Preparation, Characterization, and Bioactivity Evaluation of Polyoxymethylene Copolymer/Nanohydroxyapatite-g-Poly(ε-caprolactone) Composites
Abstract
1. Introduction
2. Materials and Methods
2.1. HAp Functionalization and POM/HAp-g-PCL Composites Preparation
2.2. Techniques
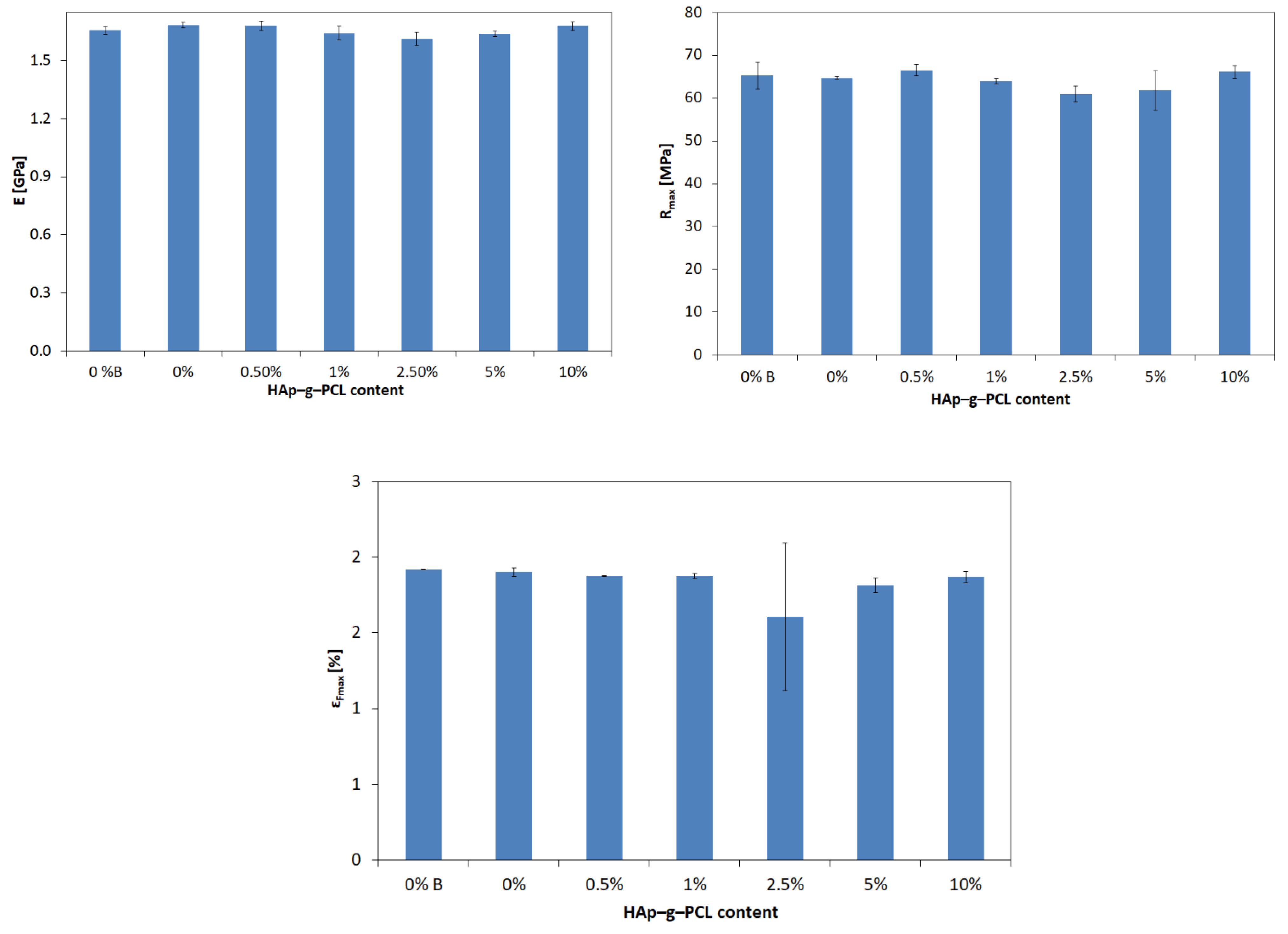
3. Results and Discussion
4. Conclusions
Author Contributions
Funding
Institutional Review Board Statement
Informed Consent Statement
Data Availability Statement
Conflicts of Interest
References
- Lüftl, S.; Visakh, P.M.; Chandran, S. Polyoxymethylene Handbook: Structure, Properties, Applications and their Nanocomposites; Polymer Science and Plastics Engineering; John Wiley & Sons: Hoboken, NJ, USA, 2014. [Google Scholar]
- Hu, Y.; Ye, L. Study on the Thermal Stabilization Effect of Polyamide on Polyoxymethylene. Polym. Plast. Technol. Eng. 2006, 45, 839–844. [Google Scholar] [CrossRef]
- Pielichowska, K. Polyoxymethylene-Homopolymer/Hydroxyapatite Nanocomposites for Biomedical Applications. J. Appl. Polym. Sci. 2012, 123, 2234–2243. [Google Scholar] [CrossRef]
- Moore, D.J.; Freeman, M.A.R.; Revell, P.A.; Bradley, G.W.; Tuke, M. Can a total knee replacement prosthesis be made entirely of polymers? J. Arthroplast. 1998, 13, 388–395. [Google Scholar] [CrossRef]
- Meyers, M.A.; Chen, P.-Y.; Lin, A.Y.-M.; Seki, Y. Biological materials: Structure and mechanical properties. Prog. Mater. Sci. 2008, 53, 1–206. [Google Scholar] [CrossRef]
- Pielichowska, K.; Blazewicz, S. Bioactive polymer/hydroxyapatite (nano)composites for bone tissue regeneration. Adv. Polym. Sci. 2010, 232, 97–207. [Google Scholar]
- Pielichowska, K. Thermooxidative degradation of polyoxymethylene homo- and copolymer nanocomposites with hydroxyapatite: Kinetic and thermoanalytical study. Thermochim. Acta 2015, 600, 7–19. [Google Scholar] [CrossRef]
- Pielichowska, K.; Król, K.; Majka, T.M. Polyoxymethylene-copolymer based composites with PEG-grafted hydroxyapatite with improved thermal stability. Thermochim. Acta 2016, 633, 98–107. [Google Scholar] [CrossRef]
- Król-Morkisz, K.; Karaś, E.; Majka, T.M.; Pielichowski, K.; Pielichowska, K. Thermal Stabilization of Polyoxymethylene by PEG-Functionalized Hydroxyapatite: Examining the Effects of Reduced Formaldehyde Release and Enhanced Bioactivity. Adv. Polym. Technol. 2019, 2019, 9728637. [Google Scholar] [CrossRef]
