Plasmon-Induced Transparency for Tunable Atom Trapping in a Chiral Metamaterial Structure
Abstract
:1. Introduction
2. Structures and Simulation Results
3. Optical Properties of the System with Different Parameters
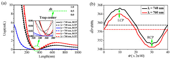
4. Trapping Characteristics
5. Conclusions
Author Contributions
Funding
Institutional Review Board Statement
Informed Consent Statement
Data Availability Statement
Acknowledgments
Conflicts of Interest
Appendix A. Comsol Multiphysics 5.2a Simulation Setting
Appendix B. Transmission and Reflection Spectra at Different Polarizations

Appendix C. Trapping Potential Distributions of Uopt at z = ds-plane

References
- Boller, K.J.; Imamoglu, A.; Harris, S.E. Observation of electromagnetically induced transparency. Phys. Rev. Lett. 1991, 66, 2593–2596. [Google Scholar] [CrossRef] [PubMed] [Green Version]
- Fleischhauer, M.; Imamoglu, A.; Marangos, J.P. Electromagnetically induced transparency: Optics in coherent media. Rev. Mod. Phys. 2005, 77, 633–673. [Google Scholar] [CrossRef] [Green Version]
- Harris, S.E.; Field, J.E.; Imamoglu, A. Nonlinear optical processes using electromagnetically induced transparency. Phys. Rev. Lett. 1990, 64, 1107–1110. [Google Scholar] [CrossRef] [PubMed]
- Liu, N.; Weiss, T.; Mesch, M.; Langguth, L.; Eigenthaler, U.; Hirscher, M.; Sonnichsen, C.; Giessen, H. Planar metamaterial analogue of electromagnetically induced transparency for plasmonic sensing. Nano Lett. 2010, 10, 1103–1107. [Google Scholar] [CrossRef]
- Wang, J.; Yuan, B.; Fan, C.; He, J.; Ding, P.; Xue, Q.; Liang, E. A novel planar metamaterial design for electromagnetically induced transparency and slow light. Opt. Express 2013, 21, 25159–25166. [Google Scholar] [CrossRef]
- Zhang, S.; Genov, D.A.; Wang, Y.; Liu, M.; Zhang, X. Plasmon-induced transparency in metamaterials. Phys. Rev. Lett. 2008, 101, 047401. [Google Scholar] [CrossRef] [Green Version]
- Jung, H.; Jo, H.; Lee, W.; Kim, B.; Choi, H.; Kang, M.S.; Lee, H. Electrical control of electromagnetically induced transparency by terahertz metamaterial funneling. Adv. Opt. Mater. 2018, 7, 1801205. [Google Scholar] [CrossRef]
- Litt, D.; Jones, M.; Hentschel, M.; Wang, Y.; Yang, S.; Ha, H.; Zhang, X.; Alivisatos, A. Hybrid lithographic and DNA-directed assembly of a configurable plasmonic metamaterial that exhibits electromagnetically induced transparency. Nano Lett. 2018, 18, 859–864. [Google Scholar] [CrossRef] [Green Version]
- Yang, X.; Yu, M.; Kwong, D.; Wong, C. All-optical analog to electromagnetically induced transparency in multiple coupled photonic crystal cavities. Phys. Rev. Lett. 2009, 102, 173902. [Google Scholar] [CrossRef] [Green Version]
- Zhou, J.; Mu, D.; Yang, J.; Han, W.; Di, X. Coupled-resonator-induced transparency in photonic crystal waveguide resonator systems. Opt. Express 2011, 19, 4856–4861. [Google Scholar] [CrossRef]
- Wang, B.; Wang, T.; Tang, J.; Li, X.; Dong, C. Phase shift multiplication effect of all-optical analog to electromagnetically induced transparency in two micro-cavities side coupled to a waveguide system. J. Appl. Phys. 2014, 115, 023101. [Google Scholar] [CrossRef]
- Chen, Z.; Song, X.; Jiao, R.; Duan, G.; Wang, L.; Yu, L. Tunable electromagnetically induced transparency in plasmonic system and its application in nanosensor and spectral splitting. IEEE Photonics J. 2015, 7, 4801408. [Google Scholar]
