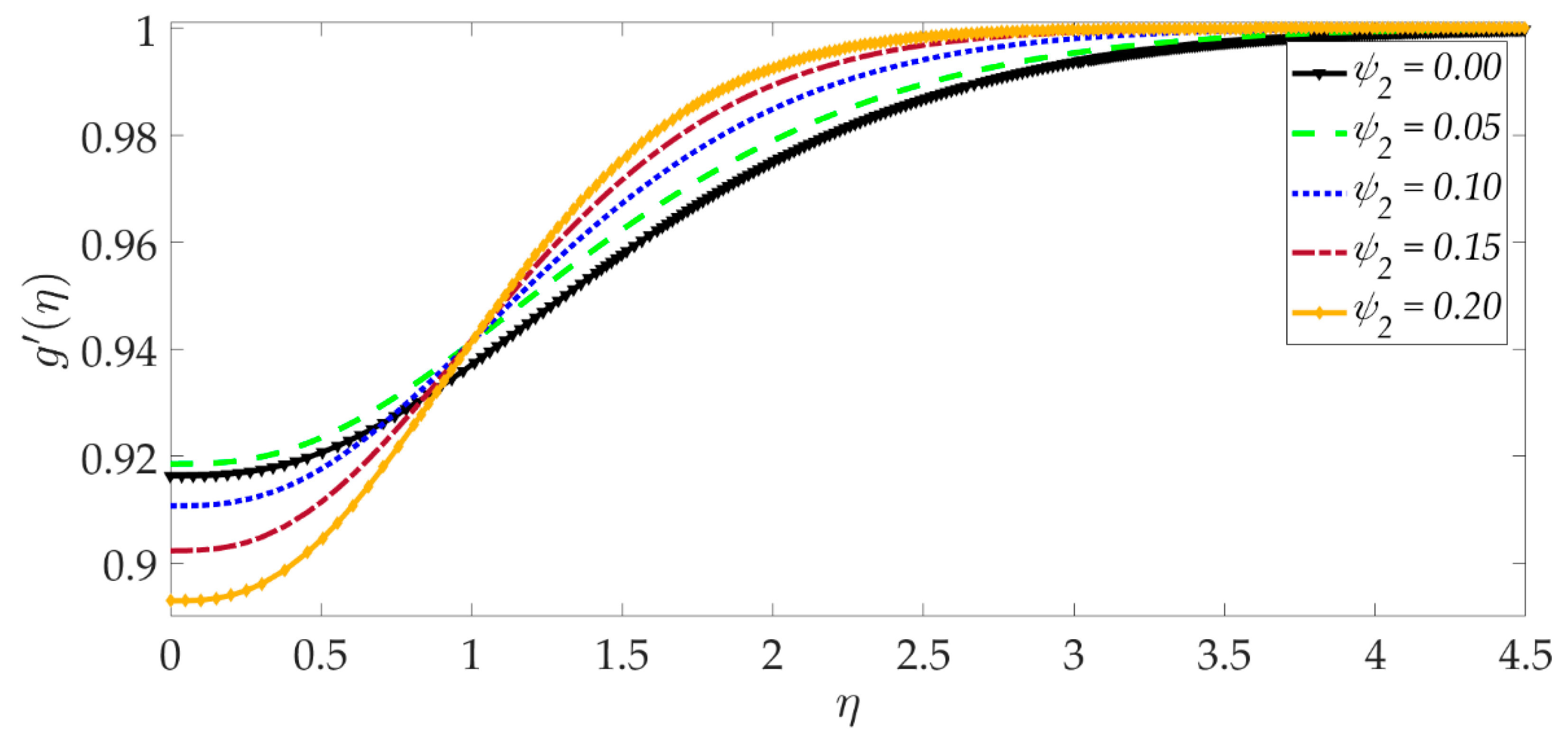
- An increment in both MgO and Ni-nanoparticle volume fractions increases magnetic induction primarily near the elastic surface (wall).
