Z-Scheme Heterojunction of 3-Dimensional Hierarchical Bi3O4Cl/Bi5O7I for a Significant Enhancement in the Photocatalytic Degradation of Organic Pollutants (RhB and BPA)
Abstract
1. Introduction
2. Materials and Methods
2.1. Chemicals
2.2. Preparation of BOC/BOI Composites
2.3. Characterization of Prepared Samples
2.4. Photocatalytic Activity Measurements
2.5. Electrochemical Impedance Spectroscopy Measurements
3. Results and Discussion
3.1. Structural, Morphological, and Elemental Characterization
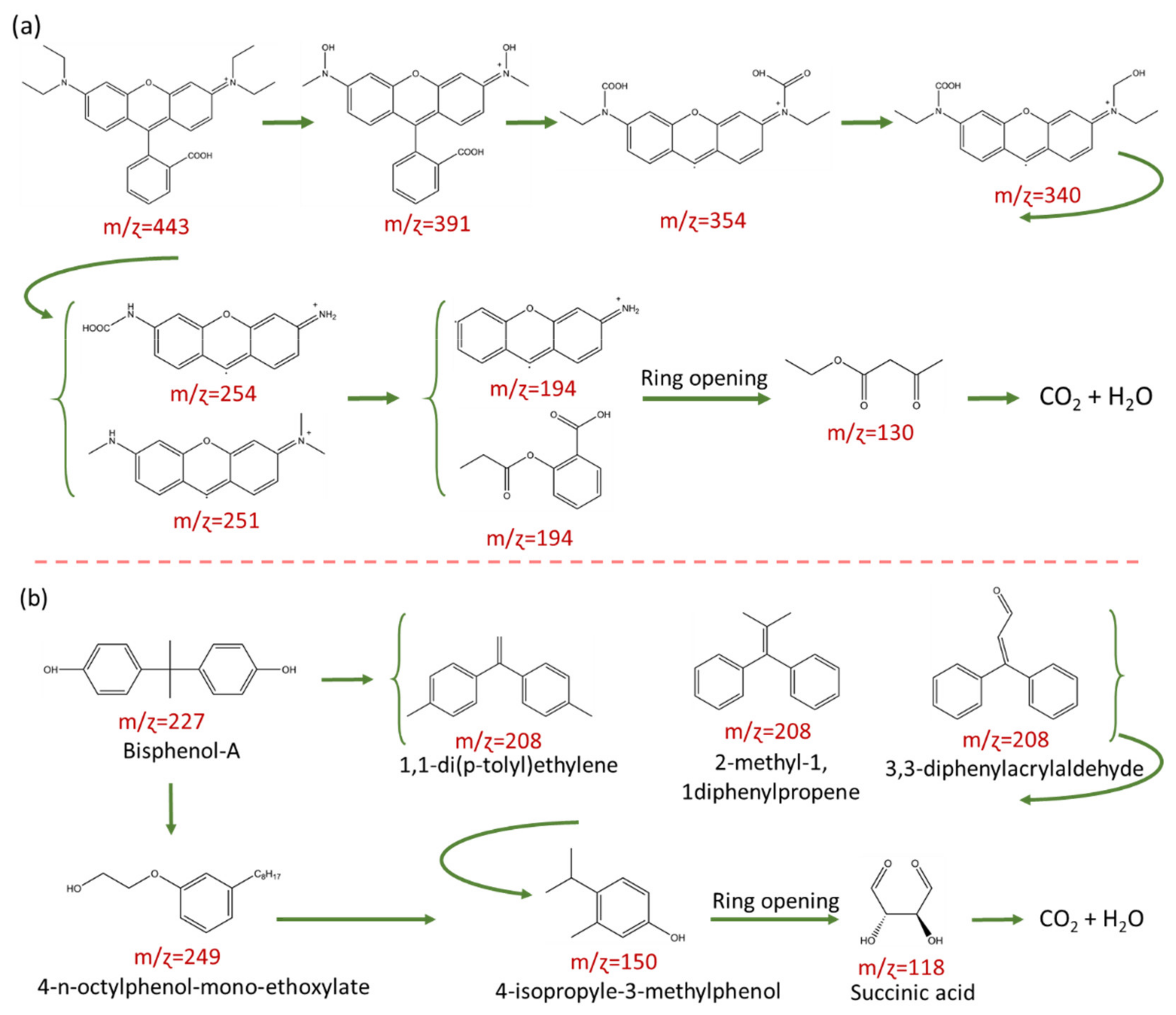
3.2. Photocatalytic Performance, Elucidation of Active Species, and Degradation Pathway
3.3. Reusability, Structural and Morphological Stability of Photocatalyst
3.4. Behavior of Photogenerated Charge Carriers
3.5. Photocatalytic Mechanism and Interfacial Charge Transfer Behavior
4. Conclusions
Supplementary Materials
Author Contributions
Funding
Institutional Review Board Statement
Informed Consent Statement
Data Availability Statement
Conflicts of Interest
References
- Al-Buriahi, A.K.; Al-Gheethi, A.A.; Senthil Kumar, P.; Radin Mohamed, R.M.S.; Yusof, H.; Alshalif, A.F.; Khalifa, N.A. Elimination of Rhodamine B from Textile Wastewater Using Nanoparticle Photocatalysts: A Review for Sustainable Approaches. Chemosphere 2022, 287, 132162. [Google Scholar] [CrossRef] [PubMed]
- Skjolding, L.M.; Jørgensen, L.v.G.; Dyhr, K.S.; Köppl, C.J.; McKnight, U.S.; Bauer-Gottwein, P.; Mayer, P.; Bjerg, P.L.; Baun, A. Assessing the Aquatic Toxicity and Environmental Safety of Tracer Compounds Rhodamine B and Rhodamine WT. Water Res. 2021, 197, 117109. [Google Scholar] [CrossRef]
- Corrales, J.; Kristofco, L.A.; Steele, W.B.; Yates, B.S.; Breed, C.S.; Williams, E.S.; Brooks, B.W. Global Assessment of Bisphenol A in the Environment: Review and Analysis of Its Occurrence and Bioaccumulation. Dose-Response 2015, 13, 1559325815598308. [Google Scholar] [CrossRef] [PubMed]
- Wright-Walters, M.; Volz, C.; Talbott, E.; Davis, D. An Updated Weight of Evidence Approach to the Aquatic Hazard Assessment of Bisphenol A and the Derivation a New Predicted No Effect Concentration (Pnec) Using a Non-Parametric Methodology. Sci. Total Environ. 2011, 409, 676–685. [Google Scholar] [CrossRef]
- Lahrich, S.; Laghrib, F.; Farahi, A.; Bakasse, M.; Saqrane, S.; El Mhammedi, M.A. Review on the Contamination of Wastewater by COVID-19 Virus: Impact and Treatment. Sci. Total Environ. 2021, 751, 142325. [Google Scholar] [CrossRef]
- Zhou, N.; Tan, J.; Li, X.; Wang, L.; Jin, C.; Chen, M.; Yu, Z.; Liang, Y.; Qiu, Z.; Li, W.; et al. Fabrication of Z-Scheme Bi5O7I/MIL-53(Fe) Hybrid with Improved Photocatalytic Performance under Visible Light Irradiation. J. Mater. Sci. Mater. Electron. 2020, 31, 4822–4835. [Google Scholar] [CrossRef]
- Li, M.; Li, Y.; Chen, F.; Lin, X.; Feng, Q. Electrically Enhanced Photocatalysis for Gas-Phase Benzaldehyde Degradation by Ordered Mesoporous Titania/Conductive Carbon Felts. Electrochim. Acta 2016, 216, 517–527. [Google Scholar] [CrossRef]
