Theoretical Investigation of Fast Neutron and Gamma Radiation Properties of Polycarbonate-Bismuth Oxide Composites Using Geant4
Abstract
1. Introduction
2. Materials and Methods
3. Theory
4. Monte Carlo Simulation
5. Results and Discussion
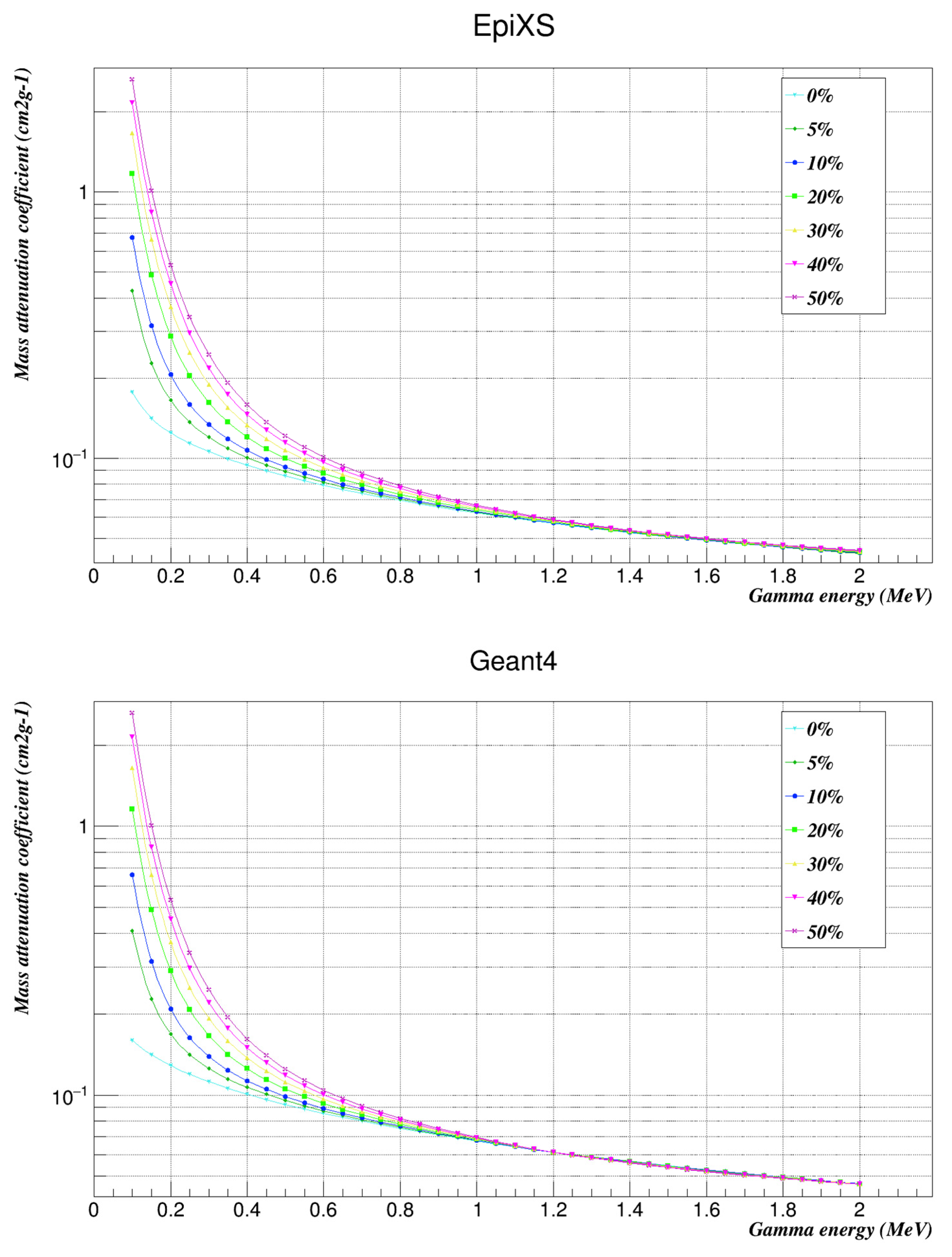
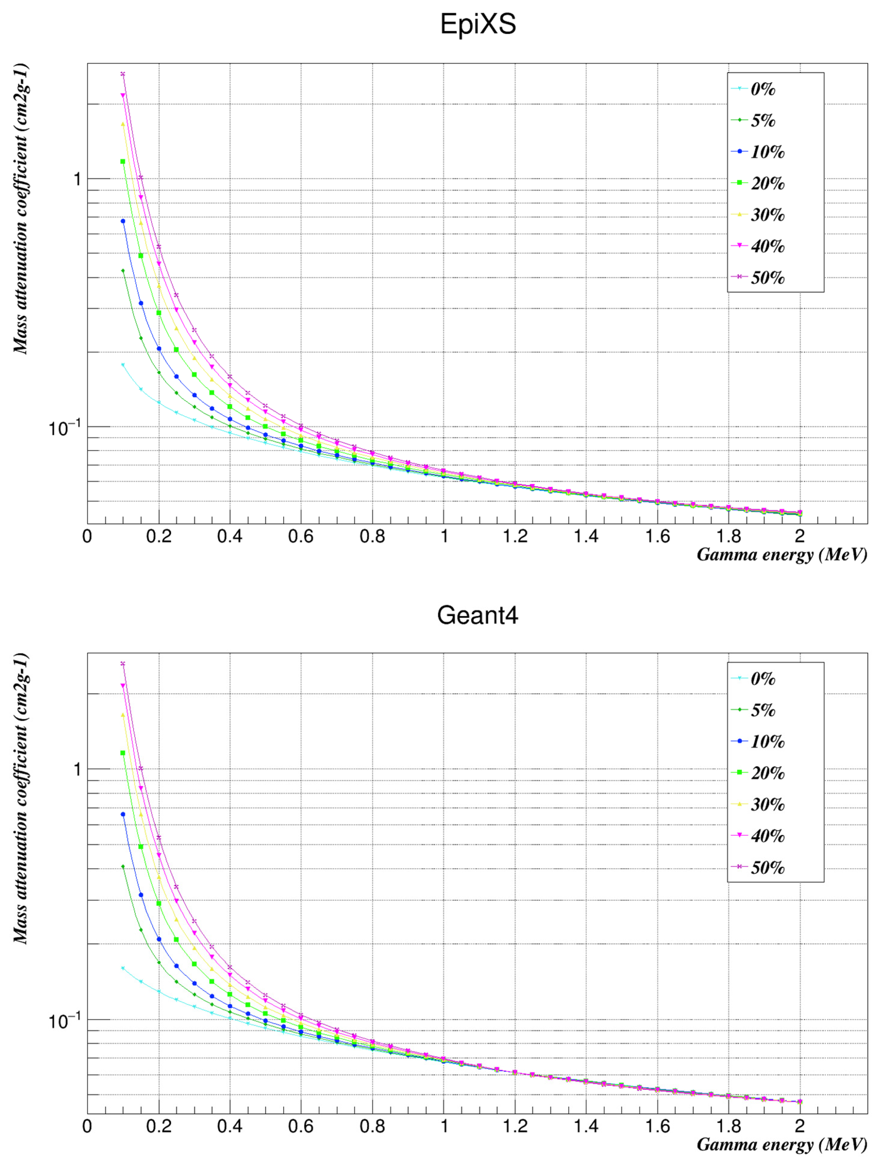
5.1. Attenuation Coefficient
5.2. Half-Value Layer (HVL)
5.3. Effective Atomic Number (Zeff) and Effective Electron Density (Neff)
6. Fast Neutron Removal Cross Section
7. Lead-Equivalent Gamma Shield
8. Conclusions
Funding
Institutional Review Board Statement
Informed Consent Statement
Data Availability Statement
Conflicts of Interest
References
- Mehrara, R.; Malekie, S.; Kotahi, S.; Kashian, S. Introducing a novel low energy gamma ray shield utilizing Polycarbonate Bismuth Oxide composite. Sci. Rep. 2021, 11, 10614. [Google Scholar] [CrossRef] [PubMed]
- Mirji, R.; Lobo, B. Study of polycarbonate–bismuth nitrate composite for shielding against gamma radiation. J. Radioanal. Nucl. Chem. 2020, 324, 7–19. [Google Scholar] [CrossRef]
- Saboori, A.; Dadkhah, M.; Fino, P.; Pavese, M. An Overview of Metal Matrix Nanocomposites Reinforced with Graphene Nanoplatelets; Mechanical, Electrical and Thermophysical Properties. Metals 2018, 8, 423. [Google Scholar] [CrossRef]
- Martin James, E. Physics for Radiation Protection; Wiley: Weinheim, Germany, 2013. [Google Scholar]
- Ambika, M.R.; Nagaiah, N.; Harish, V.; Lokanath, N.K.; Sridhar, M.A.; Renukappa, N.M.; Suman, S.K. Preparation and characterisation of Isophthalic-Bi2O3 polymer composite gamma radiation shields. Radiat. Phys. Chem. 2017, 130, 351–358. [Google Scholar] [CrossRef]
- Hila, F.C.; Asuncion-Astronomo, A.; Dingle, C.A.M.; Jecong, J.F.M.; Javier-Hila, A.M.V.; Gili, M.B.Z.; Balderas, C.V.; Lopez, G.E.P.; Guillermo, N.R.D.; Amorsolo, A.V., Jr. EpiXS: A Windows-based program for photon attenuation, dosimetry and shielding based on EPICS2017 (ENDF/B-VIII) and EPDL97 (ENDF/B-VI.8). Radiat. Phys. Chem. 2021, 182, 109331. [Google Scholar] [CrossRef]
- Ivanchenko, V. Geant4 toolkit for simulation of HEP experiments. Nucl. Instrum. Methods Phys. Res. Sect. A Accel. Spectrometers Detect. Assoc. Equip. 2003, 502, 666–668. [Google Scholar] [CrossRef]
- Hubbell, J. Photon mass attenuation and energy-absorption coefficients. Int. J. Appl. Radiat. Isot. 1982, 33, 1269–1290. [Google Scholar] [CrossRef]
- Kaewkhao, J.; Laopaiboon, J.; Chewpraditkul, W. Determination of effective atomic numbers and effective electron densities for Cu/Zn alloy. J. Quant. Spectrosc. Radiat. Transf. 2008, 109, 1260–1265. [Google Scholar] [CrossRef]
- Madhusudhan, A.; Narender, K.; Kishan, G.; Krishna, N.; Krishna, R. Mass Attenuation Coefficients, Effective atomic and Electron Numbers of Alkali Halides for Multi-Energetic Photons. Res. J. Phys. Sci. 2013, 1, 11–16. [Google Scholar]
- Olukotun, S.; Mann, K.; Gbenu, S.; Ibitoye, F.; Oladejo, O.; Joshi, A.; Tekin, H.; Sayyed, M.; Fasasi, M.; Balogun, F.; et al. Neutron-shielding behaviour investigations of some clay-materials. Nucl. Eng. Technol. 2019, 51, 1444–1450. [Google Scholar] [CrossRef]