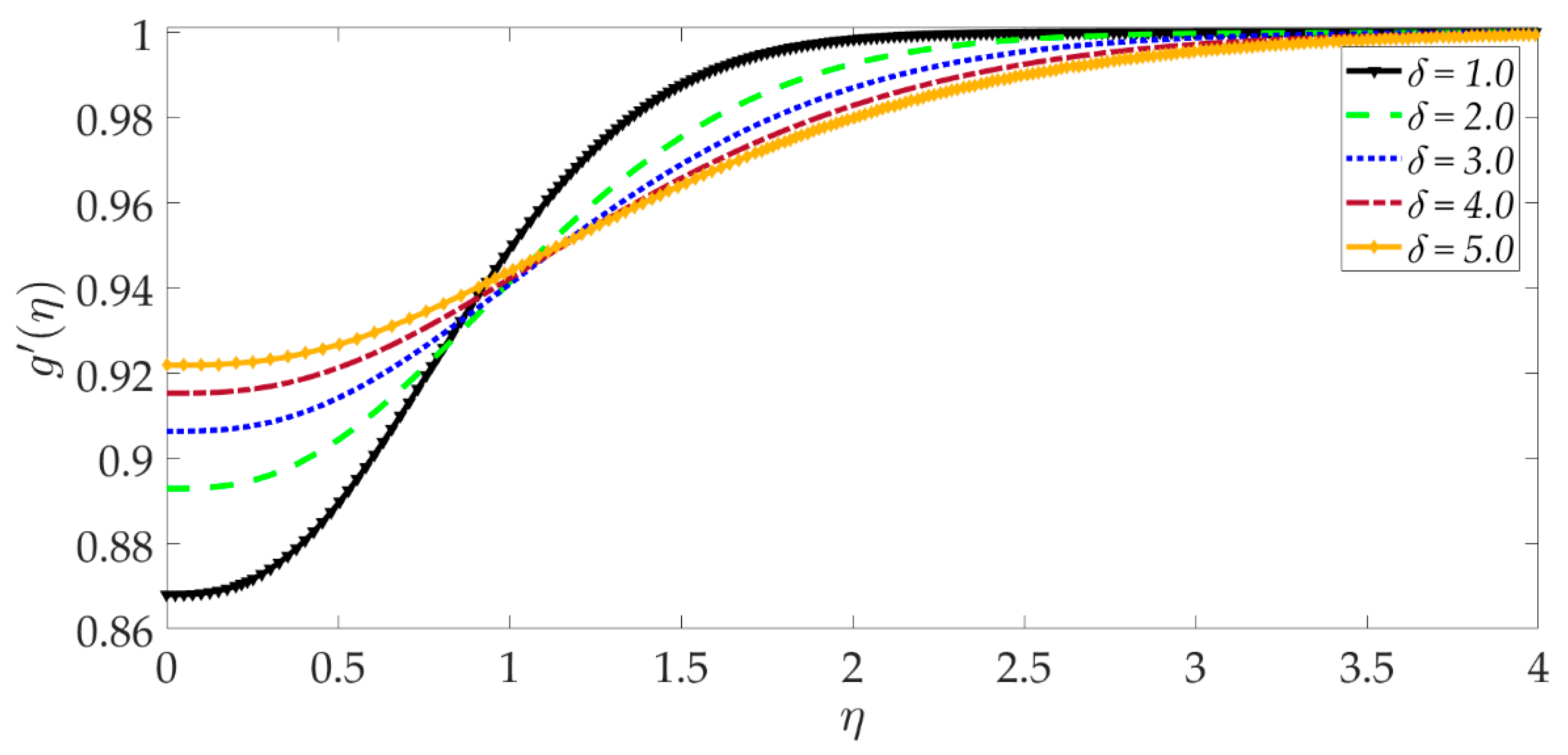
- With an increase in the reciprocal of magnetic Prandtl number (i.e., decrease in magnetic diffusion rate relative to viscous diffusion rate), initially, there is a suppression in the induced magnetic field near the wall; however, further from the wall, this trend is reversed.