- Yuan, L.; Jiang, S.-M.; Li, Z.-Z.; Zhu, Y.; Yu, J.; Li, L.; Li, M.-Z.; Tang, S.; Sheng, R.-R. Photocatalyzed Cascade Meerwein Addition/Cyclization of N-Benzylacrylamides toward Azaspirocycles. Org. Biomol. Chem. 2018, 16, 2406–2410. [Google Scholar] [CrossRef]
- Sharma, K.; Dutta, V.; Sharma, S.; Raizada, P.; Hosseini-Bandegharaei, A.; Thakur, P.; Singh, P. Recent Advances in Enhanced Photocatalytic Activity of Bismuth Oxyhalides for Efficient Photocatalysis of Organic Pollutants in Water: A Review. J. Ind. Eng. Chem. 2019, 78, 1–20. [Google Scholar] [CrossRef]
- Tang, S.; Fu, Z.; Li, Y.; Li, Y. Study on Boron and Fluorine-Doped C3N4 as a Solid Activator for Cyclohexane Oxidation with H2O2 Catalyzed by 8-Quinolinolato IronIII Complexes under Visible Light Irradiation. Appl. Catal. A Gen. 2020, 590, 117342. [Google Scholar] [CrossRef]
- Wu, X.; Zhang, Y.; Wang, K.; Zhang, S.; Qu, X.; Shi, L.; Du, F. In-Situ Construction of Bi/Defective Bi4NbO8Cl for Non-Noble Metal Based Mott-Schottky Photocatalysts towards Organic Pollutants Removal. J. Hazard. Mater. 2020, 393, 122408. [Google Scholar] [CrossRef] [PubMed]
- Liang, C.; Lu, Z.-A.; Wu, J.; Chen, M.-X.; Zhang, Y.; Zhang, B.; Gao, G.-L.; Li, S.; Xu, P. Recent Advances in Plasmon-Promoted Organic Transformations Using Silver-Based Catalysts. ACS Appl. Mater. Interfaces 2020, 12, 54266–54284. [Google Scholar] [CrossRef] [PubMed]
- Xiao, L.; Zhang, Q.; Chen, P.; Chen, L.; Ding, F.; Tang, J.; Li, Y.-J.; Au, C.-T.; Yin, S.-F. Copper-Mediated Metal-Organic Framework as Efficient Photocatalyst for the Partial Oxidation of Aromatic Alcohols under Visible-Light Irradiation: Synergism of Plasmonic Effect and Schottky Junction. Appl. Catal. B Environ. 2019, 248, 380–387. [Google Scholar] [CrossRef]
- Xiong, S.; Yin, Z.; Zhou, Y.; Peng, X.; Yan, W.; Liu, Z.; Zhang, X. The Dual-Frequency (20/40 KHz) Ultrasound Assisted Photocatalysis with the Active Carbon Fiber-Loaded Fe3+-TiO2 as Photocatalyst for Degradation of Organic Dye. Bull. Korean Chem. Soc. 2013, 34, 3039–3045. [Google Scholar] [CrossRef][Green Version]
- Ma, Y.; Chen, Y.; Feng, Z.; Zeng, L.; Chen, Q.; Jin, R.; Lu, Y.; Huang, Y.; Wu, Y.; He, Y. Preparation, Characterization of Bi3O4Cl/g-C3N4 Composite and Its Photocatalytic Activity in Dye Degradation. J. Water Process. Eng. 2017, 18, 65–72. [Google Scholar] [CrossRef]
- Wang, H.; Xu, L.; Liu, C.; Jiang, Z.; Feng, Q.; Wu, T.; Wang, R. A Novel Magnetic Photocatalyst Bi3O4Cl/SrFe12O19: Fabrication, Characterization and Its Photocatalytic Activity. Ceram. Int. 2020, 46, 460–467. [Google Scholar] [CrossRef]
- Li, H.; Tu, W.; Zhou, Y.; Zou, Z. Z-Scheme Photocatalytic Systems for Promoting Photocatalytic Performance: Recent Progress and Future Challenges. Adv. Sci. 2016, 3, 1500389. [Google Scholar] [CrossRef]
- Gu, W.; Xu, J.; Teng, F.; Ul Abideen, Z. Investigation on the Different Photocatalytic Properties of Bismuths Oxychlorides: Bi12O15Cl6 versus Bi3O4Cl versus BiOCl. ChemistrySelect 2018, 3, 10721–10726. [Google Scholar] [CrossRef]
- Di, J.; Xia, J.; Li, H.; Guo, S.; Dai, S. Bismuth Oxyhalide Layered Materials for Energy and Environmental Applications. Nano Energy 2017, 41, 172–192. [Google Scholar] [CrossRef]