- Mann, K.S. Toolkit for fast neutron removal cross-section. In Proceedings of the 3rd international Conference Advancements in Engineering and Technology; Bhai Gurdas Institute of Engineering and Technology: Sangrur, India, 2015. [Google Scholar]
- El Abd, A.; Mesbah, G.; Mohammed, N.; Ellithi, A. A simple Method for Determining the Effective Removal Cross Section for Fast Neutrons. J. Radiat. Nucl. Appl. 2017, 2, 53–58. [Google Scholar] [CrossRef]
- Brun, R.; Rademakers, F. ROOT—An Object Oriented Data Analysis Framework, Proceedings AIHENP’96 Workshop, Lausanne, Sep. 1996. Nucl. Inst. Methods Phys. Res. A 1997, 389, 81–86. [Google Scholar] [CrossRef]
- Hehn, G. Principles of Radiation Shielding. Nucl. Technol. 1986, 74, 104–105. [Google Scholar] [CrossRef]
- El-Khayatt, A. Calculation of fast neutron removal cross-sections for some compounds and materials. Ann. Nucl. Energy 2010, 37, 218–222. [Google Scholar] [CrossRef]
- Abd Elwahab, N.; Helal, N.; Mohamed, T.; Shahin, F.; Ali, F. New shielding composite paste for mixed fields of fast neutrons and gamma rays. Mater. Chem. Phys. 2019, 233, 249–253. [Google Scholar] [CrossRef]







| PC wt % | Bi2O3 wt % | Density (gm/cm3) |
|---|---|---|
| 100 | 0 | 1.15 |
| 95 | 5 | 1.19 |
| 90 | 10 | 1.24 |
| 80 | 20 | 1.36 |
| 70 | 30 | 1.54 |
| 60 | 40 | 1.74 |
| 50 | 50 | 1.97 |
| PC-Bi2O3 wt% | ||||||||||||
|---|---|---|---|---|---|---|---|---|---|---|---|---|
| Energy (MeV) | 0% | 5% | 10% | |||||||||
| Mass attenuation coefficients (cm2 g−1) | ||||||||||||
| EpiXS | Geant4 | Diff% | EpiXS | Geant4 | Diff% | EpiXS | Geant4 | Diff% | ||||
| 0.10 | 0.17684 | 0.15972 | 9.68% | 0.42520 | 0.40872 | 3.88% | 0.67357 | 0.65773 | 2.35% | |||
| 0.15 | 0.14085 | 0.14121 | −0.26% | 0.22783 | 0.22784 | −0.01% | 0.31480 | 0.31447 | 0.10% | |||
| 0.20 | 0.12444 | 0.12881 | −3.51% | 0.16526 | 0.16916 | −2.36% | 0.20607 | 0.20950 | −1.67% | |||
| 0.25 | 0.11373 | 0.11953 | −5.10% | 0.13632 | 0.14157 | −3.85% | 0.15891 | 0.16360 | −2.95% | |||
| 0.30 | 0.10576 | 0.11215 | −6.03% | 0.11969 | 0.12570 | −5.02% | 0.13362 | 0.13925 | −4.21% | |||
| 0.35 | 0.09932 | 0.10603 | −6.75% | 0.10858 | 0.11491 | −5.83% | 0.11785 | 0.12380 | −5.05% | |||
| 0.40 | 0.09406 | 0.10082 | −7.18% | 0.10055 | 0.10694 | −6.36% | 0.10705 | 0.11307 | −5.63% | |||
| 0.45 | 0.08949 | 0.09628 | −7.58% | 0.09424 | 0.10070 | −6.86% | 0.09898 | 0.10512 | −6.20% | |||
| 0.50 | 0.08561 | 0.09228 | −7.79% | 0.08920 | 0.09554 | −7.11% | 0.09278 | 0.09879 | −6.47% | |||
| 0.55 | 0.08213 | 0.08871 | −8.01% | 0.08491 | 0.09116 | −7.36% | 0.08769 | 0.09361 | −6.75% | |||
| 0.60 | 0.07906 | 0.08547 | −8.11% | 0.08124 | 0.08735 | −7.52% | 0.08343 | 0.08923 | −6.95% | |||
| 0.65 | 0.07626 | 0.08254 | −8.23% | 0.07800 | 0.08399 | −7.68% | 0.07974 | 0.08544 | −7.16% | |||
| 0.70 | 0.07374 | 0.07988 | −8.34% | 0.07514 | 0.08101 | −7.81% | 0.07654 | 0.08214 | −7.31% | |||
| 0.75 | 0.07143 | 0.07745 | −8.43% | 0.07258 | 0.07833 | −7.93% | 0.07372 | 0.07921 | −7.45% | |||
| 0.80 | 0.06931 | 0.07522 | −8.52% | 0.07025 | 0.07590 | −8.04% | 0.07119 | 0.07658 | −7.57% | |||
