Pixelated Vacuum Flat Panel Detector Using ZnS Photoconductor and ZnO Nanowires Cold Cathode
Abstract
1. Introduction
2. Experimental
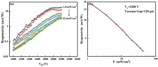
3. Results & Discussion
4. Conclusions
Author Contributions
Funding
Institutional Review Board Statement
Informed Consent Statement
Data Availability Statement
Conflicts of Interest
References
- Estre, N.; Eck, D.; Pettier, J.; Payan, E.; Roure, C.; Simon, E. High energy X-ray imaging applied to non-destructive characterization of large nuclear waste drums. IEEE Trans. Nucl. Sci. 2015, 62, 3104–3109. [Google Scholar] [CrossRef]
- Chen, Z.Q.; Zhang, L.; Jin, X. Recent progress on X-ray security inspection technologies. Chin. Sci. Bull. 2017, 62, 1350–1364. [Google Scholar] [CrossRef][Green Version]
- Berger, M.; Yang, Q.; Maier, A. X-ray Imaging in Medical Imaging Systems; Springer: New York, NY, USA, 2018; Volume 11111, pp. 119–145. [Google Scholar]
- Spahn, M. X-ray detectors in medical imaging. Nucl. Inst. Methods Phys. Res. 2013, 731, 57–63. [Google Scholar] [CrossRef]
- Wang, F.; Sun, Q.; Wang, J.; Yu, N. Risk of developing cancers due to low-dose radiation exposure among medical X-ray works in China results of a prospective study. Int. J. Chin. Exp. Pat. 2016, 9, 11897–11903. [Google Scholar]
- Lee, J.; Kang, J. Characteristics of a flexible radiation detector fabricated with non-fullerene acceptor for an Indirect-type X-ray imaging. J. Instrum. 2019, 14, 24–28. [Google Scholar] [CrossRef]
- Liang, H.; Cui, S.J.; Huo, W.X.; Wang, T.; Zhang, Y.; Quan, B.; Du, X.L.; Mei, Z. Direct ZnO X-ray detector with tunable sensitivity. Chin. Phys. Lett. 2019, 36, 6–9. [Google Scholar] [CrossRef]
- Xu, N.S.; Huq, S.E. Novel cold Cathode Materials and Applications. Mater. Sci. Eng. 2005, 48, 47–189. [Google Scholar] [CrossRef]
- Kurashige, M. The image and subject of image-acquisition technologies in the next generation. J. Inst. Image Electron. Eng. 1993, 22, 143–145. [Google Scholar]
- Li, X.; Meng, C.; Huang, B.; Yang, D.; Xu, X.; Zeng, H. All-Perovskite integrated X-Ray detector with ultrahigh sensitivity. Adv. Opt. Mater. 2020, 8, 168–181. [Google Scholar] [CrossRef]
- Sammartini, M.; Gandola, M.; Mele, F.; Garavelli, B.; Macera, D.; Pozzi, P.; Bertuccio, G. A CdTe pixel detector-CMOS preamplifier for room temperature high sensitivity and energy resolution X and γ ray spectroscopic imaging. Nucl. Inst. Methods Phys. Res. A 2018, 910, 168–173. [Google Scholar] [CrossRef]
- Bertuccio, G. Prospect for energy resolving x-ray imaging with compound semiconductor pixel detectors. Nucl. Inst. Methods Phys. Res. A 2005, 546, 232–241. [Google Scholar] [CrossRef]
- Schlesinger, T.E.; James, R.B. Semiconductors for Room Temperature Nuclear Detector Applications; Academic Press: Cambridge, MA, USA, 1995; Volume 43, pp. 12–26. [Google Scholar]
- Knoll, G.F. Radiation Detection and Measurement, 2nd ed.; John Wiley & Sons: Hoboken, NJ, USA, 2010; Volume 8, pp. 62–67. [Google Scholar]
- Del Sordo, S.; Abbene, L.; Caroli, E.; Mancini, A.M.; Zappettini, A.; Ubertini, P. Progress in the development of CdTe and CdZnTe semiconductor radiation detectors for astrophysical and medical applications. Sensors 2009, 9, 3491–3526. [Google Scholar] [CrossRef] [PubMed]
- Statham, P.J. X-ray microanalysis with Si (Li) detectors. J. Microsc. 1981, 123, 1–23. [Google Scholar] [CrossRef]
- Lechner, P.; Eckbauer, S.; Hartmann, R.; Krisch, S.; Hauff, D.; Richter, R.; Soltau, H.; Strüder, L.; Fiorini, C.; Gatti, E.; et al. Silicon drift detectors for high resolution room temperature X-ray spectroscopy. Nucl. Instrum. Methods Phys. Res. Sec. A 1996, 377, 346–351. [Google Scholar] [CrossRef]