- The temperature profile and thermal boundary layer thickness are boosted with increment in Darcy number and both MgO and Ni nanoparticle volume fractions.
- Increasing the Prandtl number, the heat sink parameter, and the thermal slip all have the effect of decreasing the thickness of the thermal boundary layer and the temperature magnitudes.
- Matlab shooting quadrature is found to be very accurate for solving magnetized hybrid nanofluid coating flows and achieves very good convergence characteristics.
Author Contributions
Funding
Institutional Review Board Statement
Informed Consent Statement
Data Availability Statement
Conflicts of Interest
Nomenclature
| Symbols | Names |
| Velocity at the free stream | |
| Velocity at the surface | |
| Ambient temperature | |
| Surface temperature | |
| Velocity field vector | |
| Pressure | |
| Specific heat | |
| S | Stress tensor |
| K | Permeability of the porous medium |
| Cartesian coordinate system | |
| Velocity components | |
| Velocity slip | |
| Thermal slip | |
| Magnetic parameter | |
| Mixed convection parameter | |
| Thermal Grashof number | |
| Eckert number | |
| Darcy number | |
| Local Reynolds number | |
| Prandtl number | |
| Heat source/sink parameter | |
| Ha | Hartmann number |
| Rem | Magnetic Reynolds number |
| Wall shear stress | |
| Wall heat flux | |
| Greek Symbols | |
| Kinematic viscosity | |
| Induced magnetic field vector | |
| Thermal expansion coefficient | |
| Density of the hybrid nanofluid | |
| Magnetic diffusivity | |
| Electrical conductivity | |
| Magnetic permeability parameter | |
| Magnetic induction components | |
| Magnetic field at infinity upstream | |
| Nanoparticle volume fraction of MgO nanoparticles | |
| Nanoparticle’s volume fraction of Ni | |
| Velocity slip parameter | |
| Thermal slip parameter | |
| Reciprocal of magnetic Prandtl number | |
| Characteristic length of the elastic surface | |
| Subscripts and Abbreviations | |
| MgO | Magnesium oxide |
| Ni | Nickel |
| hnf | Hybrid nanofluid |
| nf | Nanofluid |
| NPs | Nanoparticles |
References
- Kizilkan, O.; Kabul, A.; Dincer, I. Development and performance assessment of a parabolic trough solar collector-based integrated system for an ice-cream factory. Energy 2016, 100, 167–176. [Google Scholar] [CrossRef]
- Verma, S.K.; Tiwari, A.K. Progress of nanofluid application in solar collectors: A review. Energy Convers. Manag. 2015, 100, 324–346. [Google Scholar] [CrossRef]
- Marefati, M.; Mehrpooya, M.; Shafii, M.B. Optical and thermal analysis of a parabolic trough solar collector for production of thermal energy in different climates in Iran with comparison between the conventional nanofluids. J. Clean. Prod. 2018, 175, 294–313. [Google Scholar] [CrossRef]
- Harvey, L.D. Solar-hydrogen electricity generation and global CO2 emission reduction. Int. J. Hydrogen Energy 1996, 21, 583–595. [Google Scholar] [CrossRef]
- Minea, A.A.; El-Maghlany, W.M. Influence of hybrid nanofluids on the performance of parabolic trough collectors in solar thermal systems: Recent findings and numerical comparison. Renew. Energy 2018, 120, 350–364. [Google Scholar] [CrossRef]
