Non-Newtonian Nano-Fluids in Blasius and Sakiadis Flows Influenced by Magnetic Field
Abstract
1. Introduction
1.1. Rheological and Thermal Characteristics of Nano-Fluids
Effectiveness of Heat Transfer in Nano-Fluids
2. Mathematical Formulation
Governing Blasius flow:
Boundary conditions for Blasius flow:
Boundary conditions for Sakiadis flow:
3. Solution Methodology
Governing Blasius flow:
Boundary conditions:
Governing Sakiadis flow:
Boundary conditions:
4. Important Engineering Parameters
5. Discussion
5.1. Verification
5.2. The Impact of Investigated Factors on the Flow Velocity Profile
5.3. The Impact of Investigated Factors on the Temperature Profile
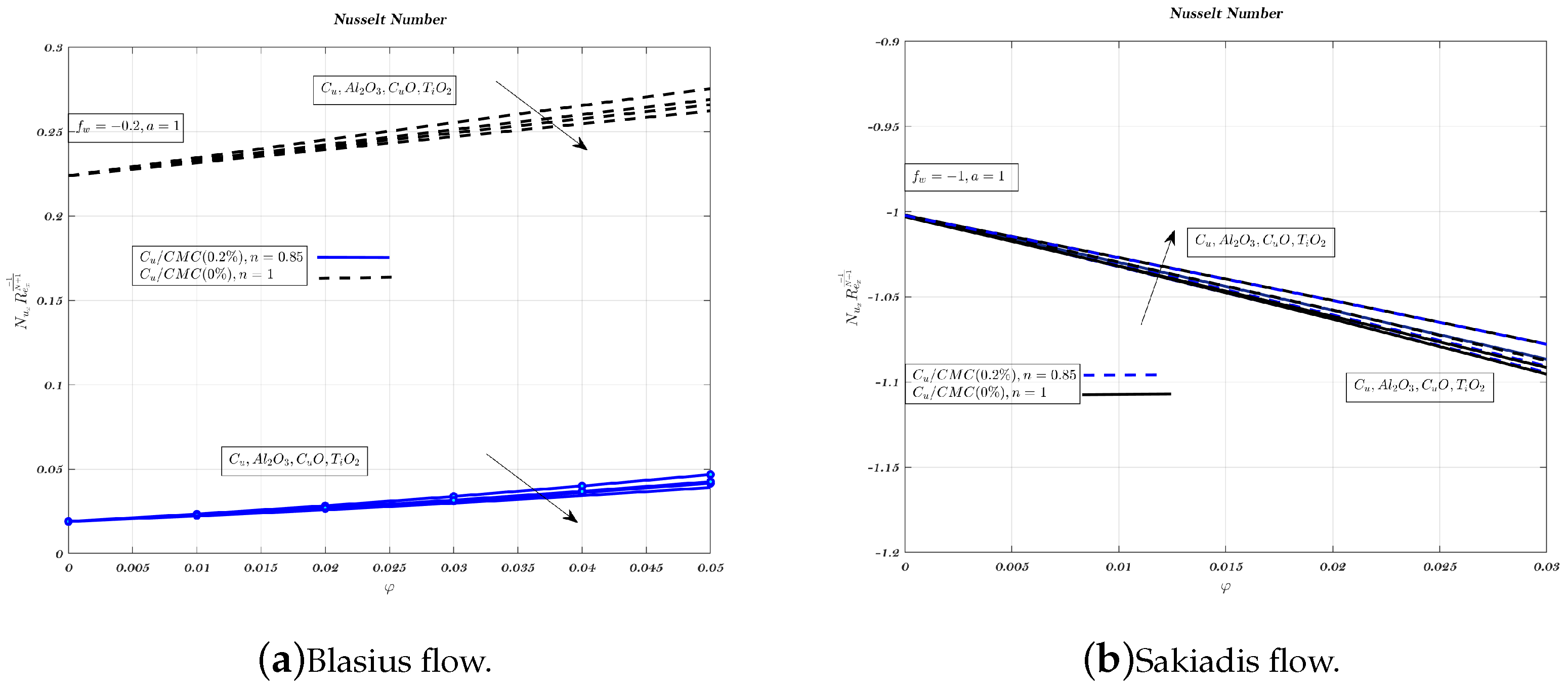
5.4. Variables Affecting Local Nusselt Number and Skin-Friction Coefficient
6. Conclusions
- For suction and impermeable surfaces, nano-particles increase fluid velocity in case of Blasius flow, whereas for injection the tendency is reversed for Sakiadis flow. Also, increasing suction reduced boundary layer thickness.
