Sublayer-Enhanced Growth of Highly Ordered Mn5Ge3 Thin Film on Si(111)
Abstract
1. Introduction
2. Experimental Details
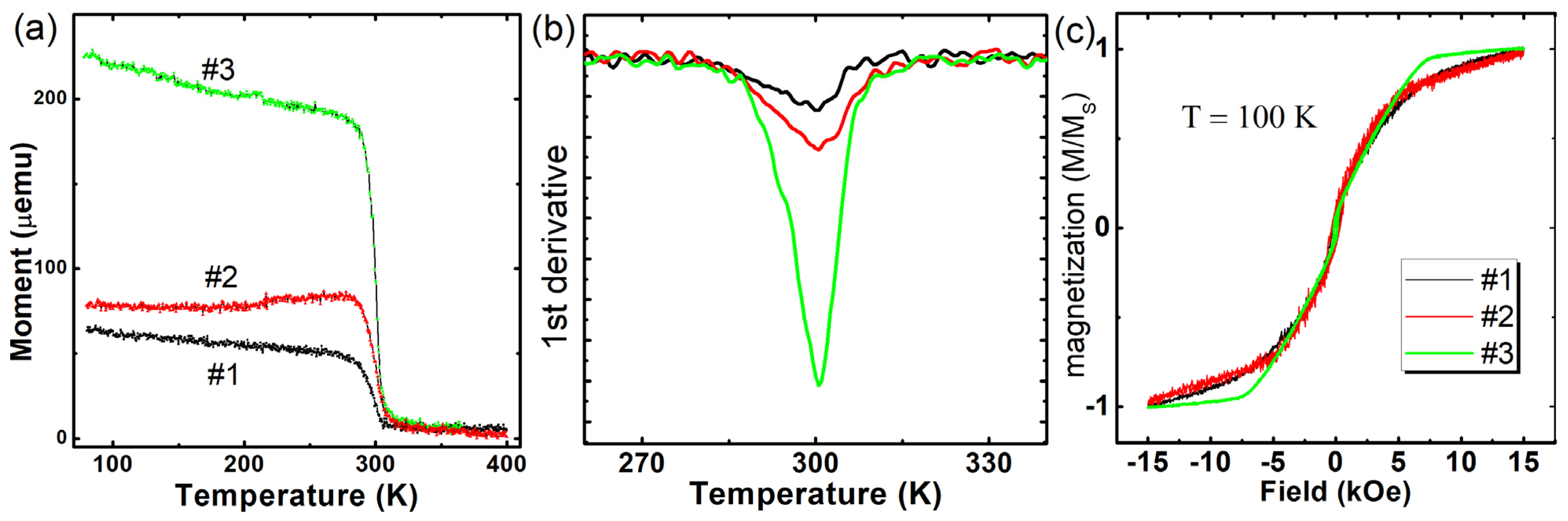
3. Results and Discussion
4. Conclusions
Author Contributions
Funding
Institutional Review Board Statement
Informed Consent Statement
Data Availability Statement
Acknowledgments
Conflicts of Interest
References
- Zeng, C.; Erwin, S.C.; Feldman, L.C.; Li, A.P.; Jin, R.; Song, Y.; Thompson, J.R.; Weitering, H.H. Epitaxial ferromagnetic Mn5Ge3 on Ge(111). Appl. Phys. Lett. 2003, 83, 5002–5004. [Google Scholar] [CrossRef]
- Panguluri, R.P.; Zeng, C.; Weitering, H.H.; Sullivan, J.M.; Erwin, S.C.; Nadgorny, B. Spin polarization and electronic structure of ferromagnetic Mn5Ge3 epilayers. Phys. Stat. Sol. (B) 2005, 242, R67–R69. [Google Scholar] [CrossRef]
- Spiesser, A.; Saito, H.; Jansen, R.; Yuasa, S.; Ando, K. Large spin accumulation voltages in epitaxial Mn5Ge3 contacts on Ge without an oxide tunnel barrier. Phys. Rev. B. 2014, 90, 205213. [Google Scholar] [CrossRef]
- Fischer, I.A.; Chang, L.T.; Sürgers, C.; Rolseth, E.; Reiter, S.; Stefanov, S.; Chiussi, S.; Tang, J.; Wang, K.L.; Schulze, J. Hanle-effect measurements of spin injection from Mn5Ge3C0.8/Al2O3-contacts into degenerately doped Ge channels on Si. Appl. Phys. Lett. 2014, 105, 222408. [Google Scholar] [CrossRef]
- Bechler, S.; Kern, M.; Funk, H.S.; Colston, G.; Fischer, I.A.; Weißhaupt, D.; Myronov, M.; van Slageren, J.; Schulze, J. Formation of Mn5Ge3 by thermal annealing of evaporated Mn on doped Ge on Si (111). Semicond. Sci. Technol. 2018, 33, 095008. [Google Scholar] [CrossRef]
- Maraytta, N.; Voigt, J.; Salazar Mejía, C.; Friese, K.; Skourski, Y.; Perßon, J.; Salman, S.M. and Brückel, Anisotropy of the magnetocaloric effect: Example of Mn5Ge3. J. Appl. Phys. 2020, 242, 103903. [Google Scholar] [CrossRef]
- Austin, A.E. Magnetic Properties of Fe5Ge3–Mn5Ge3 Solid Solutions. J. Appl. Phys. 1969, 40, 1381–1382. [Google Scholar] [CrossRef]
- Le Thanh, V.; Spiesser, A.; Dau, M.T.; Olive-Mendez, S.F.; Michez, L.A.; Petit, M. Epitaxial growth and magnetic properties of Mn5Ge3/Ge and Mn5Ge3Cx/Ge heterostructures for spintronic applications. Adv. Nat. Sci. Nanosci. Nanotechnol. 2013, 4, 043002. [Google Scholar] [CrossRef]
- Myagkov, V.; Matsynin, A.; Bykova, L.; Zhigalov, V.; Mikhlin, Y.; Volochayev, M.; Velikanov, D.; Aleksandrovsky, A.; Bondarenko, G. Solid-state synthesis and characterization of ferromagnetic Mn5Ge3 nanoclusters in GeO/Mn thin films. J. Alloys Compd. 2019, 782, 632–640. [Google Scholar] [CrossRef]