- Choi, S.U.; Eastman, J.A. Enhancing Thermal Conductivity of Fluids with Nanoparticles; No. ANL/MSD/CP-84938; CONF-951135–29; Argonne National Lab.: Argonne, IL, USA, 1995. [Google Scholar]
- Prasher, R.; Bhattacharya, P.; Phelan, P.E. Thermal conductivity of nanoscale colloidal solutions (nanofluids). Phys. Rev. Lett. 2005, 94, 025901. [Google Scholar] [CrossRef] [PubMed]
- Azmi, W.H.; Hamid, K.A.; Usri, N.A.; Mamat, R.; Sharma, K.V. Heat transfer augmentation of ethylene glycol: Water nanofluids and applications—A review. Int. Commun. Heat Mass Transf. 2016, 75, 13–23. [Google Scholar] [CrossRef]
- Olabi, A.G.; Elsaid, K.; Sayed, E.T.; Mahmoud, M.S.; Wilberforce, T.; Hassiba, R.J.; Abdelkareem, M.A. Application of nanofluids for enhanced waste heat recovery: A review. Nano Energy 2021, 84, 105871. [Google Scholar] [CrossRef]
- Reese, J.M.; Zheng, Y.; Lockerby, D.A. Computing the near-wall region in gas micro-and nanofluidics: Critical Knudsen layer phenomena. J. Comput. Theor. Nanosci. 2007, 4, 807–813. [Google Scholar] [CrossRef]
- Badur, J.; Ziółkowski, P.J.; Ziółkowski, P. On the angular velocity slip in nano-flows. Microfluid. Nanofluid. 2015, 19, 191–198. [Google Scholar] [CrossRef][Green Version]
- Li, H.; Ha, C.S.; Kim, I. Fabrication of carbon nanotube/SiO2 and carbon nanotube/SiO2/Ag nanoparticles hybrids by using plasma treatment. Nanoscale Res. Lett. 2009, 4, 1384–1388. [Google Scholar] [CrossRef]
- Guo, S.; Dong, S.; Wang, E. Gold/platinum hybrid nanoparticles supported on multiwalled carbon nanotube/silica coaxial nanocables: Preparation and application as electrocatalysts for oxygen reduction. J. Phys. Chem. C 2008, 112, 2389–2393. [Google Scholar] [CrossRef]
- Devi, S.A.; Devi, S.S.U. Numerical investigation of hydromagnetic hybrid Cu–Al2O3/water nanofluid flow over a permeable stretching sheet with suction. Int. J. Nonlinear Sci. Numer. Simul. 2016, 17, 249–257. [Google Scholar] [CrossRef]
- Ghadikolaei, S.S.; Yassari, M.; Sadeghi, H.; Hosseinzadeh, K.; Ganji, D.D. Investigation on thermophysical properties of TiO2–Cu/H2O hybrid nanofluid transport dependent on shape factor in MHD stagnation point flow. Powder Technol. 2017, 322, 428–438. [Google Scholar] [CrossRef]
- Hassan, M.; Marin, M.; Ellahi, R.; Alamri, S.Z. Exploration of convective heat transfer and flow characteristics synthesis by Cu–Ag/water hybrid-nanofluids. Heat Transf. Res. 2018, 49, 1837–1848. [Google Scholar] [CrossRef]
- Izadi, M.; Maleki, N.M.; Pop, I.; Mehryan, S.A.M. Natural convection of a hybrid nanofluid subjected to non-uniform magnetic field within porous medium including circular heater. Int. J. Numer. Methods Heat Fluid Flow 2019, 29, 1211–1231. [Google Scholar] [CrossRef]
- Riaz, A.; Ellahi, R.; Sait, S.M. Role of hybrid nanoparticles in thermal performance of peristaltic flow of Eyring–Powell fluid model. J. Therm. Anal. Calorim. 2021, 143, 1021–1035. [Google Scholar] [CrossRef]