- White, T.; Ferraris, C.; Kim, J.; Madhavi, S. Apatite—An Adaptive Framework Structure. Rev. Mineral. Geochem. 2005, 57, 307–401. [Google Scholar] [CrossRef]
- Kreidler, E.R.; Hummel, F.A. The crystal chemistry of apatite: Structure fields of fluor- and chlorapatite. Am. Mineral. 1970, 55, 170–184. [Google Scholar]
- Joris, S.J.; Amberg, C.H. Nature of deficiency in nonstoichiometric hydroxyapatites. I. Catalytic activity of calcium and strontium hydroxyapatites. J. Phys. Chem. 1971, 75, 3167–3171. [Google Scholar] [CrossRef]
- Archodoulaki, V.M.; Luftl, S.; Seidler, S. Stabiliser consumption of polyoxymethylene investigated by means of the pressure oxidative induction time method. Polym. Test. 2008, 27, 234–242. [Google Scholar] [CrossRef]
- Krautkrämer, J.; Krautkrämer, H. Introduction. In Ultrasonic Testing of Materials; Springer: Berlin/Heidelberg, Germany, 1990; pp. 1–3. [Google Scholar]
- Kokubo, T.; Takadama, H. How useful is SBF in predicting in vivo bone bioactivity? Biomaterials 2006, 27, 2907–2915. [Google Scholar] [CrossRef] [PubMed]
- Król, P. Synthesis methods, chemical structures and phase structures of linear polyurethanes. Properties and applications of linear polyurethanes in polyurethane elastomers, copolymers and ionomers. Prog. Mater. Sci. 2007, 52, 915–1015. [Google Scholar] [CrossRef]
- Ma, Z.-L.; Tsou, C.-H.; Yao, Y.-L.; de Guzman, M.R.; Wu, C.-S.; Gao, C.; Yang, T.; Chen, Z.-J.; Zeng, R.; Yang, T.-T.; et al. Thermal Properties and Barrier Performance of Antibacterial High-Density Polyethylene Reinforced with Carboxyl Graphene-Grafted Modified High-Density Polyethylene. Ind. Eng. Chem. Res. 2021, 60, 12911–12922. [Google Scholar] [CrossRef]
- Tsou, C.-H.; Yao, W.-H.; Wu, C.-S.; Tsou, C.-Y.; Hung, W.-S.; Chen, J.-C.; Guo, J.; Yuan, S.; Wen, E.; Wang, R.-Y.; et al. Preparation and characterization of renewable composites fromPolylactide and Rice husk for 3D printing applications. J. Polym. Res. 2019, 26, 227. [Google Scholar] [CrossRef]
- Rahman, M.D.S.; Shaislamov, U.; Yang, J.-K.; Kim, J.-K.; Yu, Y.H.; Choi, S.; Lee, H.J. Effects of electron beam irradiation on tribological and physico-chemical properties of Polyoxymethylene copolymer (POM-C). Nucl. Instrum. Methods Phys. Res. Sect. B Beam Interact. Mater. At. 2016, 387, 54–62. [Google Scholar] [CrossRef]