| 0.85 | 0.06733 | 0.07314 | −8.64% | 0.06810 | 0.07367 | −8.17% | 0.06887 | 0.07419 | −7.71% | |||
| 0.90 | 0.06551 | 0.07119 | −8.67% | 0.06615 | 0.07159 | −8.21% | 0.06680 | 0.07198 | −7.77% | |||
| 0.95 | 0.06384 | 0.06933 | −8.59% | 0.06437 | 0.06962 | −8.15% | 0.06490 | 0.06991 | −7.72% | |||
| 1.00 | 0.06225 | 0.06752 | −8.46% | 0.06269 | 0.06773 | −8.03% | 0.06313 | 0.06794 | −7.61% | |||
| 1.05 | 0.06074 | 0.06574 | −8.22% | 0.06111 | 0.06588 | −7.81% | 0.06147 | 0.06602 | −7.40% | |||
| 1.10 | 0.05936 | 0.06412 | −8.01% | 0.05966 | 0.06421 | −7.62% | 0.05996 | 0.06429 | −7.22% | |||
| 1.15 | 0.05802 | 0.06264 | −7.97% | 0.05827 | 0.06268 | −7.58% | 0.05851 | 0.06272 | −7.19% | |||
| 1.20 | 0.05683 | 0.06129 | −7.85% | 0.05703 | 0.06129 | −7.47% | 0.05724 | 0.06129 | −7.09% | |||
| 1.25 | 0.05565 | 0.06004 | −7.88% | 0.05583 | 0.06001 | −7.50% | 0.05600 | 0.05999 | −7.12% | |||
| 1.30 | 0.05454 | 0.05889 | −7.97% | 0.05469 | 0.05884 | −7.58% | 0.05483 | 0.05879 | −7.21% | |||
| 1.35 | 0.05349 | 0.05782 | −8.09% | 0.05361 | 0.05775 | −7.71% | 0.05374 | 0.05768 | −7.33% | |||
| 1.40 | 0.05252 | 0.05678 | −8.13% | 0.05263 | 0.05670 | −7.75% | 0.05274 | 0.05662 | −7.37% | |||
| 1.45 | 0.05155 | 0.05568 | −8.01% | 0.05165 | 0.05559 | −7.64% | 0.05175 | 0.05551 | −7.26% | |||
| 1.50 | 0.05070 | 0.05464 | −7.78% | 0.05079 | 0.05455 | −7.41% | 0.05088 | 0.05447 | −7.04% | |||
| 1.55 | 0.05058 | 0.05367 | −6.11% | 0.04995 | 0.05358 | −7.27% | 0.05004 | 0.05349 | −6.90% | |||
| 1.60 | 0.04974 | 0.05275 | −6.04% | 0.04913 | 0.05266 | −7.20% | 0.04922 | 0.05258 | −6.83% | |||
| 1.65 | 0.04897 | 0.05188 | −5.94% | 0.04835 | 0.05180 | −7.14% | 0.04844 | 0.05172 | −6.78% | |||
| 1.70 | 0.04825 | 0.05105 | −5.82% | 0.04761 | 0.05098 | −7.08% | 0.04770 | 0.05090 | −6.71% | |||
| 1.75 | 0.04758 | 0.05027 | −5.64% | 0.04692 | 0.05020 | −6.98% | 0.04702 | 0.05013 | −6.62% | |||
| 1.80 | 0.04694 | 0.04952 | −5.50% | 0.04624 | 0.04946 | −6.95% | 0.04634 | 0.04940 | −6.59% | |||
| 1.85 | 0.04633 | 0.04881 | −5.34% | 0.04560 | 0.04875 | −6.91% | 0.04571 | 0.04870 | −6.55% | |||
| 1.90 | 0.04579 | 0.04812 | −5.08% | 0.04502 | 0.04808 | −6.79% | 0.04513 | 0.04803 | −6.43% | |||
| 1.95 | 0.04526 | 0.04745 | −4.85% | 0.04444 | 0.04742 | −6.71% | 0.04456 | 0.04738 | −6.35% | |||
| 2.00 | 0.04474 | 0.04680 | −4.59% | 0.04386 | 0.04677 | −6.63% | 0.04399 | 0.04675 | −6.28% | |||
| Energy (MeV) | 20% | 30% | 40% | 50% | ||||||||
| Mass attenuation coefficients (cm2 g−1) | ||||||||||||
| EpiXS | Geant4 | Diff% | EpiXS | Geant4 | Diff% | EpiXS | Geant4 | Diff% | EpiXS | Geant4 | Diff% | |
| 0.10 | 1.17030 | 1.15574 | 1.24% | 1.66703 | 1.65375 | 0.80% | 2.16376 | 2.15176 | 0.55% | 2.66049 | 2.64977 | 0.40% |
| 0.15 | 0.48876 | 0.48774 | 0.21% | 0.66271 | 0.66100 | 0.26% | 0.83666 | 0.83426 | 0.29% | 1.01061 | 1.00752 | 0.31% |
| 0.20 | 0.28769 | 0.29020 | −0.87% | 0.36932 | 0.37089 | −0.43% | 0.45094 | 0.45158 | −0.14% | 0.53257 | 0.53228 | 0.05% |
| 0.25 | 0.20408 | 0.20767 | −1.76% | 0.24925 | 0.25173 | −1.00% | 0.29443 | 0.29580 | −0.47% | 0.33960 | 0.33987 | −0.08% |