- Puneeth, V.; Manjunatha, S.; Madhukesh, J.K.; Ramesh, G.K. Three dimensional mixed convection flow of hybrid casson nanofluid past a non-linear stretching surface: A modified Buongiorno’s model aspects. Chaos Solitons Fractals 2021, 152, 111428. [Google Scholar] [CrossRef]
- Pilarska, A.A.; Klapiszewski, Ł.; Jesionowski, T. Recent development in the synthesis, modification and application of Mg(OH)2 and MgO: A review. Powder Technol. 2017, 319, 373–407. [Google Scholar] [CrossRef]
- El-Moslamy, S.H. Bioprocessing strategies for cost-effective large-scale biogenic synthesis of nano-MgO from endophytic Streptomyces coelicolor strain E72 as an anti-multidrug-resistant pathogens agent. Sci. Rep. 2018, 8, 3820. [Google Scholar] [CrossRef]
- Shen, Y.; He, L.; Yang, Z.; Xiong, Y. Corrosion behavior of different coatings prepared on the surface of AZ80 magnesium alloy in simulated body fluid. J. Mater. Eng. Perform. 2020, 29, 1609–1621. [Google Scholar] [CrossRef]
- Tang, H.; Zhou, X.B.; Liu, X.L. Effect of magnesium hydroxide on the flame retardant properties of unsaturated polyester resin. Procedia Eng. 2013, 52, 336–341. [Google Scholar] [CrossRef]
- Khalil, K.D.; Bashal, A.H.; Khalafalla, M.; Zaki, A.A. Synthesis, structural, dielectric and optical properties of chitosan-MgO nanocomposite. J. Taibah Univ. Sci. 2020, 14, 975–983. [Google Scholar] [CrossRef]
- Hyeon, T. Chemical synthesis of magnetic nanoparticles. Chem. Commun. 2003, 8, 927–934. [Google Scholar] [CrossRef]
- Mariam, A.A.; Kashif, M.; Arokiyaraj, S.; Bououdina, M.; Sankaracharyulu, M.; Jayachandran, M.; Hashim, U. Bio-synthesis of NiO and Ni nanoparticles and their characterization. Dig. J. Nanomater. Biostruct. 2014, 9, 1007–1019. [Google Scholar]
- Karmhag, R.; Tesfamichael, T.; Wäckelgård, E.; Niklasson, G.A.; Nygren, M. Oxidation kinetics of nickel particles: Comparison between free particles and particles in an oxide matrix. Sol. Energy 2000, 68, 329–333. [Google Scholar] [CrossRef]
- Heilmann, M.; Kulla, H.; Prinz, C.; Bienert, R.; Reinholz, U.; Guilherme Buzanich, A.; Emmerling, F. Advances in nickel nanoparticle synthesis via oleylamine route. Nanomaterials 2020, 10, 713. [Google Scholar] [CrossRef]
- Ochirkhuyag, A.; Sápi, A.; Szamosvölgyi, Á.; Kozma, G.; Kukovecz, Á.; Kónya, Z. One-pot mechanochemical ball milling synthesis of the MnOx nanostructures as efficient catalysts for CO2 hydrogenation reactions. Phys. Chem. Chem. Phys. 2020, 22, 13999–14012. [Google Scholar] [CrossRef]
- Bussamara, R.; Eberhardt, D.; Feil, A.F.; Migowski, P.; Wender, H.; de Moraes, D.P.; Dupont, J. Sputtering deposition of magnetic Ni nanoparticles directly onto an enzyme surface: A novel method to obtain a magnetic biocatalyst. Chem. Commun. 2013, 49, 1273–1275. [Google Scholar] [CrossRef]
- Alonso, F.; Riente, P.; Yus, M. Hydrogen-transfer reduction of carbonyl compounds promoted by nickel nanoparticles. Tetrahedron 2008, 64, 1847–1852. [Google Scholar] [CrossRef]
- Saxena, A.; Kumar, A.; Mozumdar, S. Ni-nanoparticles: An efficient green catalyst for chemo-selective oxidative coupling of thiols. J. Mol. Catal. A Chem. 2007, 269, 35–40. [Google Scholar] [CrossRef]