- Huang, H.; Xiao, K.; He, Y.; Zhang, T.; Dong, F.; Du, X.; Zhang, Y. In Situ Assembly of BiOI@Bi12O17Cl2 P-n Junction: Charge Induced Unique Front-Lateral Surfaces Coupling Heterostructure with High Exposure of BiOI {001} Active Facets for Robust and Nonselective Photocatalysis. Appl. Catal. B Environ. 2016, 199, 75–86. [Google Scholar] [CrossRef]
- Jin, X.; Ye, L.; Xie, H.; Chen, G. Bismuth-Rich Bismuth Oxyhalides for Environmental and Energy Photocatalysis. Coord. Chem. Rev. 2017, 349, 84–101. [Google Scholar] [CrossRef]
- Cheng, L.; Xiao, X.; Wang, Y.; Lu, M. Fabrication of Microsphere-like Bi3O4Cl/BiOI Z-Scheme Heterostructure Composites and Its Enhanced Photocatalytic Performance for Degradation of MO and RhB. Res. Chem. Intermed. 2020, 46, 4685–4704. [Google Scholar] [CrossRef]
- Yang, N.; Lv, X.; Zhong, S.; Qian, D.; Han, S.; Li, D.; Geng, X.; Fang, H.; Jiang, W. Preparation of Z-Scheme AgI/Bi5O7I Plate with High Visible Light Photocatalytic Performance by Phase Transition and Morphological Transformation of BiOI Microspheres at Room Temperature. Dalton Trans. 2018, 47, 11420–11428. [Google Scholar] [CrossRef]
- Zhao, X.; You, Y.; Huang, S.; Wu, Y.; Ma, Y.; Zhang, G.; Zhang, Z. Z-scheme Photocatalytic Production of Hydrogen Peroxide over Bi4O5Br2/g-C3N4 Heterostructure under Visible Light. Appl. Catal. B Environ. 2020, 278, 119251. [Google Scholar] [CrossRef]
- Jiang, E.; Song, N.; Zhang, X.; Yang, L.; Liu, C.; Dong, H. In-Situ Fabrication of Z-Scheme Bi3O4Cl/Bi12O17Cl2 Heterostructure by Facile PH Control Strategy to Boost Removal of Various Pollutants in Water. Chem. Eng. J. 2020, 388, 123483. [Google Scholar] [CrossRef]
- Che, H.; Che, G.; Dong, H.; Hu, W.; Hu, H.; Liu, C.; Li, C. Fabrication of Z-Scheme Bi3O4Cl/g-C3N4 2D/2D Heterojunctions with Enhanced Interfacial Charge Separation and Photocatalytic Degradation Various Organic Pollutants Activity. Appl. Surf. Sci. 2018, 455, 705–716. [Google Scholar] [CrossRef]
- Wang, W.; Yu, J.C.; Shen, Z.; Chan, D.K.L.; Gu, T. G-C3N4 Quantum Dots: Direct Synthesis, Upconversion Properties and Photocatalytic Application. Chem. Commun. 2014, 50, 10148–10150. [Google Scholar] [CrossRef]
- Ghoreishian, S.M.; Ranjith, K.S.; Lee, H.; Park, B.; Norouzi, M.; Nikoo, S.Z.; Kim, W.-S.; Han, Y.-K.; Huh, Y.S. Tuning the Phase Composition of 1D TiO2 by Fe/Sn Co-Doping Strategy for Enhanced Visible-Light-Driven Photocatalytic and Photoelectrochemical Performances. J. Alloy. Compd. 2021, 851, 156826. [Google Scholar] [CrossRef]
- Kumari, P.; Bahadur, N.; O’Dell, L.A.; Kong, L.; Sadek, A.; Merenda, A.; Dumée, L.F. Nanoscale 2D Semi-Conductors—Impact of Structural Properties on Light Propagation Depth and Photocatalytic Performance. Sep. Purif. Technol. 2021, 258, 118011. [Google Scholar] [CrossRef]
- Liu, X.; Yang, Z.; Zhang, L. In-Situ Fabrication of 3D Hierarchical Flower-like β-Bi2O3@CoO Z-Scheme Heterojunction for Visible-Driven Simultaneous Degradation of Multi-Pollutants. J. Hazard. Mater. 2021, 403, 123566. [Google Scholar] [CrossRef]