| 0.30 | 0.16148 | 0.16636 | −3.02% | 0.18934 | 0.19347 | −2.18% | 0.21720 | 0.22058 | −1.56% | 0.24506 | 0.24769 | −1.08% |
| 0.35 | 0.13637 | 0.14157 | −3.81% | 0.15489 | 0.15934 | −2.87% | 0.17342 | 0.17712 | −2.13% | 0.19194 | 0.19489 | −1.54% |
| 0.40 | 0.12003 | 0.12533 | −4.41% | 0.13302 | 0.13759 | −3.44% | 0.14601 | 0.14985 | −2.63% | 0.15900 | 0.16211 | −1.96% |
| 0.45 | 0.10847 | 0.11396 | −5.06% | 0.11796 | 0.12280 | −4.10% | 0.12745 | 0.13164 | −3.29% | 0.13694 | 0.14048 | −2.59% |
| 0.50 | 0.09995 | 0.10529 | −5.34% | 0.10712 | 0.11179 | −4.37% | 0.11428 | 0.11830 | −3.51% | 0.12145 | 0.12480 | −2.76% |
| 0.55 | 0.09325 | 0.09851 | −5.64% | 0.09881 | 0.10341 | −4.66% | 0.10437 | 0.10832 | −3.78% | 0.10993 | 0.11322 | −2.99% |
| 0.60 | 0.08779 | 0.09298 | −5.91% | 0.09216 | 0.09673 | −4.96% | 0.09653 | 0.10048 | −4.10% | 0.10089 | 0.10424 | −3.32% |
| 0.65 | 0.08321 | 0.08835 | −6.17% | 0.08668 | 0.09125 | −5.27% | 0.09016 | 0.09415 | −4.43% | 0.09363 | 0.09705 | −3.66% |
| 0.70 | 0.07935 | 0.08439 | −6.36% | 0.08216 | 0.08665 | −5.47% | 0.08496 | 0.08890 | −4.64% | 0.08777 | 0.09116 | −3.86% |
| 0.75 | 0.07600 | 0.08096 | −6.53% | 0.07828 | 0.08272 | −5.66% | 0.08057 | 0.08447 | −4.85% | 0.08285 | 0.08623 | −4.08% |
| 0.80 | 0.07307 | 0.07794 | −6.67% | 0.07494 | 0.07930 | −5.81% | 0.07682 | 0.08066 | −5.00% | 0.07869 | 0.08202 | −4.22% |
| 0.85 | 0.07042 | 0.07523 | −6.83% | 0.07197 | 0.07628 | −5.99% | 0.07351 | 0.07732 | −5.18% | 0.07506 | 0.07837 | −4.40% |
| 0.90 | 0.06808 | 0.07277 | −6.90% | 0.06936 | 0.07356 | −6.06% | 0.07064 | 0.07435 | −5.26% | 0.07192 | 0.07515 | −4.48% |
| 0.95 | 0.06596 | 0.07050 | −6.88% | 0.06702 | 0.07108 | −6.07% | 0.06808 | 0.07167 | −5.28% | 0.06914 | 0.07226 | −4.51% |
| 1.00 | 0.06401 | 0.06836 | −6.79% | 0.06489 | 0.06878 | −5.99% | 0.06577 | 0.06919 | −5.21% | 0.06665 | 0.06961 | −4.45% |
| 1.05 | 0.06220 | 0.06631 | −6.60% | 0.06293 | 0.06659 | −5.82% | 0.06366 | 0.06688 | −5.06% | 0.06439 | 0.06716 | −4.31% |
| 1.10 | 0.06056 | 0.06447 | −6.45% | 0.06116 | 0.06464 | −5.69% | 0.06176 | 0.06481 | −4.95% | 0.06236 | 0.06499 | −4.22% |
| 1.15 | 0.05901 | 0.06280 | −6.42% | 0.05951 | 0.06288 | −5.66% | 0.06000 | 0.06295 | −4.92% | 0.06050 | 0.06303 | −4.19% |
| 1.20 | 0.05764 | 0.06130 | −6.34% | 0.05805 | 0.06130 | −5.59% | 0.05846 | 0.06130 | −4.86% | 0.05887 | 0.06131 | −4.14% |
| 1.25 | 0.05634 | 0.05993 | −6.37% | 0.05668 | 0.05988 | −5.63% | 0.05703 | 0.05982 | −4.90% | 0.05737 | 0.05976 | −4.18% |
| 1.30 | 0.05513 | 0.05868 | −6.46% | 0.05542 | 0.05858 | −5.71% | 0.05571 | 0.05848 | −4.98% | 0.05600 | 0.05838 | −4.25% |
| 1.35 | 0.05399 | 0.05754 | −6.58% | 0.05425 | 0.05741 | −5.83% | 0.05450 | 0.05727 | −5.09% | 0.05475 | 0.05713 | −4.35% |
| 1.40 | 0.05296 | 0.05646 | −6.61% | 0.05319 | 0.05630 | −5.87% | 0.05341 | 0.05615 | −5.12% | 0.05363 | 0.05599 | −4.39% |
| 1.45 | 0.05195 | 0.05534 | −6.52% | 0.05215 | 0.05517 | −5.78% | 0.05235 | 0.05500 | −5.04% | 0.05256 | 0.05483 | −4.32% |
| 1.50 | 0.05107 | 0.05429 | −6.30% | 0.05126 | 0.05412 | −5.57% | 0.05145 | 0.05394 | −4.84% | 0.05164 | 0.05377 | −4.12% |