- Large nano-particle VF reduced plate surface temperature for impermeable surfaces by using fluid which is related to non-Newtonian. For suction, nano-particle volume fraction does not affect the temperature which is on the surface in case of low value of n while it rise up due to parameter related to suction which affects the surface temperature and thermal boundary layer thickness.
- has lower heat transfer than despite better heat conduction.
- Nano-particle volume fraction does not always boost heat transfer. In suction, increasing and nano-particles reduced heat transfer.
- Non-Newtonian fluid injection reduces heat transfer and increases friction.
- In circumstances that are otherwise identical, the value of the local friction factor is found to be greater for non-Newtonian nano-fluids than it is for Newtonian fluids.
- When compared to other nano-particles, the copper nano-particle has a local friction factor that is much greater but in case of alumina nano-particles, it is much lower.
- The impact of the magnetic field in the Blasius flow is to decrease the temperature while increasing the skin friction coefficient, velocity and reduced Nusselt number for both non-Newtonian & Newtonian nano-fluids. On the other hand, this pattern runs in the opposite direction when Sakiadis flow is considered for either the non-Newtonian & Newtonian nano-fluids.
- In Blasius flow, copper nano-particles enhance nano-fluid velocity, whereas alumina nano-particles have the opposite effect. Sakiadis flow over velocity has the opposite effect. In Blasius flow, increasing increases the skin friction coefficient, whereas in Sakiadis flow, both non-Newtonian and Newtonian nano-fluids reverse this tendency.
- Non-Newtonian & Newtonian nano-fluids have greater values for both the skin friction coefficient and the reduced Nusselt number in Blasius flow but for Sakiadis flow, such tendency is inverted.
Author Contributions
Funding
Institutional Review Board Statement
Informed Consent Statement
Data Availability Statement
Conflicts of Interest
References
- Zainali, A.; Tofighi, N.; Shadloo, M.S.; Yildiz, M. Numerical investigation of Newtonian and non-Newtonian multiphase flows using ISPH method. Comput. Methods Appl. Mech. Eng. 2013, 254, 99–113. [Google Scholar] [CrossRef]
- Soltanipour, H.; Choupani, P.; Mirzaee, I. Numerical analysis of heat transfer enhancement with the use of γ-Al2O3/water nanofluid and longitudinal ribs in a curved duct. Therm. Sci. 2012, 16, 469–480. [Google Scholar] [CrossRef]
- Eastman, J.A.; Choi, S.; Li, S.; Yu, W.; Thompson, L. Anomalously increased effective thermal conductivities of ethylene glycol-based nanofluids containing copper nanoparticles. Appl. Phys. Lett. 2001, 78, 718–720. [Google Scholar] [CrossRef]
- Dogonchi, A.; Alizadeh, M.; Ganji, D. Investigation of MHD Go-water nanofluid flow and heat transfer in a porous channel in the presence of thermal radiation effect. Adv. Powder Technol. 2017, 28, 1815–1825. [Google Scholar] [CrossRef]
- Devi, S.; Kandasamy, R. Analysis of nonlinear two dimensional laminar natural flow and mixed convection over variable surface with free stream conditions. J. Comput. Appl. Math. 2002, 3, 107–116. [Google Scholar]