- Alonso, F.; Riente, P.; Yus, M. Alcohols for the α-Alkylation of Methyl Ketones and Indirect Aza-Wittig Reaction Promoted by Nickel Nanoparticles. Eur. J. Org. Chem. 2008, 29, 4908–4914. [Google Scholar] [CrossRef]
- Alonso, F.; Riente Paiva, P.; Yus, M. Wittig-type olefination of alcohols promoted by nickel nanoparticles: Synthesis of polymethoxylated and polyhydroxylated stilbenes. Eur. J. Org. Chem. 2009, 34, 6034–6042. [Google Scholar] [CrossRef]
- Dhakshinamoorthy, A.; Pitchumani, K. Clay entrapped nickel nanoparticles as efficient and recyclable catalysts for hydrogenation of olefins. Tetrahedron Lett. 2008, 49, 1818–1823. [Google Scholar] [CrossRef]
- Muhammad, N.; Nadeem, S.; Khan, U.; Sherif, E.S.M.; Issakhov, A. Insight into the significance of Richardson number on two-phase flow of ethylene glycol-silver nanofluid due to Cattaneo-Christov heat flux. Waves Random Complex Media 2021, 1–19. [Google Scholar] [CrossRef]
- Anwar, M.I.; Firdous, H.; Zubaidi, A.A.; Abbas, N.; Nadeem, S. Computational analysis of induced magnetohydrodynamic non-Newtonian nanofluid flow over nonlinear stretching sheet. Prog. React. Kinet. Mech. 2022, 47, 14686783211072712. [Google Scholar] [CrossRef]
- Khan, A.U.; Ullah, N.; Al-Zubaidi, A.; Nadeem, S. Finite element analysis for CuO/water nanofluid in a partially adiabatic enclosure: Inclined Lorentz forces and porous medium resistance. Alex. Eng. J. 2022, 61, 6477–6488. [Google Scholar] [CrossRef]
- Zhang, L.; Bhatti, M.M.; Michaelides, E.E.; Marin, M.; Ellahi, R. Hybrid nanofluid flow towards an elastic surface with tantalum and nickel nanoparticles, under the influence of an induced magnetic field. Eur. Phys. J. Spec. Top. 2021, 1–13. [Google Scholar] [CrossRef]
- Ziółkowski, P.A.W.E.Ł.; Badur, J. On Navier slip and Reynolds transpiration numbers. Arch. Mech. 2018, 70, 269–300. [Google Scholar]
- Kumari, M.; Takhar, H.S.; Nath, G. MHD flow and heat transfer over a stretching surface with prescribed wall temperature or heat flux. Wärme-Und Stoffübertragung 1990, 25, 331–336. [Google Scholar] [CrossRef]
- Ali, F.M.; Nazar, R.; Arifin, N.M.; Pop, I. MHD boundary layer flow and heat transfer over a stretching sheet with induced magnetic field. Heat Mass Transf. 2011, 47, 155–162. [Google Scholar] [CrossRef]
- Hassanien, I.A.; Abdullah, A.A.; Gorla, R.S.R. Flow and heat transfer in a power-law fluid over a nonisothermal stretching sheet. Math. Comput. Model. 1998, 28, 105–116. [Google Scholar] [CrossRef]
- Salleh, M.Z.; Nazar, R. Numerical solutions of the boundary layer flow and heat transfer over a stretching sheet with constant wall temperature and heat flux. In Proceedings of the Third International Conference on Mathematical Sciences ICM 2008, Al Ain, United Arab Emirates, 3–6 March 2008; pp. 1260–1267. [Google Scholar]
- Ali, F.M.; Nazar, R.; Arifin, N.M.; Pop, I. MHD stagnation-point flow and heat transfer towards stretching sheet with induced magnetic field. Appl. Math. Mech. 2011, 32, 409–418. [Google Scholar] [CrossRef]