- Chen, Z.; Wang, W.; Cui, L.; Yu, L.; Duan, G.; Zhao, Y.; Xiao, J. Spectral splitting Based on electromagnetically induced transparency in plasmonic waveguide resonator system. Plasmonics 2015, 10, 721–727. [Google Scholar] [CrossRef]
- Chen, J.; Wang, C.; Zhang, R.; Xiao, J. Multiple plasmon-induced transparencies in coupled-resonator systems. Opt. Lett. 2012, 37, 5133–5135. [Google Scholar] [CrossRef]
- Ebbesen, T.W.; Lezec, H.J.; Ghaemi, H.F.; Thio, T.; Wolff, P.A. Extraordinary optical transmission through sub-wavelength hole arrays. Nature 1998, 391, 667–669. [Google Scholar] [CrossRef]
- García-Vidal, F.J.; Moreno, E.; Porto, J.A.; Martín-Moreno, L. Transmission of light through a single rectangular hole. Phys. Rev. Lett. 2005, 95, 103901. [Google Scholar] [CrossRef] [Green Version]
- Landy, N.I.; Sajuyigbe, S.; Mock, J.J.; Smith, D.R.; Padilla, W.J. Perfect metamaterial absorber. Phys. Rev. Lett. 2008, 100, 207402. [Google Scholar] [CrossRef]
- Henzie, J.; Lee, M.; Odom, T. Multiscale patterning of plasmonic metamaterials. Nat. Nanotechnol. 2007, 2, 549–554. [Google Scholar] [CrossRef]
- Jahani, S.; Jacob, Z. All-dielectric metamaterials. Nat. Nanotechnol. 2016, 11, 23–26. [Google Scholar] [CrossRef] [PubMed]
- Yang, Y.; Kravchenko, I.; Briggs, D.; Valentine, J. All-dielectric metasurface analogue of electromagnetically induced transparency. Nat. Commun. 2014, 5, 5753–5759. [Google Scholar] [CrossRef] [PubMed] [Green Version]
- Petronijevic, E.; Sibilia, C. All-optical tuning of EIT-like dielectric metasurfaces by means of chalcogenide phase change materials. Opt. Express 2014, 24, 30411–30420. [Google Scholar] [CrossRef] [PubMed] [Green Version]
- Wang, L.; Gao, Z.; Hou, Z.; Song, J.; Liu, X.; Zhang, Y.; Wang, X.; Yang, F.; Shi, Y. Active Modulation of an All-dielectric metasurface analogue of electromagnetically induced transparency in terahertz. ACS Omega 2012, 6, 4480–4484. [Google Scholar] [CrossRef] [PubMed]
- Michaeli, L.; Suchowski, H.; Ellenbogen, T. Near-infrared tunable surface lattice induced transparency in a plasmonic metasurface. Laser Photonics Rev. 2020, 14, 1900204. [Google Scholar] [CrossRef]
- Johnson, P.B.; Christy, R.W. Optical constants of the noble metals. Phys. Rev. B 1972, 6, 4370–4381. [Google Scholar] [CrossRef]
- Palik, E.D. Handbook of Optical Constants of Solids; Academic: Cambridge, MA, USA, 1985. [Google Scholar]
- Haus, H.A. Waves and Fields in Optoelectronics; Prentice-Hall: New York, NY, USA, 1984. [Google Scholar]
- Li, Q.; Wang, T.; Su, Y.; Yan, M.; Qiu, M. Coupled mode theory analysis of mode-splitting in coupled cavity system. Opt. Express 2010, 18, 8367–8382. [Google Scholar] [CrossRef]
- Wang, W.S.Z.; Fan, S.H. Temporal coupled-mode theory and the presence of non-orthogonal modes in lossless multimode cavities. IEEE J. Quantum Electron. 2004, 40, 1511–1518. [Google Scholar]
- Liu, N.; Mesch, M.; Weiss, T.; Hentschel, M.; Giessen, H. Infrared perfect absorber and its application as plasmonic sensor. Nano Lett. 2010, 10, 2342–2348. [Google Scholar] [CrossRef]
- Yang, X.; Hu, X.; Chai, Z.; Lu, C.; Yang, H.; Gong, Q. Tunable ultracompact chip-integrated multichannel filter based on plasmon-induced transparencies. Appl. Phys. Lett. 2014, 104, 221114. [Google Scholar] [CrossRef]
- Chai, Z.; Hu, X.; Wang, F.; Niu, X.; Xie, J.; Gong, Q. Ultrafast all-optial switching. Adv. Opt. Mater. 2017, 5, 1600665. [Google Scholar] [CrossRef]
- Altug, H.; Oh, S.; Maier, S.A.; Homola, J. Advances and applications of nanophotonic biosensors. Nat. Nanotechnol. 2022, 17, 5–16. [Google Scholar] [CrossRef]