- Seo, C.W.; Cha, B.K.; Jeon, S.; Kim, R.K.; Huh, Y. Characterization of indirect X-ray imaging detector based on nanocrystalline gadolinium oxide scintillators for high-resolution imaging application. Nucl. Inst. Methods Phys. Res. A 2013, 699, 129–133. [Google Scholar] [CrossRef]
- Seibert, J.A. Flat-panel detectors: How much better are they. Pediatric Radiol. 2006, 36, 173–181. [Google Scholar] [CrossRef] [PubMed]
- Koniczek, M.; Antonuk, L.E.; El-Mohri, Y.; Liang, A.K.; Zhao, Q. Theoretical investigation of the noise performance of active pixel imaging arrays based on polycrystalline silicon thin film transistors. Med. Phys. 2017, 44, 3491–3503. [Google Scholar] [CrossRef] [PubMed]
- Jo, Y.R.; Hong, S.K.; Kwon, O.K. CMOS flat-panel X-ray detector with dual-gain active pixel sensors and column-parallel readout circuits. IEEE Trans. Nucl. Sci. 2014, 61, 2472–2479. [Google Scholar] [CrossRef]
- Wang, K.; Ou, H.; Chen, J. Dual-Gate Photosensitive Thin-Film Transistor-Based Active Pixel Detector for Indirect-Conversion X-ray Imaging. IEEE Trans. Electron Dev. 2015, 62, 2894–2899. [Google Scholar] [CrossRef]
- Scheuermann, J.R.; Howansky, A.; Hansroul, M.; Tanioka, K.; Zhao, W. Toward scintillator high-gain avalanche rushing photoconductor active-matrix flat panel imager (SHARP-AMFPI): Initial fabrication and characterization. Med. Phys. 2017, 45, 794–802. [Google Scholar] [CrossRef]
- Tanioka, K. High-Gain avalanche ruching amorphous photoconductor (HARP) detector. Nucl. Inst. Methods Phys. Res. A 2009, 608, 15–17. [Google Scholar] [CrossRef]
- Okamoto, T.; Igari, T.; Gotoh, Y.; Sato, N.; Akiyoshi, M.; Takagi, I. Gamma-ray tolerance of CdS/CdTe photodiodes for radiation tolerant compact image sensor with field emitter array. Phys. Status Sol. C 2016, 13, 635–638. [Google Scholar] [CrossRef]
- Yamagishi, T.; Nanba, M.; Okazaki, S.; Tanioka, K.; Sato, F. The first study of a Flat Vacuum Image Sensor with a Field-Emitter Array. In Proceedings of the Solid State Sensor Arrays: Development and Applications, San Jose, CA, USA, 8–14 February 1997; Volume 3019, pp. 137–145. [Google Scholar]
- Yamagishi, T.; Nanba, M.; Osada, K.; Takiguchi, Y.; Okazaki, S.; Egami, N.; Tanioka, K.; Tanaka, M.; Itoh, S. 128 × 96 Pixel Field Emitter-array Image Sensor with HARP Target. In Proceedings of the Sensors and Camera Systems for Scientific, Industrial, and Digital Photography Applications III, San Jose, CA, USA, 19–25 January 2002; Volume 4669, pp. 29–36. [Google Scholar]
- Zhao, W.; Hunt, D.C.; Tanioka, K.; Rowlands, J.A. Indirect Flat-panel Detector with Avalanche Gain. In Proceedings of the Medical Imaging 2004: Physics of Medical Imaging, San Diego, CA, USA, 14–19 February 2004; Volume 5368, pp. 150–161. [Google Scholar]
- Zhang, Z.P.; Wang, K.; Zheng, K.S.; Deng, S.Z.; Xu, N.S.; Chen, J. Electron Bombardment Induced Photoconductivity and High Gain in a Flat Panel Photodetector Based on a ZnS Photoconductor and ZnO Nanowire Field Emitters. ACS Photonics 2018, 5, 4147–4155. [Google Scholar] [CrossRef]
- Bai, X.P.; Zhang, Z.P.; Chen, M.N.; Wang, K.; She, J.C.; Deng, S.Z.; Chen, J. Theoretical Analysis and Verification of Electron-Bombardment-Induced Photoconductivity in Vacuum Flat-Panel Detectors. J. Lightwave Technol. 2021, 39, 2618–2624. [Google Scholar] [CrossRef]
- Zhang, Z.P.; Chen, M.N.; Bai, X.P.; Wang, K.; Chen, H.J.; Deng, S.Z.; Chen, J. Sensitive direct -conversion X-ray detector formed by ZnO nanowire field emitters and β-Ga2O3 photoconductor targets with an electron bombardment induced photoconductivity mechanism. Photonics Res. 2021, 9, 2420–2428. [Google Scholar] [CrossRef]