- Kuharat, S.; Anwar Bég, O.; Kadir, A.; Vasu, B.; Bég, T.A.; Jouri, W.S. Computation of gold-water nanofluid natural convection in a three-dimensional tilted prismatic solar enclosure with aspect ratio and volume fraction effects. Nanosci. Technol. Int. J. 2020, 11, 141–167. [Google Scholar] [CrossRef]
- Bhatti, M.M.; Abdelsalam, S.I. Bio-inspired peristaltic propulsion of hybrid nanofluid flow with Tantalum (Ta) and Gold (Au) nanoparticles under magnetic effects. Waves Random Complex Media 2021, 1–26. [Google Scholar] [CrossRef]
- Ferdows, M.; Alsenafi, A.; Anwar Bég, O.; Bég, T.A.; Kadir, A. Numerical study of nano-biofilm stagnation flow from a nonlinear stretching/shrinking surface with variable nanofluid and bio-convection transport properties. Sci. Rep. 2021, 11, 9877. [Google Scholar]
- Anwar Bég, O.; Kuharat, S.; Ferdows, M.; Das, M.; Kadir, A.; Shamshuddin, M. Magnetic nano-polymer flow with magnetic induction and nanoparticle solid volume fraction effects: Solar magnetic nano-polymer fabrication simulation. Proc. IMechE-Part N J. Nanoeng. Nanomater. Nano-Syst. 2019, 233, 27–45. [Google Scholar] [CrossRef]




















| Physical Properties | Water | Nickel (Ni) | Magnesium Oxide (MgO) |
|---|---|---|---|
| 997.1 | 8908 | 3580 | |
| 0.613 | 91 | 45 | |
| 4179 | 445 | 955 | |
| 0.00021 | 0.0000134 | 0.0000336 | |
| 0.05 | 1.7 × 107 | 2.6 × 10−6 |
| Ali et al. [42] | Present Results | |||
| 102 | 0.9914 | (0.4713, 2.30818) | 0.999654056 | (0.463845643, 2.308119015) |
| 103 | 0.9993 | (0.4639, 2.30809) | 0.999975012 | (0.463616023, 2.308031227) |
| 104 | 0.9999 | (0.4632, 2.30808) | 1.000004856 | (0.463594549, 2.308022703) |
| 105 | 1.0000 | (0.4632, 2.30808) | 1.000007819 | (0.463592416, 2.308021857) |
| 0.01 | 0.9993 | (0.4639, 2.30809) | 0.999975236 | (0.463616264, 2.308024896) |
| 0.05 | 0.9970 | (0.4663, 2.30812) | 0.999889007 | (0.465078584, 2.308044206) |
| 0.10 | 0.9945 | (0.4687, 2.30817) | 0.996099015 | (0.467058435, 2.308027518) |
| 0.15 | 0.9922 | (0.4707, 2.30822) | 0.992392113 | (0.472321992, 2.307876202) |
| Ali et al. [42] | Hassanien et al. [43] | Salleh and Nazar [44] | Present Results | |
| 0.72 | 0.4632 | 0.46325 | 0.46317 | 0.463592073 |
| 10 | 2.3081 | 2.30801 | 2.30821 | 2.308006492 |
| Skin Friction | Nusselt Number | |||
| Ali et al. [45] | Present Results | Ali et al. [45] | Present Results | |
| 0.07 | 0.33814 | 0.338140112 | ||
| 0.72 | 4.52158 | 4.521582090 | 0.97240 | 0.972402233 |
| 0.5 | 0.82748 | 0.827484508 | ||
| 2.0 | 1.52147 | 1.521468063 | ||
| 6.8 | 2.59780 | 2.597812407 | ||
| 10 | 3.07902 | 3.079050771 | ||
| M | ||||
| 0.1 | 4.70928 | 4.709283867 | 0.97902 | 0.979021615 |
| 0.5 | 4.62764 | 4.627634204 | 0.97617 | 0.976172800 |
| 1.0 | 4.52158 | 4.521582090 | 0.97240 | 0.972402233 |
| 2.0 | 4.29431 | 4.294313656 | 0.96405 | 0.964045689 |
| 0.10 | −0.57595 | −0.575949681 | 0.59171 | 0.591705825 |
| 0.15 | −0.50938 | −0.509403808 | 0.60207 | 0.602061052 |
| 0.20 | −0.40717 | −0.407547217 | 0.61811 | 0.618079173 |