- Cheng, T.; Gao, H.; Liu, G.; Pu, Z.; Wang, S.; Yi, Z.; Wu, X.; Yang, H. Preparation of Core-Shell Heterojunction Photocatalysts by Coating CdS Nanoparticles onto Bi4Ti3O12 Hierarchical Microspheres and Their Photocatalytic Removal of Organic Pollutants and Cr(VI) Ions. Colloids Surf. A Physicochem. Eng. Asp. 2022, 633, 127918. [Google Scholar] [CrossRef]
- Lukic, S.; Menze, J.; Weide, P.; Busser, G.W.; Winterer, M.; Muhler, M. Decoupling the Effects of High Crystallinity and Surface Area on the Photocatalytic Overall Water Splitting over β-Ga2O3 Nanoparticles by Chemical Vapor Synthesis. ChemSusChem 2017, 10, 4190–4197. [Google Scholar] [CrossRef] [PubMed]
- Jiang, E.; Liu, X.; Che, H.; Liu, C.; Dong, H.; Che, G. Visible-Light-Driven Ag/Bi3O4Cl Nanocomposite Photocatalyst with Enhanced Photocatalytic Activity for Degradation of Tetracycline. RSC Adv. 2018, 8, 37200–37207. [Google Scholar] [CrossRef]
- Zhang, Y.; Zhu, G.; Gao, J.; Zhu, R.; Hojamberdiev, M.; Wei, X.; Liu, P. Synthesis of Plasmonic Enhance Sphere-like Ag/AgI/Bi5O7I Photocatalysts with Improved Visible-Light Responsive Activity under LED Light Irradiation. J. Mater. Sci. Mater. Electron. 2017, 28, 5460–5471. [Google Scholar] [CrossRef]
- Rameshbabu, R.; Sandhiya, M.; Sathish, M. Fe (III) Ions Grafted Bismuth Oxychloride Nanosheets for Enhanced Electrochemical Supercapacitor Application. J. Electroanal. Chem. 2020, 862, 113958. [Google Scholar] [CrossRef]
- Mihailova, B.; Gospodinov, M.; Konstantinov, L. Raman Spectroscopy Study of Sillenites. I. Comparison between Bi12(Si,Mn)O20 Single Crystals. J. Phys. Chem. Solids 1999, 60, 1821–1827. [Google Scholar] [CrossRef]
- Chen, R.; Chen, Z.; Ji, M.; Chen, H.; Liu, Y.; Xia, J.; Li, H. Enhanced Reactive Oxygen Species Activation for Building Carbon Quantum Dots Modified Bi5O7I Nanorod Composites and Optimized Visible-Light-Response Photocatalytic Performance. J. Colloid Interface Sci. 2018, 532, 727–737. [Google Scholar] [CrossRef] [PubMed]
- Chang, C.; Yang, H.; Mu, W.; Cai, Y.; Wang, L.; Yang, L.; Qin, H. In Situ Fabrication of Bismuth Oxyiodide (Bi7O9I3/Bi5O7I) n-n Heterojunction for Enhanced Degradation of Triclosan (TCS) under Simulated Solar Light Irradiation. Appl. Catal. B Environ. 2019, 254, 647–658. [Google Scholar] [CrossRef]
- Xiao, X.; Lin, Y.; Pan, B.; Fan, W.; Huang, Y. Photocatalytic Degradation of Methyl Orange by BiOI/Bi4O5I2 Microspheres under Visible Light Irradiation. Inorg. Chem. Commun. 2018, 93, 65–68. [Google Scholar] [CrossRef]
- Xu, B.; Gao, Y.; Li, Y.; Liu, S.; Lv, D.; Zhao, S.; Gao, H.; Yang, G.; Li, N.; Ge, L. Synthesis of Bi3O4Cl Nanosheets with Oxygen Vacancies: The Effect of Defect States on Photocatalytic Performance. Appl. Surf. Sci. 2020, 507, 144806. [Google Scholar] [CrossRef]
- Fujimoto, A.; Yamada, Y.; Koinuma, M.; Sato, S. Origins of sp3C Peaks in C1s X-Ray Photoelectron Spectra of Carbon Materials. Anal. Chem. 2016, 88, 6110–6114. [Google Scholar] [CrossRef] [PubMed]
- Ma, C.; Lee, J.; Kim, Y.; Cheol Seo, W.; Jung, H.; Yang, W. Rational Design of α-Fe2O3 Nanocubes Supported BiVO4 Z-Scheme Photocatalyst for Photocatalytic Degradation of Antibiotic under Visible Light. J. Colloid Interface Sci. 2021, 581, 514–522. [Google Scholar] [CrossRef] [PubMed]