| 1.55 | 0.05022 | 0.05332 | −6.17% | 0.05040 | 0.05314 | −5.45% | 0.05058 | 0.05297 | −4.73% | 0.05076 | 0.05280 | −4.01% |
| 1.60 | 0.04939 | 0.05241 | −6.11% | 0.04957 | 0.05224 | −5.39% | 0.04974 | 0.05207 | −4.67% | 0.04992 | 0.05190 | −3.97% |
| 1.65 | 0.04861 | 0.05156 | −6.05% | 0.04879 | 0.05140 | −5.34% | 0.04897 | 0.05123 | −4.63% | 0.04915 | 0.05107 | −3.92% |
| 1.70 | 0.04788 | 0.05075 | −6.00% | 0.04806 | 0.05060 | −5.28% | 0.04825 | 0.05045 | −4.57% | 0.04843 | 0.05030 | −3.87% |
| 1.75 | 0.04721 | 0.05000 | −5.91% | 0.04740 | 0.04986 | −5.20% | 0.04758 | 0.04972 | −4.50% | 0.04777 | 0.04959 | −3.80% |
| 1.80 | 0.04654 | 0.04928 | −5.88% | 0.04674 | 0.04916 | −5.17% | 0.04694 | 0.04903 | −4.47% | 0.04714 | 0.04891 | −3.77% |
| 1.85 | 0.04591 | 0.04860 | −5.84% | 0.04612 | 0.04849 | −5.13% | 0.04633 | 0.04839 | −4.43% | 0.04654 | 0.04828 | −3.74% |
| 1.90 | 0.04535 | 0.04795 | −5.72% | 0.04557 | 0.04786 | −5.02% | 0.04579 | 0.04777 | −4.32% | 0.04601 | 0.04768 | −3.63% |
| 1.95 | 0.04479 | 0.04732 | −5.64% | 0.04502 | 0.04725 | −4.94% | 0.04526 | 0.04718 | −4.25% | 0.04549 | 0.04711 | −3.56% |
| 2.00 | 0.04424 | 0.04670 | −5.57% | 0.04449 | 0.04666 | −4.87% | 0.04474 | 0.04661 | −4.18% | 0.04499 | 0.04656 | −3.49% |
| PC-Bi2O3 wt% | ||||||||||||
|---|---|---|---|---|---|---|---|---|---|---|---|---|
| Energy (MeV) | 0% | 5% | 10% | |||||||||
| HVL (cm) | ||||||||||||
| EpiXS | Geant4 | Diff% | EpiXS | Geant4 | Diff% | EpiXS | Geant4 | Diff% | ||||
| 0.10 | 3.40842 | 3.77378 | −10.72% | 1.36988 | 1.42512 | −4.03% | 0.82989 | 0.84988 | −2.41% | |||
| 0.15 | 4.27929 | 4.26831 | 0.26% | 2.55667 | 2.55648 | 0.01% | 1.77568 | 1.77754 | −0.10% | |||
| 0.20 | 4.84351 | 4.67931 | 3.39% | 3.52472 | 3.44345 | 2.31% | 2.71265 | 2.66818 | 1.64% | |||
| 0.25 | 5.29959 | 5.04247 | 4.85% | 4.27288 | 4.11455 | 3.71% | 3.51773 | 3.41683 | 2.87% | |||
| 0.30 | 5.69886 | 5.37462 | 5.69% | 4.86640 | 4.63386 | 4.78% | 4.18335 | 4.01417 | 4.04% | |||
| 0.35 | 6.06855 | 5.68480 | 6.32% | 5.36432 | 5.06889 | 5.51% | 4.74341 | 4.51534 | 4.81% | |||
| 0.40 | 6.40811 | 5.97864 | 6.70% | 5.79278 | 5.44656 | 5.98% | 5.22196 | 4.94362 | 5.33% | |||
| 0.45 | 6.73512 | 6.26031 | 7.05% | 6.18101 | 5.78433 | 6.42% | 5.64742 | 5.31768 | 5.84% | |||
| 0.50 | 7.04013 | 6.53130 | 7.23% | 6.53017 | 6.09695 | 6.63% | 6.02482 | 5.65853 | 6.08% | |||
| 0.55 | 7.33883 | 6.79474 | 7.41% | 6.85996 | 6.38978 | 6.85% | 6.37464 | 5.97156 | 6.32% | |||
| 0.60 | 7.62396 | 7.05187 | 7.50% | 7.16968 | 6.66843 | 6.99% | 6.70049 | 6.26494 | 6.50% | |||
| 0.65 | 7.90326 | 7.30213 | 7.61% | 7.46756 | 6.93477 | 7.13% | 7.01037 | 6.54212 | 6.68% | |||
| 0.70 | 8.17428 | 7.54537 | 7.69% | 7.75198 | 7.19023 | 7.25% | 7.30301 | 6.80554 | 6.81% | |||
| 0.75 | 8.43770 | 7.78204 | 7.77% | 8.02584 | 7.43623 | 7.35% | 7.58296 | 7.05734 | 6.93% | |||
| 0.80 | 8.69585 | 8.01318 | 7.85% | 8.29134 | 7.67446 | 7.44% | 7.85217 | 7.29962 | 7.04% | |||
| 0.85 | 8.95225 | 8.24047 | 7.95% | 8.55311 | 7.90703 | 7.55% | 8.11608 | 7.53478 | 7.16% | |||