- Ganesh, N.V.; Hakeem, A.A.; Ganga, B. A comparative theoretical study on Al2O3 and γ-Al2O3 nanoparticles with different base fluids over a stretching sheet. Adv. Powder Technol. 2016, 27, 436–441. [Google Scholar] [CrossRef]
- Sui, J.; Zheng, L.; Zhang, X.; Chen, G. Mixed convection heat transfer in power law fluids over a moving conveyor along an inclined plate. Int. J. Heat Mass Transf. 2015, 85, 1023–1033. [Google Scholar] [CrossRef]
- Jalil, M.; Asghar, S. Flow of power-law fluid over a stretching surface: A Lie group analysis. Int. J. -Non-Linear Mech. 2013, 48, 65–71. [Google Scholar] [CrossRef]
- Ahmed, J.; Mahmood, T.; Iqbal, Z.; Shahzad, A.; Ali, R. Axisymmetric flow and heat transfer over an unsteady stretching sheet in power law fluid. J. Mol. Liq. 2016, 221, 386–393. [Google Scholar] [CrossRef]
- Guha, A.; Pradhan, K. Natural convection of non-Newtonian power-law fluids on a horizontal plate. Int. J. Heat Mass Transf. 2014, 70, 930–938. [Google Scholar] [CrossRef]
- Megahed, A.M. Flow and heat transfer of a non-Newtonian power-law fluid over a non-linearly stretching vertical surface with heat flux and thermal radiation. Meccanica 2015, 50, 1693–1700. [Google Scholar] [CrossRef]
- Saritha, K.; Rajasekhar, M.; Reddy, B.S. Heat and mass transfer of laminar boundary layer flow of non-Newtonian power law fluid past a porous flat plate with Soret and Dufour effects. Phys. Sci. Int. J. 2016, 11, 1–13. [Google Scholar] [CrossRef]
- Rajput, G.R.; Prasad, J.K.; Timol, M. Similarity flow solution of MHD boundary layer model for non-Newtonian power-law fluids over a continuous moving surface. Gen 2014, 24, 97–102. [Google Scholar]
- Naikoti, K.; Borra, S.R. Quasi-linearization approach to MHD effects on boundary layer flow of power-law fluids past a semi infinite flat plate with thermal dispersion. Int. J. Non-Linear Sci. 2011, 11, 301–311. [Google Scholar]
- RamReddy, C.; Naveen, P.; Srinivasacharya, D. nonlinear convective flow of non-Newtonian fluid over an inclined plate with convective surface condition: A Darcy–Forchheimer model. Int. J. Appl. Comput. Math. 2018, 4, 1–18. [Google Scholar] [CrossRef]
- Mahmoud, M.A. Slip velocity effect on a non-Newtonian power-law fluid over a moving permeable surface with heat generation. Math. Comput. Model. 2011, 54, 1228–1237. [Google Scholar] [CrossRef]
- Li, B.; Zheng, L.; Zhang, X. Heat transfer in pseudo-plastic non-Newtonian fluids with variable thermal conductivity. Energy Convers. Manag. 2011, 52, 355–358. [Google Scholar] [CrossRef]
- Yazdi, M.; Hashim, I.; Sopian, K. Slip boundary layer flow of a power-law fluid over moving permeable surface with viscous dissipation and prescribed surface temperature. Int. Rev. Mech. Eng. 2014, 8, 661–670. [Google Scholar]
- Si, X.; Li, H.; Shen, Y.; Zheng, L. Effects of nonlinear velocity slip and temperature jump on pseudo-plastic power-law fluid over moving permeable surface in presence of magnetic field. Appl. Math. Mech. 2017, 38, 333–342. [Google Scholar] [CrossRef]