- Dinh, C.-T.; Jain, A.; de Arquer, F.P.G.; De Luna, P.; Li, J.; Wang, N.; Zheng, X.; Cai, J.; Gregory, B.Z.; Voznyy, O.; et al. Multi-Site Electrocatalysts for Hydrogen Evolution in Neutral Media by Destabilization of Water Molecules. Nat. Energy 2019, 4, 107–114. [Google Scholar] [CrossRef]
- Zhu, G.; Hojamberdiev, M.; Zhang, S.; Din, S.T.U.; Yang, W. Enhancing Visible-Light-Induced Photocatalytic Activity of BiOI Microspheres for NO Removal by Synchronous Coupling with Bi Metal and Graphene. Appl. Surf. Sci. 2019, 467–468, 968–978. [Google Scholar] [CrossRef]
- Yao, C.; Wang, X.; Zhao, W.; Li, T.; He, Y.; Ran, X.; Guo, L. Probing the Facet-Dependent Intermediate in the Visible-Light Degradation of RhB by Carbon-Coated Anatase TiO2 Nanoparticles. J. Alloy. Compd. 2020, 846, 156335. [Google Scholar] [CrossRef]
- Zhu, G.; Hojamberdiev, M.; Zhang, W.; Taj Ud Din, S.; Joong Kim, Y.; Lee, J.; Yang, W. Enhanced Photocatalytic Activity of Fe-Doped Bi4O5Br2 Nanosheets Decorated with Au Nanoparticles for Pollutants Removal. Appl. Surf. Sci. 2020, 526, 146760. [Google Scholar] [CrossRef]
- Huang, J.; Dou, L.; Li, J.; Zhong, J.; Li, M.; Wang, T. Excellent Visible Light Responsive Photocatalytic Behavior of N-Doped TiO2 toward Decontamination of Organic Pollutants. J. Hazard. Mater. 2021, 403, 123857. [Google Scholar] [CrossRef]
- Xie, Y.; Li, P.; Zeng, Y.; Li, X.; Xiao, Y.; Wang, Y.; Zhang, Y. Thermally Treated Fungal Manganese Oxides for Bisphenol A Degradation Using Sulfate Radicals. Chem. Eng. J. 2018, 335, 728–736. [Google Scholar] [CrossRef]
- Ullah, R.; Zheng, Y. Raman Spectroscopy of ‘Bisphenol A’. J. Mol. Struct. 2016, 1108, 649–653. [Google Scholar] [CrossRef]
- Huang, S.; Wang, C.; Sun, H.; Wang, X.; Su, Y. Steering Charge Kinetics of Tin Niobate Photocatalysts: Key Roles of Phase Structure and Electronic Structure. Nanoscale Res. Lett. 2018, 13, 1–12. [Google Scholar] [CrossRef] [PubMed]
- Huang, L.; Yang, L.; Li, Y.; Wang, C.; Xu, Y.; Huang, L.; Song, Y. P-n BiOI/Bi3O4Cl Hybrid Junction with Enhanced Photocatalytic Performance in Removing Methyl Orange, Bisphenol A, Tetracycline and Escherichia Coli. Appl. Surf. Sci. 2020, 527, 146748. [Google Scholar] [CrossRef]
- Li, Z.; Dong, H.; Wu, Z.; Shen, J.; Xu, D.; He, R.; Wan, L.; Zhang, S. Novel P-n Type Porous Ag2O/Bi5O7I Heterojunction for Uv–Vis-NIR Activated High Efficient Photocatalytic Degradation of Bisphenol A: Photoelectric Properties and Degradation Mechanism. Appl. Surf. Sci. 2020, 529, 147162. [Google Scholar] [CrossRef]
- Liu, Q.; Lu, Y.; Lin, S.; Hu, Y.; Tian, N.; Huang, H. Room-Temperature Controllable Synthesis of Bi5O7I Nanostrips for Improved Photocatalytic Activity. Colloids Surf. A Physicochem. Eng. Asp. 2020, 594, 124642. [Google Scholar] [CrossRef]
- Hankin, A.; Alexander, J.C.; Kelsall, G.H. Constraints to the Flat Band Potential of Hematite Photo-Electrodes. Phys. Chem. Chem. Phys. 2014, 16, 16176–16186. [Google Scholar] [CrossRef] [PubMed]