- Wen, Y.; Tsou, C.-H.; Gao, C.; Chen, J.-C.; Tang, Z.; Chen, Z.; Yang, T.; Du, J.; Yu, Y.; Suen, M.-C.; et al. Evaluating distillers grains as bio-fillers for high-density polyethylene. J. Polym. Res. 2020, 27, 167. [Google Scholar] [CrossRef]
- Pielichowska, K.; Szczygielska, A.; Spasówka, E. Preparation and characterization of polyoxymethylene-copolymer/hydroxyapatite nanocomposites for long-term bone implants. Polym. Adv. Technol. 2012, 23, 1141–1150. [Google Scholar] [CrossRef]
- Fukuda, H.; Ishida, S.; Matsuoka, T. Polyacetal Composition. U.S. Patent 3903197, 2 September 1975. [Google Scholar]
- Wunderlich, B. Thermal Analysis of Polymeric Materials; Springer: Berlin/Heidelberg, Germany, 2005. [Google Scholar]
- Pielichowska, K.; Dryzek, E.; Olejniczak, Z.; Pamula, E.; Pagacz, J. A study on the melting and crystallization of polyoxymethylene-copolymer/hydroxyapatite nanocomposites. Polym. Adv. Technol. 2013, 24, 318–330. [Google Scholar] [CrossRef]
- Avrami, M. Granulation, Phase Change, and Microstructure Kinetics of Phase Change. III. J. Chem. Phys. 1941, 9, 177–184. [Google Scholar] [CrossRef]
- Chatterjee, T.; Lorenzo, A.T.; Krishnamoorti, R. Poly(ethylene oxide) crystallization in single walled carbon nanotube based nanocomposites: Kinetics and structural consequences. Polymer 2011, 52, 4938–4946. [Google Scholar] [CrossRef]
- Lin, C.C. The rate of crystallization of poly(ethylene terephthalate) by differential scanning calorimetry. Polym. Eng. Sci. 1983, 23, 113–116. [Google Scholar] [CrossRef]
- Müller, A.J.; Arnal, M.L.; Trujillo, M.; Lorenzo, A.T. Super-nucleation in nanocomposites and confinement effects on the crystallizable components within block copolymers, miktoarm star copolymers and nanocomposites. Eur. Polym. J. 2011, 47, 614–629. [Google Scholar] [CrossRef]
- Hoffman, J.D.; Lauritzen, J.I., Jr. Crystallization of Bulk Polymers with Chain Folding: Theory of Growth of Lamellar Spherulites. J. Res. Natl. Bur. Stand. Sect. A Phys. Chem. 1961, 65, 297–336. [Google Scholar] [CrossRef] [PubMed]
- Wunderlich, B. Macromolecular Physics: Crystal Melting; Elsevier Science: Amsterdam, The Netherlands, 2013. [Google Scholar]
- Nakamura, S.; Yamashita, K. Non-Stoichiometric Hydroxyapatite Microcrystals Formation. High Ph Reg. Phosphorus Res. Bull. 2000, 11, 1–6. [Google Scholar] [CrossRef][Green Version]