- Shamshirband, S.; Malvandi, A.; Karimipour, A.; Goodarzi, M.; Afrand, M.; Petković, D.; Dahari, M.; Mahmoodian, N. Performance investigation of micro-and nano-sized particle erosion in a 90 elbow using an ANFIS model. Powder Technol. 2015, 284, 336–343. [Google Scholar] [CrossRef]
- Hajmohammadi, M.; Maleki, H.; Lorenzini, G.; Nourazar, S. Effects of Cu and Ag nano-particles on flow and heat transfer from permeable surfaces. Adv. Powder Technol. 2015, 26, 193–199. [Google Scholar] [CrossRef]
- Akbari, O.A.; Toghraie, D.; Karimipour, A.; Safaei, M.R.; Goodarzi, M.; Alipour, H.; Dahari, M. Investigation of rib’s height effect on heat transfer and flow parameters of laminar water–Al2O3 nanofluid in a rib-microchannel. Appl. Math. Comput. 2016, 290, 135–153. [Google Scholar]
- Heydari, A.; Akbari, O.A.; Safaei, M.R.; Derakhshani, M.; Alrashed, A.A.; Mashayekhi, R.; Ahmadi Sheikh Shabani, G.; Zarringhalam, M.; Nguyen, T.K. The effect of attack angle of triangular ribs on heat transfer of nanofluids in a microchannel. J. Therm. Anal. Calorim. 2018, 131, 2893–2912. [Google Scholar] [CrossRef]
- Afrand, M.; Nadooshan, A.A.; Hassani, M.; Yarmand, H.; Dahari, M. Predicting the viscosity of multi-walled carbon nanotubes/water nanofluid by developing an optimal artificial neural network based on experimental data. Int. Commun. Heat Mass Transf. 2016, 77, 49–53. [Google Scholar] [CrossRef]
- Sarsam, W.S.; Amiri, A.; Shanbedi, M.; Kazi, S.; Badarudin, A.; Yarmand, H.; Bashirnezhad, K.; Zaharinie, T. Synthesis, stability, and thermophysical properties of aqueous colloidal dispersions of multi-walled carbon nanotubes treated with beta-alanine. Int. Commun. Heat Mass Transf. 2017, 89, 7–17. [Google Scholar] [CrossRef]
- Safaei, M.R.; Safdari Shadloo, M.; Goodarzi, M.S.; Hadjadj, A.; Goshayeshi, H.R.; Afrand, M.; Kazi, S. A survey on experimental and numerical studies of convection heat transfer of nanofluids inside closed conduits. Adv. Mech. Eng. 2016, 8, 1687814016673569. [Google Scholar] [CrossRef]
- Hosseini, S.M.; Safaei, M.R.; Goodarzi, M.; Alrashed, A.A.; Nguyen, T.K. New temperature, interfacial shell dependent dimensionless model for thermal conductivity of nanofluids. Int. J. Heat Mass Transf. 2017, 114, 207–210. [Google Scholar] [CrossRef]
- Nandeppanavar, M.M.; Reddy Gorla, R.S.; Shakunthala, S. Magneto-hydrodynamic Blasius flow and heat transfer from a flat plate in the presence of suspended carbon nanofluids. Proc. Inst. Mech. Eng. Part J. Nanomater. Nanoeng. Nanosyst. 2018, 232, 31–40. [Google Scholar] [CrossRef]
- Lin, Y.; Zheng, L.; Zhang, X. Radiation effects on Marangoni convection flow and heat transfer in pseudo-plastic non-Newtonian nanofluids with variable thermal conductivity. Int. J. Heat Mass Transf. 2014, 77, 708–716. [Google Scholar] [CrossRef]
- Ramesh, G.; Chamkha, A.J.; Gireesha, B. Magnetohydrodynamic flow of a non-Newtonian nanofluid over an impermeable surface with heat generation/absorption. J. Nanofluids 2014, 3, 78–84. [Google Scholar] [CrossRef]
- Uddin, M.; Ferdows, M.; Bég, O.A. Group analysis and numerical computation of magneto-convective non-Newtonian nanofluid slip flow from a permeable stretching sheet. Appl. Nanosci. 2014, 4, 897–910. [Google Scholar] [CrossRef]