- Chen, Z.; Zhang, F.; Zhang, Q.; Ren, J.J.; Hao, H.; Duan, X.K.; Zhang, P.F.; Gu, T.C.Z.Y.; Gong, Q.H. Blue-detuned optical atom trapping in a compact plasmonic structure. Photonics Res. 2017, 5, 436–440. [Google Scholar] [CrossRef]
- Chen, Z.; Zhang, F.; Duan, X.K.; Zhang, T.C.; Gong, Q.H.; Gu, Y. Chiral-plasmon-tuned potentials for atom trapping at the nanoscale. Adv. Opt. Mater. 2018, 6, 1800261. [Google Scholar] [CrossRef]
- Chen, Z.; Chen, S.; Wang, Y.; Xiao, L. Tunable atom-trapping based on a plasmonic chiral metamaterial. Nanophotonics 2019, 8, 1739–1745. [Google Scholar] [CrossRef]
- Grimm, R.; Weidemuller, M.; Ovchinnikov, Y.B. Optical dipole traps for neutral atoms. Adv. At. Mol. Opt. Phys. 2000, 42, 1–39. [Google Scholar]
- Zhang, P.F.; Li, G.; Zhang, T.C. Subwavelength optical dipole trap for neutral atoms using a microcapillary tube tip. J. Phys. B 2017, 50, 045005. [Google Scholar] [CrossRef]
- Chang, D.E.; Sinha, K.; Taylor, J.M.; Kimble, H.J. Trapping atoms using nanoscale quantum vacuum forces. Nat. Commun. 2014, 5, 4343. [Google Scholar] [CrossRef] [Green Version]
- Stehle, C.; Bender, H.; Zimmermann, C.; Kern, D.; Fleischer, M.; Slama, S. Plasmonically tailored micropotentials for ultracold atoms. Nat. Photonics 2011, 5, 494–498. [Google Scholar] [CrossRef]
- Tudela, A.G.; Hung, C.L.; Chang, D.E.; Cirac, J.I.; Kimble, H.J. Subwavelength vacuum lattices and atom-atom interactions in two-dimensional photonic crystals. Nat. Photonics 2015, 9, 320–325. [Google Scholar] [CrossRef] [Green Version]
- Barredo, D.; Leselene, S.; Lienhard, V.; Lahaye, T.; Browaeys, A. An atom-by-atom assembler of defect-free arbitrary two-dimensional atomic arrays. Science 2016, 354, 1021–1024. [Google Scholar] [CrossRef] [PubMed] [Green Version]
- Kelly, C.; Khorashad, L.K.; Gadegaard, N.; Barron, L.D.; Govorov, A.O.; Karimullah, A.S.; Kadodeala, M. Controlling metamateial transparency with superchiral fields. ACS Photonics 2018, 5, 535–543. [Google Scholar] [CrossRef] [Green Version]
- Cui, Y.; Kang, L.; Lan, S.; Rodrigues, S.; Cai, W. Giant chiral optical response from a twisted-arc metamaterial. Nano Lett. 2014, 14, 1021–1025. [Google Scholar] [CrossRef] [PubMed]




Publisher’s Note: MDPI stays neutral with regard to jurisdictional claims in published maps and institutional affiliations. |
© 2022 by the authors. Licensee MDPI, Basel, Switzerland. This article is an open access article distributed under the terms and conditions of the Creative Commons Attribution (CC BY) license (https://creativecommons.org/licenses/by/4.0/).
Share and Cite
Chen, Z.; Yu, Y.; Wang, Y.; Hou, Z.; Yu, L. Plasmon-Induced Transparency for Tunable Atom Trapping in a Chiral Metamaterial Structure. Nanomaterials 2022, 12, 516. https://doi.org/10.3390/nano12030516
Chen Z, Yu Y, Wang Y, Hou Z, Yu L. Plasmon-Induced Transparency for Tunable Atom Trapping in a Chiral Metamaterial Structure. Nanomaterials. 2022; 12(3):516. https://doi.org/10.3390/nano12030516
Chicago/Turabian StyleChen, Zhao, Yaolun Yu, Yilin Wang, Zhiling Hou, and Li Yu. 2022. "Plasmon-Induced Transparency for Tunable Atom Trapping in a Chiral Metamaterial Structure" Nanomaterials 12, no. 3: 516. https://doi.org/10.3390/nano12030516
APA StyleChen, Z., Yu, Y., Wang, Y., Hou, Z., & Yu, L. (2022). Plasmon-Induced Transparency for Tunable Atom Trapping in a Chiral Metamaterial Structure. Nanomaterials, 12(3), 516. https://doi.org/10.3390/nano12030516