| 0.90 | 9.20013 | 8.46633 | 7.98% | 8.80478 | 8.13657 | 7.59% | 8.36869 | 7.76560 | 7.21% | |||
| 0.95 | 9.44089 | 8.69392 | 7.91% | 9.04854 | 8.36637 | 7.54% | 8.61286 | 7.99541 | 7.17% | |||
| 1.00 | 9.68233 | 8.92725 | 7.80% | 9.29128 | 8.60045 | 7.44% | 8.85456 | 8.22817 | 7.07% | |||
| 1.05 | 9.92275 | 9.16877 | 7.60% | 9.53205 | 8.84141 | 7.25% | 9.09348 | 8.46660 | 6.89% | |||
| 1.10 | 10.15320 | 9.39993 | 7.42% | 9.76271 | 9.07173 | 7.08% | 9.32232 | 8.69421 | 6.74% | |||
| 1.15 | 10.38880 | 9.62170 | 7.38% | 9.99685 | 9.29254 | 7.05% | 9.55311 | 8.91232 | 6.71% | |||
| 1.20 | 10.60670 | 9.83422 | 7.28% | 10.21340 | 9.50338 | 6.95% | 9.76655 | 9.11991 | 6.62% | |||
| 1.25 | 10.82990 | 10.03848 | 7.31% | 10.43380 | 9.70555 | 6.98% | 9.98243 | 9.31853 | 6.65% | |||
| 1.30 | 11.05050 | 10.23518 | 7.38% | 10.65060 | 9.89977 | 7.05% | 10.19410 | 9.50887 | 6.72% | |||
| 1.35 | 11.26860 | 10.42474 | 7.49% | 10.86420 | 10.08626 | 7.16% | 10.40160 | 9.69104 | 6.83% | |||
| 1.40 | 11.47740 | 10.61483 | 7.52% | 11.06810 | 10.27243 | 7.19% | 10.59930 | 9.87208 | 6.86% | |||
| 1.45 | 11.69300 | 10.82550 | 7.42% | 11.27790 | 10.47765 | 7.10% | 10.80200 | 10.07062 | 6.77% | |||
| 1.50 | 11.88930 | 11.03077 | 7.22% | 11.46830 | 10.67708 | 6.90% | 10.98550 | 10.26302 | 6.58% | |||
| 1.55 | 12.08910 | 11.23105 | 7.10% | 11.66170 | 10.87120 | 6.78% | 11.17130 | 10.44985 | 6.46% | |||
| 1.60 | 12.29100 | 11.42679 | 7.03% | 11.85650 | 11.06045 | 6.71% | 11.35800 | 10.63157 | 6.40% | |||
| 1.65 | 12.48990 | 11.61833 | 6.98% | 12.04790 | 11.24524 | 6.66% | 11.54090 | 10.80860 | 6.35% | |||
| 1.70 | 12.68430 | 11.80603 | 6.92% | 12.23450 | 11.42595 | 6.61% | 11.71870 | 10.98138 | 6.29% | |||
| 1.75 | 12.87060 | 11.99020 | 6.84% | 12.41310 | 11.60296 | 6.53% | 11.88870 | 11.15029 | 6.21% | |||
| 1.80 | 13.06180 | 12.17131 | 6.82% | 12.59570 | 11.77665 | 6.50% | 12.06200 | 11.31572 | 6.19% | |||
| 1.85 | 13.24780 | 12.34969 | 6.78% | 12.77320 | 11.94743 | 6.46% | 12.23020 | 11.47806 | 6.15% | |||
| 1.90 | 13.42130 | 12.52575 | 6.67% | 12.93830 | 12.11567 | 6.36% | 12.38620 | 11.63767 | 6.04% | |||
| 1.95 | 13.59950 | 12.70198 | 6.60% | 13.10770 | 12.28374 | 6.29% | 12.54600 | 11.79681 | 5.97% | |||
| 2.00 | 13.78030 | 12.87984 | 6.53% | 13.27900 | 12.45308 | 6.22% | 12.70720 | 11.95690 | 5.90% | |||
| Energy (MeV) | 20% | 30% | 40% | 50% | ||||||||
| HVL (cm) | ||||||||||||
| EpiXS | Geant4 | Diff% | EpiXS | Geant4 | Diff% | EpiXS | Geant4 | Diff% | EpiXS | Geant4 | Diff% | |
| 0.10 | 0.43550 | 0.44099 | −1.26% | 0.27000 | 0.27217 | −0.80% | 0.18411 | 0.18513 | −0.56% | 0.13225 | 0.13279 | −0.40% |
| 0.15 | 1.04279 | 1.04496 | −0.21% | 0.67918 | 0.68093 | −0.26% | 0.47613 | 0.47750 | −0.29% | 0.34816 | 0.34923 | −0.31% |
| 0.20 | 1.77157 | 1.75629 | 0.86% | 1.21872 | 1.21356 | 0.42% | 0.88339 | 0.88214 | 0.14% | 0.66067 | 0.66103 | −0.05% |
| 0.25 | 2.49739 | 2.45425 | 1.73% | 1.80578 | 1.78798 | 0.99% | 1.35300 | 1.34672 | 0.46% | 1.03608 | 1.03526 | 0.08% |
| 0.30 | 3.15621 | 3.06358 | 2.93% | 2.37720 | 2.32640 | 2.14% | 1.83410 | 1.80595 | 1.53% | 1.43581 | 1.42053 | 1.06% |