- Maleki, H.; Safaei, M.R.; Alrashed, A.A.; Kasaeian, A. Flow and heat transfer in non-Newtonian nanofluids over porous surfaces. J. Therm. Anal. Calorim. 2019, 135, 1655–1666. [Google Scholar] [CrossRef]
- Jamaludin, A.; Naganthran, K.; Nazar, R.; Pop, I. Thermal radiation and MHD effects in the mixed convection flow of Fe3O4–water ferrofluid towards a nonlinearly moving surface. Processes 2020, 8, 95. [Google Scholar] [CrossRef]
- Jamaludin, A.; Naganthran, K.; Nazar, R.; Pop, I. MHD mixed convection stagnation-point flow of Cu-Al2O3/water hybrid nanofluid over a permeable stretching/shrinking surface with heat source/sink. Eur. J. -Mech.-B/Fluids 2020, 84, 71–80. [Google Scholar] [CrossRef]
- Hamilton, R.L.; Crosser, O. Thermal conductivity of heterogeneous two-component systems. Ind. Eng. Chem. Fundam. 1962, 1, 187–191. [Google Scholar] [CrossRef]
- Sandeep, N.; Kumar, B.R.; Kumar, M.J. A comparative study of convective heat and mass transfer in non-Newtonian nanofluid flow past a permeable stretching sheet. J. Mol. Liq. 2015, 212, 585–591. [Google Scholar] [CrossRef]
- Madhu, M.; Kishan, N.; Chamkha, A. Boundary layer flow and heat transfer of a non-Newtonian nanofluid over a non-linearly stretching sheet. Int. J. Numer. Methods Heat Fluid Flow 2016, 26, 2198–2217. [Google Scholar] [CrossRef]
- Chen, C.H. Effects of magnetic field and suction/injection on convection heat transfer of non-Newtonian power-law fluids past a power-law stretched sheet with surface heat flux. Int. J. Therm. Sci. 2008, 47, 954–961. [Google Scholar] [CrossRef]
- Kumar, R.; Sood, S.; Shehzad, S.A.; Sheikholeslami, M. Radiative heat transfer study for flow of non-Newtonian nanofluid past a Riga plate with variable thickness. J. Mol. Liq. 2017, 248, 143–152. [Google Scholar] [CrossRef]
- Saranya, S.; Al-Mdallal, Q.M. Non-Newtonian ferrofluid flow over an unsteady contracting cylinder under the influence of aligned magnetic field. Case Stud. Therm. Eng. 2020, 21, 100679. [Google Scholar] [CrossRef]
- Sarada, K.; Gowda, R.J.P.; Sarris, I.E.; Kumar, R.N.; Prasannakumara, B.C. Effect of magnetohydrodynamics on heat transfer behaviour of a non-Newtonian fluid flow over a stretching sheet under local thermal non-equilibrium condition. Fluids 2021, 6, 264. [Google Scholar] [CrossRef]
- Ishtiaq, F.; Ellahi, R.; Bhatti, M.M.; Alamri, S.Z. Insight in thermally radiative cilia-driven flow of electrically conducting non-newtonian jeffrey fluid under the influence of induced magnetic field. Mathematics 2022, 10, 2007. [Google Scholar] [CrossRef]
- Abderrahmane, A.; Alqsair, U.F.; Guedri, K.; Jamshed, W.; Nasir, N.A.A.; Majdi, H.S.; Baghaei, S.; Mourad, A.; Marzouki, R. Analysis of mixed convection of a power-law non-Newtonian nanofluid through a vented enclosure with rotating cylinder under magnetic field. Ann. Nucl. Energy 2022, 178, 109339. [Google Scholar] [CrossRef]
- Levin, M.L.; Miller, M.A. Maxwell’s “Treatise on Electricity and Magnetism”. Sov. Phys. Uspekhi 1981, 24, 904. [Google Scholar] [CrossRef]
- Yang, Y. Characterizations and Convective Heat Transfer Performance of Nanofluids; Lehigh University: Bethlehem, PA, USA, 2011. [Google Scholar]