- Xie, Y.; Yuan, Y.; Birowska, M.; Zhang, C.; Cao, L.; Wang, M.; Grenzer, J.; Kriegner, D.; Doležal, P.; Zeng, Y.J.; et al. Strain-induced switching between noncollinear and collinear spin configuration in magnetic Mn5Ge3 films. Phys. Rev. B. 2021, 104, 064416. [Google Scholar] [CrossRef]
- Yasasun, B.T.; Önel, A.C.; Aykac, I.G.; Gulgun, M.A.; Arslan, L.C. Effect of Ge layer thickness on the formation of Mn5Ge3 thin film on Ge/Si (1 1 1). J. Magn. Magn. Mater. 2018, 473, 348–354. [Google Scholar] [CrossRef]
- Alvídrez-Lechuga, A.; Antón, R.L.; Gutiérrez-Pérez, R.M.; Fuentes-Montero, M.E.; Espinosa-Magaña, F.; Holguín-Momaca, J.T.; Andrés, J.P.; Olive-Méndez, S.F. Strong magnetization and anisotropy of Mn5Ge3 thin films on Ge (001). J. Phys. Condens. Matter 2021, 33, 225802. [Google Scholar] [CrossRef]
- Olive-Mendez, S.; Spiesser, A.; Michez, L.A.; Le Thanh, V.; Glachant, A.; Derrien, J.; Devillers, T.; Barski, A.; Jamet, M. Epitaxial growth of Mn5Ge3/Ge (111) heterostructures for spin injection. Thin Solid Film. 2008, 517, 191–196. [Google Scholar] [CrossRef]
- Spiesser, A.; Slipukhina, I.; Dau, M.T.; Arras, E.; Le Thanh, V.; Michez, L.; Pochet, P.; Saito, H.; Yuasa, S.; Jamet, M.; et al. Control of magnetic properties of epitaxial Mn5Ge3Cx films induced by carbon doping. Phys. Rev. B. 2011, 84, 165203. [Google Scholar] [CrossRef]
- Spiesser, A.; Virot, F.; Michez, L.A.; Hayn, R.; Bertaina, S.; Favre, L.; Petit, M.; Le Thanh, V. Magnetic anisotropy in epitaxial Mn5Ge3 films. Phys. Rev. B. 2012, 86, 035211. [Google Scholar] [CrossRef]
- Petit, M.; Boussadi, A.; Heresanu, V.; Ranguis, A.; Michez, L. Step flow growth of Mn5Ge3 films on Ge (111) at room temperature. Appl. Surf. Sci. 2019, 480, 529–536. [Google Scholar] [CrossRef]
- Dung, D.D.; Odkhuu, D.; Thanh Vinh, L.; Cheol Hong, S.; Cho, S. Strain-induced modification in the magnetic properties of Mn5Ge3 thin films. J. Appl. Phys. 2013, 114, 073906. [Google Scholar] [CrossRef]
- de Oliveira, R.C.; Demaille, D.; Casaretto, N.; Zheng, Y.; Marangolo, M.; Mosca, D.; Varalda, J. Magnetic and structural properties of Mn5+xGe3+y thin films as a function of substrate orientation. J. Magn. Magn. Mater. 2021, 539, 168325. [Google Scholar] [CrossRef]
- Toby, B.H.; Von Dreele, R.B. GSAS-II: The genesis of a modern open-source all purpose crystallography software package. J. Appl. Crystallogr. 2013, 46, 544–549. [Google Scholar] [CrossRef]