- Huang, H.; Xiao, K.; Tian, N.; Dong, F.; Zhang, T.; Du, X.; Zhang, Y. Template-Free Precursor-Surface-Etching Route to Porous, Thin g-C3N4 Nanosheets for Enhancing Photocatalytic Reduction and Oxidation Activity. J. Mater. Chem. A 2017, 5, 17452–17463. [Google Scholar] [CrossRef]
- Mian, F.; Bottaro, G.; Rancan, M.; Pezzato, L.; Gombac, V.; Fornasiero, P.; Armelao, L. Bi12O17Cl2/(BiO)2CO3 Nanocomposite Materials for Pollutant Adsorption and Degradation: Modulation of the Functional Properties by Composition Tailoring. ACS Omega 2017, 2, 6298–6308. [Google Scholar] [CrossRef] [PubMed]
- Han, L.; Guo, Y.; Lin, Z.; Huang, H. 0D to 3D Controllable Nanostructures of BiOBr via a Facile and Fast Room-Temperature Strategy. Colloids Surf. A Physicochem. Eng. Asp. 2020, 603, 125233. [Google Scholar] [CrossRef]
- Cui, B.; Cui, H.; Li, Z.; Dong, H.; Li, X.; Zhao, L.; Wang, J. Novel Bi3O5I2 Hollow Microsphere and Its Enhanced Photocatalytic Activity. Catalysts 2019, 9, 709. [Google Scholar] [CrossRef]
- Yu, C.; Fan, C.; Yu, J.C.; Zhou, W.; Yang, K. Preparation of Bismuth Oxyiodides and Oxides and Their Photooxidation Characteristic under Visible/UV Light Irradiation. Mater. Res. Bull. 2011, 46, 140–146. [Google Scholar] [CrossRef]
- Liao, C.; Ma, Z.; Chen, X.; He, X.; Qiu, J. Controlled Synthesis of Bismuth Oxyiodide toward Optimization of Photocatalytic Performance. Appl. Surf. Sci. 2016, 387, 1247–1256. [Google Scholar] [CrossRef]
- Sun, X.; Wu, J.; Li, Q.; Liu, Q.; Qi, Y.; You, L.; Ji, Z.; He, P.; Sheng, P.; Ren, J.; et al. Fabrication of BiOIO3 with Induced Oxygen Vacancies for Efficient Separation of the Electron-Hole Pairs. Appl. Catal. B Environ. 2017, 218, 80–90. [Google Scholar] [CrossRef]
- Mera, A.C.; Rodríguez, C.A.; Meléndrez, M.F.; Valdés, H. Synthesis and Characterization of BiOI Microspheres under Standardized Conditions. J. Mater. Sci. 2017, 52, 944–954. [Google Scholar] [CrossRef]
- Long, M.; Hu, P.; Wu, H.; Chen, Y.; Tan, B.; Cai, W. Understanding the Composition and Electronic Structure Dependent Photocatalytic Performance of Bismuth Oxyiodides. J. Mater. Chem. A 2015, 3, 5592–5598. [Google Scholar] [CrossRef]
- Huang, Y.; He, Y.; Cui, M.; Nong, Q.; Yu, J.; Wu, F.; Meng, X. Synthesis of AgCl/Bi3O4Cl Composite and Its Photocatalytic Activity in RhB Degradation under Visible Light. Catal. Commun. 2016, 76, 19–22. [Google Scholar] [CrossRef]
- Cui, M.; Yu, J.; Lin, H.; Wu, Y.; Zhao, L.; He, Y. In-Situ Preparation of Z-Scheme AgI/Bi5O7I Hybrid and Its Excellent Photocatalytic Activity. Appl. Surf. Sci. 2016, 387, 912–920. [Google Scholar] [CrossRef]
- Geng, X.; Chen, S.; Lv, X.; Jiang, W.; Wang, T. Synthesis of G-C3N4/Bi5O7I Microspheres with Enhanced Photocatalytic Activity under Visible Light. Appl. Surf. Sci. 2018, 462, 18–28. [Google Scholar] [CrossRef]
- Liu, C.; Huang, H.; Du, X.; Zhang, T.; Tian, N.; Guo, Y.; Zhang, Y. In Situ Co-Crystallization for Fabrication of g-C3N4/Bi5O7I Heterojunction for Enhanced Visible-Light Photocatalysis. J. Phys. Chem. C 2015, 119, 17156–17165. [Google Scholar] [CrossRef]