- Wen, D.; Ding, Y. Effective thermal conductivity of aqueous suspensions of carbon nanotubes (carbon nanotube nanofluids). J. Thermophys. Heat Transf. 2004, 18, 481–485. [Google Scholar] [CrossRef]
- Mehrali, M.; Sadeghinezhad, E.; Latibari, S.T.; Kazi, S.N.; Mehrali, M.; Zubir, M.N.B.M.; Metselaar, H.S.C. Investigation of thermal conductivity and rheological properties of nanofluids containing graphene nanoplatelets. Nanoscale Res. Lett. 2014, 9, 1–12. [Google Scholar] [CrossRef]
- Keblinski, P.; Phillpot, S.; Choi, S.; Eastman, J. Mechanisms of heat flow in suspensions of nano-sized particles (nanofluids). Int. J. Heat Mass Transf. 2002, 45, 855–863. [Google Scholar] [CrossRef]
- Duangthongsuk, W.; Wongwises, S. Comparison of the effects of measured and computed thermophysical properties of nanofluids on heat transfer performance. Exp. Therm. Fluid Sci. 2010, 34, 616–624. [Google Scholar] [CrossRef]
- Yu, W.; Choi, S. The role of interfacial layers in the enhanced thermal conductivity of nanofluids: A renovated Maxwell model. J. Nanoparticle Res. 2003, 5, 167–171. [Google Scholar] [CrossRef]
- Öziş, T.; Aslan, İ. Similarity solutions to Burgers’ equation in terms of special functions of mathematical physics. Acta Phys. Pol. B 2017, 48, 1349–1366. [Google Scholar] [CrossRef]
- Chen, H.; Yang, W.; He, Y.; Ding, Y.; Zhang, L.; Tan, C.; Lapkin, A.A.; Bavykin, D.V. Heat transfer and flow behaviour of aqueous suspensions of titanate nanotubes (nanofluids). Powder Technol. 2008, 183, 63–72. [Google Scholar] [CrossRef]
- Das, S.K.; Putra, N.; Thiesen, P.; Roetzel, W. Temperature dependence of thermal conductivity enhancement for nanofluids. J. Heat Transf. 2003, 125, 567–574. [Google Scholar] [CrossRef]
- Murshed, S.; Leong, K.; Yang, C. Enhanced thermal conductivity of TiO2—Water based nanofluids. Int. J. Therm. Sci. 2005, 44, 367–373. [Google Scholar] [CrossRef]
- Sonawane, S.S.; Khedkar, R.S.; Wasewar, K.L. Study on concentric tube heat exchanger heat transfer performance using Al2O3—Water based nanofluids. Int. Commun. Heat Mass Transf. 2013, 49, 60–68. [Google Scholar] [CrossRef]
- Khairul, M.A.; Alim, M.A.; Mahbubul, I.M.; Saidur, R.; Hepbasli, A.; Hossain, A. Heat transfer performance and exergy analyses of a corrugated plate heat exchanger using metal oxide nanofluids. Int. Commun. Heat Mass Transf. 2014, 50, 8–14. [Google Scholar] [CrossRef]
- Yang, J.; Li, F.; Xu, H.; He, Y.; Huang, Y.; Jiang, B. Heat transfer performance of viscoelastic-fluid-based nanofluid pipe flow at entrance region. Exp. Heat Transf. 2015, 28, 125–138. [Google Scholar] [CrossRef]
- Zhang, H.; Zhang, X.; Zheng, L. Numerical study of thermal boundary layer on a continuous moving surface in power law fluids. J. Therm. Sci. 2007, 16, 243–247. [Google Scholar] [CrossRef]
- Abu-Nada, E. Application of nanofluids for heat transfer enhancement of separated flows encountered in a backward facing step. Int. J. Heat Fluid Flow 2008, 29, 242–249. [Google Scholar] [CrossRef]
- Ishak, A. Similarity solutions for flow and heat transfer over a permeable surface with convective boundary condition. Appl. Math. Comput. 2010, 217, 837–842. [Google Scholar] [CrossRef]