| 1 | 0.2 | 6.96 | 0.2 | 0.5 | 0.5 | 0.3 | 0.3 | 0.2 | 0.2 | 0.5 | 1.386342185 | 1.046697391 |
| 2 | 1.387113826 | 1.046037055 | ||||||||||
| 3 | 1.387580951 | 1.045443513 | ||||||||||
| 0.01 | 1.391446326 | 1.037575829 | ||||||||||
| 0.1 | 1.389402333 | 1.041569479 | ||||||||||
| 0.2 | 1.387113826 | 1.046037055 | ||||||||||
| 5 | 1.387916242 | 1.093391191 | ||||||||||
| 6.96 | 1.387113826 | 1.046037055 | ||||||||||
| 8 | 1.386806321 | 1.015829923 | ||||||||||
| 0 | 1.983946596 | −1.847797617 | ||||||||||
| 0.1 | 1.636922168 | −0.007837483 | ||||||||||
| 0.2 | 1.387113826 | 1.046037055 | ||||||||||
| 0 | 1.343075838 | 1.240588255 | ||||||||||
| 1 | 1.427934896 | 0.874197208 | ||||||||||
| 2 | 1.501620476 | 0.584125598 | ||||||||||
| 0.1 | 1.381818954 | 2.951411753 | ||||||||||
| 0.2 | 1.383143556 | 2.475622258 | ||||||||||
| 0.3 | 1.384467393 | 1.999464353 | ||||||||||
| 0 | 1.374362440 | 1.050348820 | ||||||||||
| 1 | 1.416662936 | 1.035561579 | ||||||||||
| 2 | 1.458421488 | 1.019592211 | ||||||||||
| 0 | 1.388693182 | 1.931909381 | ||||||||||
| 0.1 | 1.387935006 | 1.506589469 | ||||||||||
| 0.2 | 1.387450377 | 1.234763174 | ||||||||||
| 0 | 1.178305552 | 1.329401404 | ||||||||||
| 0.1 | 1.387113826 | 1.046037055 | ||||||||||
| 0.2 | 1.699319889 | 0.329337847 | ||||||||||
| 0 | 1.698735776 | 1.423814942 | ||||||||||
| 0.1 | 1.599004165 | 1.103502632 | ||||||||||
| 0.2 | 1.699319889 | 0.329337847 | ||||||||||
| −0.2 | 1.706475625 | −1.563796173 | ||||||||||
| 0 | 1.704165102 | −1.016305551 | ||||||||||
| 0.2 | 1.702063147 | −0.467389070 |
Publisher’s Note: MDPI stays neutral with regard to jurisdictional claims in published maps and institutional affiliations. |
© 2022 by the authors. Licensee MDPI, Basel, Switzerland. This article is an open access article distributed under the terms and conditions of the Creative Commons Attribution (CC BY) license (https://creativecommons.org/licenses/by/4.0/).
Share and Cite
Bhatti, M.M.; Bég, O.A.; Abdelsalam, S.I. Computational Framework of Magnetized MgO–Ni/Water-Based Stagnation Nanoflow Past an Elastic Stretching Surface: Application in Solar Energy Coatings. Nanomaterials 2022, 12, 1049. https://doi.org/10.3390/nano12071049
Bhatti MM, Bég OA, Abdelsalam SI. Computational Framework of Magnetized MgO–Ni/Water-Based Stagnation Nanoflow Past an Elastic Stretching Surface: Application in Solar Energy Coatings. Nanomaterials. 2022; 12(7):1049. https://doi.org/10.3390/nano12071049
Chicago/Turabian StyleBhatti, Muhammad Mubashir, Osman Anwar Bég, and Sara I. Abdelsalam. 2022. "Computational Framework of Magnetized MgO–Ni/Water-Based Stagnation Nanoflow Past an Elastic Stretching Surface: Application in Solar Energy Coatings" Nanomaterials 12, no. 7: 1049. https://doi.org/10.3390/nano12071049
APA StyleBhatti, M. M., Bég, O. A., & Abdelsalam, S. I. (2022). Computational Framework of Magnetized MgO–Ni/Water-Based Stagnation Nanoflow Past an Elastic Stretching Surface: Application in Solar Energy Coatings. Nanomaterials, 12(7), 1049. https://doi.org/10.3390/nano12071049