- Luo, Y.; Zhang, M.; Yin, H.; Yao, J.; Chen, S.; Liu, X. One Pot Controllable Synthesis of Palygorskite/Bismuth Oxyiodide Hierarchical Microspheres for Improved Visible-Light Photocatalytic Performance. Colloids Surf. A Physicochem. Eng. Asp. 2019, 578, 123573. [Google Scholar] [CrossRef]
- Zhao, Z.; Wang, M.; Yang, T.; Fang, M.; Zhang, L.; Zhu, H.; Tang, C.; Huang, Z. In Situ Co-Precipitation for the Synthesis of an Ag/AgBr/Bi5O7I Heterojunction for Enhanced Visible-Light Photocatalysis. J. Mol. Catal. A Chem. 2016, 424, 8–16. [Google Scholar] [CrossRef]
- Bai, Y.; Shi, X.; Wang, P.; Wang, L.; Xie, H.; Li, Z.; Qu, L.; Ye, L. Synthesis of One-Dimensional Bi5O7Br0.5I0.5 Solid Solution for Effective Real Oilfield Wastewater Treatment via Exciton Photocatalytic Process. J. Taiwan Inst. Chem. Eng. 2018, 91, 358–368. [Google Scholar] [CrossRef]
- Feng, S.; Du, H.; Xie, T.; Xu, L.; Wang, Y. Preparation and Photocatalytic Activity of BiOI/MnxZn1-XFe2O4 Magnetic Photocatalyst. Ceram. Int. 2019, 45, 10468–10474. [Google Scholar] [CrossRef]
- Huang, H.; Xiao, K.; Zhang, T.; Dong, F.; Zhang, Y. Rational Design on 3D Hierarchical Bismuth Oxyiodides via in Situ Self-Template Phase Transformation and Phase-Junction Construction for Optimizing Photocatalysis against Diverse Contaminants. Appl. Catal. B Environ. 2017, 203, 879–888. [Google Scholar] [CrossRef]
- Chang, F.; Yan, W.; Wang, X.; Peng, S.; Li, S.; Hu, X. Strengthened Photocatalytic Removal of Bisphenol a by Robust 3D Hierarchical N-p Heterojunctions Bi4O5Br2-MnO2 via Boosting Oxidative Radicals Generation. Chem. Eng. J. 2022, 428, 131223. [Google Scholar] [CrossRef]
- Liu, Y.; Zhu, G.; Gao, J.; Zhu, R.; Hojamberdiev, M.; Wang, C.; Wei, X.; Liu, P. A Novel Synergy of Er3+/Fe3+ Co-Doped Porous Bi5O7I Microspheres with Enhanced Photocatalytic Activity under Visible-Light Irradiation. Appl. Catal. B Environ. 2017, 205, 421–432. [Google Scholar] [CrossRef]
- Cao, C.-S.; Wang, J.; Yu, X.; Zhang, Y.; Zhu, L. Photodegradation of Seven Bisphenol Analogues by Bi5O7I/UiO-67 Heterojunction: Relationship between the Chemical Structures and Removal Efficiency. Appl. Catal. B Environ. 2020, 277, 119222. [Google Scholar] [CrossRef]
- Guo, Y.; Nan, J.; Xu, Y.; Cui, F.; Shi, W.; Zhu, Y. Thermodynamic and Dynamic Dual Regulation Bi2O2CO3/Bi5O7I Enabling High-Flux Photogenerated Charge Migration for Enhanced Visible-Light-Driven Photocatalysis. J. Mater. Chem. A 2020, 8, 10252–10259. [Google Scholar] [CrossRef]
- Zhao, C.; Wang, J.; Chen, X.; Wang, Z.; Ji, H.; Chen, L.; Liu, W.; Wang, C.-C. Bifunctional Bi12O17Cl2/MIL-100(Fe) Composites toward Photocatalytic Cr(VI) Sequestration and Activation of Persulfate for Bisphenol A Degradation. Sci. Total Environ. 2021, 752, 141901. [Google Scholar] [CrossRef]
- Gu, J.; Yu, Y.; Chen, S.; Shi, W.; Wang, Y.; Liao, Y.; Chen, H.; Jiang, F. Heterojunction Photocatalyst of Cavity Shaped Bi2S3/g-C3N4 for Bisphenol a Degradation: Regulation of Internal Electric Field via Assistance of Interfacial Functional Groups. Chem. Eng. J. 2021, 424, 130539. [Google Scholar] [CrossRef]