| 0.35 | 3.73739 | 3.60008 | 3.67% | 2.90583 | 2.82468 | 2.79% | 2.29711 | 2.24914 | 2.09% | 1.83311 | 1.80538 | 1.51% |
| 0.40 | 4.24603 | 4.06654 | 4.23% | 3.38364 | 3.27126 | 3.32% | 2.72833 | 2.65839 | 2.56% | 2.21295 | 2.17046 | 1.92% |
| 0.45 | 4.69864 | 4.47237 | 4.82% | 3.81563 | 3.66527 | 3.94% | 3.12560 | 3.02614 | 3.18% | 2.56937 | 2.50464 | 2.52% |
| 0.50 | 5.09933 | 4.84060 | 5.07% | 4.20200 | 4.02619 | 4.18% | 3.48579 | 3.36752 | 3.39% | 2.89714 | 2.81939 | 2.68% |
| 0.55 | 5.46563 | 5.17372 | 5.34% | 4.55520 | 4.35241 | 4.45% | 3.81685 | 3.67780 | 3.64% | 3.20072 | 3.10776 | 2.90% |
| 0.60 | 5.80539 | 5.48158 | 5.58% | 4.88390 | 4.65305 | 4.73% | 4.12698 | 3.96442 | 3.94% | 3.48738 | 3.37546 | 3.21% |
| 0.65 | 6.12502 | 5.76894 | 5.81% | 5.19238 | 4.93262 | 5.00% | 4.41851 | 4.23108 | 4.24% | 3.75788 | 3.62535 | 3.53% |
| 0.70 | 6.42312 | 6.03920 | 5.98% | 5.47859 | 5.19447 | 5.19% | 4.68869 | 4.48076 | 4.43% | 4.00886 | 3.85969 | 3.72% |
| 0.75 | 6.70620 | 6.29517 | 6.13% | 5.74965 | 5.44144 | 5.36% | 4.94458 | 4.71595 | 4.62% | 4.24695 | 4.08059 | 3.92% |
| 0.80 | 6.97550 | 6.53942 | 6.25% | 6.00597 | 5.67606 | 5.49% | 5.18581 | 4.93895 | 4.76% | 4.47116 | 4.29001 | 4.05% |
| 0.85 | 7.23746 | 6.77458 | 6.40% | 6.25419 | 5.90083 | 5.65% | 5.41888 | 5.15203 | 4.92% | 4.68762 | 4.48988 | 4.22% |
| 0.90 | 7.48665 | 7.00348 | 6.45% | 6.48944 | 6.11843 | 5.72% | 5.63933 | 5.35758 | 5.00% | 4.89219 | 4.68229 | 4.29% |
| 0.95 | 7.72688 | 7.22940 | 6.44% | 6.71596 | 6.33184 | 5.72% | 5.85159 | 5.55827 | 5.01% | 5.08928 | 4.86956 | 4.32% |
| 1.00 | 7.96241 | 7.45611 | 6.36% | 6.93649 | 6.54446 | 5.65% | 6.05715 | 5.75710 | 4.95% | 5.27941 | 5.05431 | 4.26% |
| 1.05 | 8.19399 | 7.68638 | 6.19% | 7.15247 | 6.75893 | 5.50% | 6.25789 | 5.95656 | 4.82% | 5.46473 | 5.23881 | 4.13% |
| 1.10 | 8.41581 | 7.90580 | 6.06% | 7.35945 | 6.96305 | 5.39% | 6.45045 | 6.14625 | 4.72% | 5.64269 | 5.41421 | 4.05% |
| 1.15 | 8.63702 | 8.11590 | 6.03% | 7.56395 | 7.15845 | 5.36% | 6.63922 | 6.32783 | 4.69% | 5.81602 | 5.58218 | 4.02% |
| 1.20 | 8.84162 | 8.31474 | 5.96% | 7.75318 | 7.34247 | 5.30% | 6.81401 | 6.49814 | 4.64% | 5.97665 | 5.73914 | 3.97% |
| 1.25 | 9.04629 | 8.50422 | 5.99% | 7.94065 | 7.51722 | 5.33% | 6.98572 | 6.65936 | 4.67% | 6.13329 | 5.88737 | 4.01% |
| 1.30 | 9.24564 | 8.68501 | 6.06% | 8.12217 | 7.68333 | 5.40% | 7.15110 | 6.81212 | 4.74% | 6.28343 | 6.02737 | 4.08% |
| 1.35 | 9.43944 | 8.85694 | 6.17% | 8.29731 | 7.84035 | 5.51% | 7.30956 | 6.95572 | 4.84% | 6.42638 | 6.15833 | 4.17% |
| 1.40 | 9.62328 | 9.02641 | 6.20% | 8.46280 | 7.99391 | 5.54% | 7.45874 | 7.09513 | 4.87% | 6.56049 | 6.28459 | 4.21% |
| 1.45 | 9.81059 | 9.21031 | 6.12% | 8.63035 | 8.15892 | 5.46% | 7.60888 | 7.24348 | 4.80% | 6.69471 | 6.41769 | 4.14% |
| 1.50 | 9.97924 | 9.38764 | 5.93% | 8.78042 | 8.31719 | 5.28% | 7.74270 | 7.38509 | 4.62% | 6.81377 | 6.54410 | 3.96% |
| 1.55 | 10.14910 | 9.55895 | 5.81% | 8.93087 | 8.46936 | 5.17% | 7.87621 | 7.52053 | 4.52% | 6.93199 | 6.66444 | 3.86% |
| 1.60 | 10.31880 | 9.72480 | 5.76% | 9.08031 | 8.61598 | 5.11% | 8.00809 | 7.65045 | 4.47% | 7.04814 | 6.77929 | 3.81% |