- Zhang, Z.P.; Chen, Z.M.; Chen, M.N.; Wang, K.; Chen, H.J.; Deng, S.Z.; Wang, G.; Chen, J. ε-Ga2O3 Thin Film Avalanche Low-Energy X-ray Detectors for Highly Sensitive Detection and Fast-Response Applications. Adv. Mater. Technol. 2021, 6, 2001094. [Google Scholar] [CrossRef]
- Gomathi, P.T.; Sahatiya, P.; Badhulika, S. Large-area, flexible broadband photodetector based on ZnS-MoS2 hybrid on paper substrate. Adv. Funct. Mater. 2017, 27, 1701611. [Google Scholar] [CrossRef]
- Yang, W.; Hu, K.; Teng, F.; Weng, J.; Zhang, Y.; Fang, X. High-Performance Silicon-Compatible Large-Area UV-to-Visible Broadband Photodetector Based on Integrated Lattice-Matched Type II Se/n-Si Heterojunctions. Nano. Lett. 2018, 18, 4697–4703. [Google Scholar] [CrossRef]
- Zhan, Y.; Wang, Y.; Cheng, Q.; Li, C.; Li, K.; Li, H.; Peng, J.; Lu, B.; Wang, Y.; Song, Y.; et al. A Butterfly-Inspired Hierarchical Light-Trapping Structure Towards a High-Performance Polarization-Sensitive Perovskite Photodetector. Angew. Chem. Int. Ed. 2019, 58, 16456–16462. [Google Scholar] [CrossRef]
- Hu, K.; Teng, F.; Zheng, L.; Yu, P.; Zhang, Z.; Chen, H.; Fang, X.S.; Hsu, S.H.; Chang, Y.C. Binary response Se/ZnO p-n heterojunction UV photodetector with high on/off ratio and fast speed. Laser Photonics Rev. 2017, 11, 1600257. [Google Scholar] [CrossRef]








| Photodetector | Area | Responsivity (mA/W) | Light (nm); P (mW/cm2) | Imaging Capability | Ref. |
|---|---|---|---|---|---|
| VFPD using pixelated ZnS photoconductor | 4.5 × 8.0 cm2 (6 × 8 mm2/pixel) | 18 | white light; 1.41 | Yes | This work |
| VFPD using ZnS photoconductor | 4.5 × 8.0 cm2 | 177 | white light; 1 | No | [30] |
| ZnS-MoS2 hybrid photodetector | 2 × 0.5 cm2 | 1.785 × 10−2 | white light; 19.1 | No | [33] |
| Se/n-Si heterojunction photodetector | 1.41 × 10−1 mm2 | 37.4 | 610; 0.704 | No | [34] |
| Perovskite photodetector | not given | 12.7 × 103 | white light; 3.2 × 10−2 | No | [35] |
| Se/ZnO heterojunction photodetector | ~1 × 1 cm2 | 2.65 | 370; 0.85 | No | [36] |
Publisher’s Note: MDPI stays neutral with regard to jurisdictional claims in published maps and institutional affiliations. |
© 2022 by the authors. Licensee MDPI, Basel, Switzerland. This article is an open access article distributed under the terms and conditions of the Creative Commons Attribution (CC BY) license (https://creativecommons.org/licenses/by/4.0/).
Share and Cite
Hu, D.; Bai, X.; Wang, C.; Zhang, Z.; Li, X.; Zhang, G.; Deng, S.; Chen, J. Pixelated Vacuum Flat Panel Detector Using ZnS Photoconductor and ZnO Nanowires Cold Cathode. Nanomaterials 2022, 12, 884. https://doi.org/10.3390/nano12050884
Hu D, Bai X, Wang C, Zhang Z, Li X, Zhang G, Deng S, Chen J. Pixelated Vacuum Flat Panel Detector Using ZnS Photoconductor and ZnO Nanowires Cold Cathode. Nanomaterials. 2022; 12(5):884. https://doi.org/10.3390/nano12050884
Chicago/Turabian StyleHu, Delin, Xingpeng Bai, Chengyun Wang, Zhipeng Zhang, Xiaojie Li, Guofu Zhang, Shaozhi Deng, and Jun Chen. 2022. "Pixelated Vacuum Flat Panel Detector Using ZnS Photoconductor and ZnO Nanowires Cold Cathode" Nanomaterials 12, no. 5: 884. https://doi.org/10.3390/nano12050884
APA StyleHu, D., Bai, X., Wang, C., Zhang, Z., Li, X., Zhang, G., Deng, S., & Chen, J. (2022). Pixelated Vacuum Flat Panel Detector Using ZnS Photoconductor and ZnO Nanowires Cold Cathode. Nanomaterials, 12(5), 884. https://doi.org/10.3390/nano12050884