- He, X.; Wu, M.; Ao, Z.; Lai, B.; Zhou, Y.; An, T.; Wang, S. Metal–Organic Frameworks Derived C/TiO2 for Visible Light Photocatalysis: Simple Synthesis and Contribution of Carbon Species. J. Hazard. Mater. 2021, 403, 124048. [Google Scholar] [CrossRef] [PubMed]
- Feng, H.; Liang, L.; Wu, W.; Huang, Z.; Liu, Y. Architecting Epitaxial-Lattice-Mismatch-Free (LMF) Zinc Oxide/Bismuth Oxyiodide Nano-Heterostructures for Efficient Photocatalysis. J. Mater. Chem. C 2020, 8, 11263–11273. [Google Scholar] [CrossRef]
- Zhao, K.; Zhang, Z.; Feng, Y.; Lin, S.; Li, H.; Gao, X. Surface Oxygen Vacancy Modified Bi2MoO6/MIL-88B(Fe) Heterostructure with Enhanced Spatial Charge Separation at the Bulk & Interface. Appl. Catal. B Environ. 2020, 268, 118740. [Google Scholar] [CrossRef]
- Fei, H.; Shao, J.; Li, H.; Li, N.; Chen, D.; Xu, Q.; He, J.; Lu, J. Construction of Ultra-Thin 2D CN-Br0.12/2%RhOx Photo-Catalyst with Rapid Electron and Hole Separation for Efficient Bisphenol A Degradation. Appl. Catal. B Environ. 2021, 299, 120623. [Google Scholar] [CrossRef]
- Kuila, A.; Saravanan, P.; Bahnemann, D.; Wang, C. Novel Ag Decorated, BiOCl Surface Doped AgVO3 Nanobelt Ternary Composite with Z-Scheme Homojunction-Heterojunction Interface for High Prolific Photo Switching, Quantum Efficiency and Hole Mediated Photocatalysis. Appl. Catal. B Environ. 2021, 293, 120224. [Google Scholar] [CrossRef]
- Yin, S.; Chen, R.; Ji, M.; Jiang, Q.; Li, K.; Chen, Z.; Xia, J.; Li, H. Construction of Ultrathin MoS2/Bi5O7I Composites: Effective Charge Separation and Increased Photocatalytic Activity. J. Colloid Interface Sci. 2020, 560, 475–484. [Google Scholar] [CrossRef] [PubMed]











Publisher’s Note: MDPI stays neutral with regard to jurisdictional claims in published maps and institutional affiliations. |
© 2022 by the authors. Licensee MDPI, Basel, Switzerland. This article is an open access article distributed under the terms and conditions of the Creative Commons Attribution (CC BY) license (https://creativecommons.org/licenses/by/4.0/).
Share and Cite
Din, S.T.U.; Lee, H.; Yang, W. Z-Scheme Heterojunction of 3-Dimensional Hierarchical Bi3O4Cl/Bi5O7I for a Significant Enhancement in the Photocatalytic Degradation of Organic Pollutants (RhB and BPA). Nanomaterials 2022, 12, 767. https://doi.org/10.3390/nano12050767
Din STU, Lee H, Yang W. Z-Scheme Heterojunction of 3-Dimensional Hierarchical Bi3O4Cl/Bi5O7I for a Significant Enhancement in the Photocatalytic Degradation of Organic Pollutants (RhB and BPA). Nanomaterials. 2022; 12(5):767. https://doi.org/10.3390/nano12050767
Chicago/Turabian StyleDin, Syed Taj Ud, Hankyu Lee, and Woochul Yang. 2022. "Z-Scheme Heterojunction of 3-Dimensional Hierarchical Bi3O4Cl/Bi5O7I for a Significant Enhancement in the Photocatalytic Degradation of Organic Pollutants (RhB and BPA)" Nanomaterials 12, no. 5: 767. https://doi.org/10.3390/nano12050767
APA StyleDin, S. T. U., Lee, H., & Yang, W. (2022). Z-Scheme Heterojunction of 3-Dimensional Hierarchical Bi3O4Cl/Bi5O7I for a Significant Enhancement in the Photocatalytic Degradation of Organic Pollutants (RhB and BPA). Nanomaterials, 12(5), 767. https://doi.org/10.3390/nano12050767