- Pielichowska, K. The influence of molecular weight on the properties of polyacetal/hydroxyapatite nanocomposites. Part 2. In vitro assessment. J. Polym. Res. 2012, 19, 1–16. [Google Scholar] [CrossRef]















| Material | T1% (°C) | T3% (°C) | T5% (°C) | T10% (°C) | T25% (°C) | T50% (°C) | TDTGmax (°C) |
|---|---|---|---|---|---|---|---|
| POM | 292 | 341 | 349 | 359 | 375 | 390 | 386 |
| POM/0.5%HAp-g-PCL | 326 | 348 | 356 | 366 | 379 | 392 | 395 |
| POM/1%HAp-g-PCL | 328 | 348 | 356 | 366 | 379 | 392 | 386 |
| POM/2.5%HAp-g-PCL | 333 | 355 | 364 | 374 | 386 | 398 | 393 |
| POM/5%HAp-g-PCL | 325 | 354 | 364 | 375 | 388 | 402 | 405 |
| POM/10%HAp-g-PCL | 312 | 348 | 361 | 375 | 391 | 405 | 410 |
| Sample | Tonset (°C) | Tendset (°C) | Tmax (°C) | Heat of Phase Transition (J/g) | Degree of Crystallinity (%) |
|---|---|---|---|---|---|
| First heating run | |||||
| POM | 159 | 167 | 171 | 164 | 44.3 |
| POM/0.5%HAp-g-PCL | 160 | 168 | 171 | 144 | 47.4 |
| POM/1%HAp-g-PCL | 158 | 172 | 176 | 153 | 48.5 |
| POM/2.5%HAp-g-PCL | 158 | 169 | 174 | 156 | 46.8 |
| POM/5%HAp-g-PCL | 159 | 168 | 173 | 146 | 45.6 |
| POM/10%HAp-g-PCL | 158 | 168 | 171 | 137 | 48.8 |
| Crystallization | |||||
| POM | 149 | 147 | 139 | 167 | |
| POM/0.5%HAp-g-PCL | 150 | 148 | 140 | 169 | |
| POM/1%HAp-g-PCL | 150 | 147 | 138 | 167 | |
| POM/2.5%HAp-g-PCL | 150 | 148 | 141 | 162 | |
| POM/5%HAp-g-PCL | 150 | 148 | 140 | 156 | |
| POM/10%HAp-g-PCL | 150 | 147 | 139 | 150 | |
| Second heating run | |||||
| POM | 160 | 167 | 173 | 169 | 51.8 |
| POM/0.5%HAp-g-PCL | 160 | 168 | 173 | 163 | 50.4 |
| POM/1%HAp-g-PCL | 160 | 169 | 174 | 163 | 50.9 |
| POM/2.5%HAp-g-PCL | 161 | 167 | 173 | 162, | 51.8 |
| POM/5%HAp-g-PCL | 161 | 168 | 172 | 153 | 51.0 |
| POM/10%HAp-g-PCL | 160 | 168 | 173 | 152 | 55.0 |
| Sample | TC (°C) | n | k (min−n) | R2 | tmax (min) | t1/2 (min) | G (min−1) |
|---|---|---|---|---|---|---|---|
| POM | 152 | 2.56 | 2.62 × 10−2 | 1.0000 | 3.42 | 3.60 | 0.2778 |
| 153 | 2.84 | 2.38 × 10−3 | 1.0000 | 7.22 | 7.39 | 0.1353 | |
| 154 | 2.94 | 1.75 × 10−4 | 0.9997 | 16.45 | 16.73 | 0.0598 | |
| 155 | 2.97 | 1.01 × 10−5 | 0.9998 | 41.73 | 42.34 | 0.0236 | |
| POM/1%HAp-g-PCL | 152 | 2.28 | 1.00 × 10−1 | 0.9995 | 2.13 | 2.33 | 0.4287 |
| 153 | 2.75 | 1.13 × 10−2 | 0.9993 | 4.34 | 4.47 | 0.2235 | |
| 154 | 2.74 | 2.02 × 10−3 | 0.9998 | 8.15 | 8.42 | 0.1188 | |