- Alvídrez-Lechuga, A.; Antón, R.L.; Fuentes-Cobas, L.E.; Holguín-Momaca, J.T.; Solís-Canto, O.; Espinosa-Magaña, F.; Olive-Méndez, S.F. Epitaxial mosaic-like Mn5Ge3 thin films on Ge(001) substrates. J. Alloy. Compd. 2018, 762, 363–369. [Google Scholar] [CrossRef]
- Kim, Y.; Kim, E.J.; Choi, K.; Han, W.B.; Kim, H.S.; Yoon, C.S. Magnetocaloric effect of Mn5+xGe3−x alloys. J. Alloy. Compd. 2015, 620, 164–167. [Google Scholar] [CrossRef]
- Liu, X.B.; Altounian, Z. Magnetocaloric effect in Mn5Ge3−xSix pseudobinary compounds. J. Appl. Phys. 2006, 99, 08Q101. [Google Scholar] [CrossRef]
- Kappel, G.; Fischer, G.; Jaegle, A. On the saturation magnetization of Mn5 Ge3. Phys. Lett. A 1973, 45, 267–268. [Google Scholar] [CrossRef]






| Sample | Lattice Parameters | Rwp, % | Rp, % | |
|---|---|---|---|---|
| a, Å | c, Å | |||
| #1 | 7.213(1) | 5.023(1) | 13.10 | 9.14 |
| #2 | 7.178(1) | 5.020(1) | 13.84 | 8.40 |
| #3 | 7.112(1) | 5.027(1) | 12.97 | 6.15 |
Publisher’s Note: MDPI stays neutral with regard to jurisdictional claims in published maps and institutional affiliations. |
© 2022 by the authors. Licensee MDPI, Basel, Switzerland. This article is an open access article distributed under the terms and conditions of the Creative Commons Attribution (CC BY) license (https://creativecommons.org/licenses/by/4.0/).
Share and Cite
Yakovlev, I.; Tarasov, I.; Lukyanenko, A.; Rautskii, M.; Solovyov, L.; Sukhachev, A.; Volochaev, M.; Efimov, D.; Goikhman, A.; Bondarev, I.; et al. Sublayer-Enhanced Growth of Highly Ordered Mn5Ge3 Thin Film on Si(111). Nanomaterials 2022, 12, 4365. https://doi.org/10.3390/nano12244365
Yakovlev I, Tarasov I, Lukyanenko A, Rautskii M, Solovyov L, Sukhachev A, Volochaev M, Efimov D, Goikhman A, Bondarev I, et al. Sublayer-Enhanced Growth of Highly Ordered Mn5Ge3 Thin Film on Si(111). Nanomaterials. 2022; 12(24):4365. https://doi.org/10.3390/nano12244365
Chicago/Turabian StyleYakovlev, Ivan, Ivan Tarasov, Anna Lukyanenko, Mikhail Rautskii, Leonid Solovyov, Alexander Sukhachev, Mikhail Volochaev, Dmitriy Efimov, Aleksandr Goikhman, Ilya Bondarev, and et al. 2022. "Sublayer-Enhanced Growth of Highly Ordered Mn5Ge3 Thin Film on Si(111)" Nanomaterials 12, no. 24: 4365. https://doi.org/10.3390/nano12244365
APA StyleYakovlev, I., Tarasov, I., Lukyanenko, A., Rautskii, M., Solovyov, L., Sukhachev, A., Volochaev, M., Efimov, D., Goikhman, A., Bondarev, I., Varnakov, S., Ovchinnikov, S., Volkov, N., & Tarasov, A. (2022). Sublayer-Enhanced Growth of Highly Ordered Mn5Ge3 Thin Film on Si(111). Nanomaterials, 12(24), 4365. https://doi.org/10.3390/nano12244365