- Anjali Devi, S.; Suriyakumar, P. Effect of magnetic field on Blasius and Sakiadis flow of nanofluids past an inclined plate. J. Taibah Univ. Sci. 2017, 11, 1275–1288. [Google Scholar] [CrossRef]
- Tiwari, R.K.; Das, M.K. Heat transfer augmentation in a two-sided lid-driven differentially heated square cavity utilizing nanofluids. Int. J. Heat Mass Transf. 2007, 50, 2002–2018. [Google Scholar] [CrossRef]


















| Researchers | Nano-Particle Size & Shape | Base-Fluids | Observations |
|---|---|---|---|
| Eastman et al. [3] | Spherical | Water | Vol. Fraction 5 to 20%, improvement 10 to 250%. |
| Murshed et al. [54] | Spherical (15 nm) | Water | Vol. Fraction 1 to 5%, improvement 18 to 29.7%. |
| Chen et al. [52] | Tube shape | Water | Vol. Fraction 0.25 to 0.6%, improvement 2.5 to 4%. |
| Das et al. [53] | Spherical (38.4 nm) | Water | Vol. Fraction 1 to 4%, improvement 2 to 8%. |
| Researchers | Nano-Particle Size & Shape | Base-Fluids | Observations |
|---|---|---|---|
| Das et al. [53] | Spherical (38.4 nm) | Water | Not noticeable rise in |
| Wen et al. [46] | Spherical (30 nm) | Water | Vol. Fraction 0.6 %, = 25 to 155, rise in h 1.3 to 12.5 %. |
| Zeinali et al. [1] | Spherical (20 nm) | DI Water | Vol. F. 0.2 to 3.0 %, = 650 to 2050, rise in h 10 to 35 %. |
| Yang et al. [45] | Spherical (20 nm to 56 nm) | Water | Vol. F. 0.2 to 1.0 %, = 22 to 900, rise in h 3 to 59 %. |
| Physical Characteristics | BF (0%) | BF (0.1%) | BF (0.2%) | BF (0.3%) |
|---|---|---|---|---|
| n | 1 | 0.91 | 0.85 | 0.81 |
| 0.000855 | 0.006319 | 0.017540 | 0.0313603 |
| Physical Characteristics | CMC/Water (0 to 0.3%) | Ti | Cu | CuO | |
|---|---|---|---|---|---|
| /kg | 997.1 | 8933 | 3970 | 6500 | 4250 |
| k/W | 0.613 | 400 | 40 | 20 | 8.9538 |
| /J | 4179 | 385 | 765 | 535.6 | 686.2 |
Publisher’s Note: MDPI stays neutral with regard to jurisdictional claims in published maps and institutional affiliations. |
© 2022 by the authors. Licensee MDPI, Basel, Switzerland. This article is an open access article distributed under the terms and conditions of the Creative Commons Attribution (CC BY) license (https://creativecommons.org/licenses/by/4.0/).
Share and Cite
Abbas, I.; Hasnain, S.; Alatawi, N.A.; Saqib, M.; Mashat, D.S. Non-Newtonian Nano-Fluids in Blasius and Sakiadis Flows Influenced by Magnetic Field. Nanomaterials 2022, 12, 4254. https://doi.org/10.3390/nano12234254
Abbas I, Hasnain S, Alatawi NA, Saqib M, Mashat DS. Non-Newtonian Nano-Fluids in Blasius and Sakiadis Flows Influenced by Magnetic Field. Nanomaterials. 2022; 12(23):4254. https://doi.org/10.3390/nano12234254
Chicago/Turabian StyleAbbas, Imran, Shahid Hasnain, Nawal A. Alatawi, Muhammad Saqib, and Daoud S. Mashat. 2022. "Non-Newtonian Nano-Fluids in Blasius and Sakiadis Flows Influenced by Magnetic Field" Nanomaterials 12, no. 23: 4254. https://doi.org/10.3390/nano12234254
APA StyleAbbas, I., Hasnain, S., Alatawi, N. A., Saqib, M., & Mashat, D. S. (2022). Non-Newtonian Nano-Fluids in Blasius and Sakiadis Flows Influenced by Magnetic Field. Nanomaterials, 12(23), 4254. https://doi.org/10.3390/nano12234254