| 155 | 2.80 | 1.86 × 10−4 | 0.9996 | 18.30 | 18.80 | 0.0532 | |
| POM/5%HAp-g-PCL | 152 | 2.47 | 1.66 × 10−1 | 0.9999 | 1.68 | 1.78 | 0.5606 |
| 153 | 2.62 | 3.12 × 10−2 | 1.0000 | 3.13 | 3.27 | 0.3062 | |
| 154 | 2.87 | 2.78 × 10−3 | 1.0000 | 6.69 | 6.84 | 0.1463 | |
| 155 | 3.15 | 9.57 × 10−5 | 0.9998 | 16.76 | 16.84 | 0.0594 |
| Sample | Kg × 105 (K2) | Tm0 (K) | U* (kJ/mol) | l (nm) (dla 152 °C) | |
|---|---|---|---|---|---|
| POM | 4.03 | 199.5 | 6.3 | 0.159 | 17.9 |
| POM/1%HAp-g-PCL | 3.32 | 192.9 | 6.3 | 0.133 | 21.1 |
| POM/5%HAp-g-PCL | 2.60 | 197.1 | 6.3 | 0.103 | 27.4 |
| Material | Glass Temperature (°C) | ∆Cp (J/g·K) |
|---|---|---|
| POM | −71.2 | 0.068 |
| POM/1%HAp-g-PCL | −71.2 | 0.110 |
| POM/5%HAp-g-PCL | −73.9 | 0.097 |
Publisher’s Note: MDPI stays neutral with regard to jurisdictional claims in published maps and institutional affiliations. |
© 2022 by the authors. Licensee MDPI, Basel, Switzerland. This article is an open access article distributed under the terms and conditions of the Creative Commons Attribution (CC BY) license (https://creativecommons.org/licenses/by/4.0/).
Share and Cite
Pielichowska, K.; Szuba, P.; Maciocha, J.; Macherzyńska, B.; Nowicka, K.; Szatkowski, P. Preparation, Characterization, and Bioactivity Evaluation of Polyoxymethylene Copolymer/Nanohydroxyapatite-g-Poly(ε-caprolactone) Composites. Nanomaterials 2022, 12, 858. https://doi.org/10.3390/nano12050858
Pielichowska K, Szuba P, Maciocha J, Macherzyńska B, Nowicka K, Szatkowski P. Preparation, Characterization, and Bioactivity Evaluation of Polyoxymethylene Copolymer/Nanohydroxyapatite-g-Poly(ε-caprolactone) Composites. Nanomaterials. 2022; 12(5):858. https://doi.org/10.3390/nano12050858
Chicago/Turabian StylePielichowska, Kinga, Paula Szuba, Joanna Maciocha, Beata Macherzyńska, Katarzyna Nowicka, and Piotr Szatkowski. 2022. "Preparation, Characterization, and Bioactivity Evaluation of Polyoxymethylene Copolymer/Nanohydroxyapatite-g-Poly(ε-caprolactone) Composites" Nanomaterials 12, no. 5: 858. https://doi.org/10.3390/nano12050858
APA StylePielichowska, K., Szuba, P., Maciocha, J., Macherzyńska, B., Nowicka, K., & Szatkowski, P. (2022). Preparation, Characterization, and Bioactivity Evaluation of Polyoxymethylene Copolymer/Nanohydroxyapatite-g-Poly(ε-caprolactone) Composites. Nanomaterials, 12(5), 858. https://doi.org/10.3390/nano12050858