| 1.65 | 10.48420 | 9.88568 | 5.71% | 9.22510 | 8.75754 | 5.07% | 8.13516 | 7.77528 | 4.42% | 7.15943 | 6.88916 | 3.78% |
| 1.70 | 10.64410 | 10.04201 | 5.66% | 9.36437 | 8.89454 | 5.02% | 8.25672 | 7.89556 | 4.37% | 7.26532 | 6.99453 | 3.73% |
| 1.75 | 10.79650 | 10.19424 | 5.58% | 9.49669 | 9.02739 | 4.94% | 8.37188 | 8.01174 | 4.30% | 7.36532 | 7.09587 | 3.66% |
| 1.80 | 10.95090 | 10.34277 | 5.55% | 9.62994 | 9.15649 | 4.92% | 8.48708 | 8.12413 | 4.28% | 7.46471 | 7.19350 | 3.63% |
| 1.85 | 11.10040 | 10.48793 | 5.52% | 9.75861 | 9.28214 | 4.88% | 8.59804 | 8.23307 | 4.24% | 7.56017 | 7.28769 | 3.60% |
| 1.90 | 11.23820 | 10.63009 | 5.41% | 9.87654 | 9.40468 | 4.78% | 8.69911 | 8.33884 | 4.14% | 7.64657 | 7.37872 | 3.50% |
| 1.95 | 11.37910 | 10.77126 | 5.34% | 9.99668 | 9.52587 | 4.71% | 8.80176 | 8.44299 | 4.08% | 7.73404 | 7.46794 | 3.44% |
| 2.00 | 11.52030 | 10.91273 | 5.27% | 10.11640 | 9.64680 | 4.64% | 8.90339 | 8.54649 | 4.01% | 7.82005 | 7.55621 | 3.37% |
| Energy (MeV) | Zeff | ||||||
|---|---|---|---|---|---|---|---|
| PC-Bi2O3 wt% | |||||||
| 0% | 5% | 10% | 20% | 30% | 40% | 50% | |
| 0.1 | 11.35382 | 19.29335 | 23.55752 | 29.15661 | 33.35804 | 37.05912 | 40.55943 |
| 0.15 | 10.87042 | 16.63430 | 21.07820 | 27.46215 | 32.24854 | 36.37394 | 40.21914 |
| 0.2 | 10.70026 | 14.39441 | 17.95276 | 24.29631 | 29.59574 | 34.24601 | 38.55636 |
| 0.25 | 10.62638 | 13.10791 | 15.69913 | 20.99781 | 26.21363 | 31.17795 | 35.94044 |
| 0.3 | 10.58977 | 12.40470 | 14.33301 | 18.52490 | 23.10089 | 27.90935 | 32.86597 |
| 0.35 | 10.56876 | 11.97727 | 13.50051 | 16.87030 | 20.72968 | 25.07236 | 29.86513 |
| 0.4 | 10.55574 | 11.71610 | 12.95348 | 15.76420 | 19.03224 | 22.86361 | 27.28675 |
| 0.45 | 10.54807 | 11.54008 | 12.60329 | 15.00345 | 17.84653 | 21.22975 | 25.25100 |
| 0.5 | 10.54304 | 11.41588 | 12.35222 | 14.47573 | 16.99372 | 20.01411 | 23.69182 |
| 0.55 | 10.53723 | 11.32242 | 12.16448 | 14.08286 | 16.37336 | 19.12569 | 22.50555 |
| 0.6 | 10.53438 | 11.25084 | 12.01780 | 13.78165 | 15.88193 | 18.41867 | 21.54421 |
| 0.65 | 10.53119 | 11.19369 | 11.90808 | 13.54577 | 15.49857 | 17.85468 | 20.78446 |
| 0.7 | 10.52890 | 11.15008 | 11.82536 | 13.36086 | 15.19569 | 17.42795 | 20.18178 |
| 0.75 | 10.52695 | 11.11416 | 11.75679 | 13.20689 | 14.94703 | 17.06603 | 19.69079 |
| 0.8 | 10.52552 | 11.08539 | 11.70145 | 13.08272 | 14.75495 | 16.78125 | 19.29234 |
| 0.85 | 10.52439 | 11.06131 | 11.65513 | 12.97922 | 14.59154 | 16.54098 | 18.95319 |
| 0.9 | 10.52345 | 11.04123 | 11.61642 | 12.89797 | 14.45406 | 16.33817 | 18.67776 |
| 0.95 | 10.52263 | 11.02365 | 11.58229 | 12.82640 | 14.33264 | 16.15801 | 18.43245 |
| 1 | 10.52200 | 11.00913 | 11.55429 | 12.76713 | 14.23135 | 16.00824 | 18.22736 |
| 1.05 | 10.52138 | 10.99676 | 11.52961 | 12.71507 | 14.14344 | 15.88412 | 18.04725 |
| 1.1 | 10.52091 | 10.98628 | 11.50758 | 12.66838 | 14.06336 | 15.77211 | 17.89013 |
| 1.15 | 10.52060 | 10.97797 | 11.48977 | 12.63043 | 13.99911 | 15.68124 | 17.76436 |
| 1.2 | 10.52050 | 10.97078 | 11.47437 | 12.59738 | 13.94562 | 15.60087 | 17.65304 |
| 1.25 | 10.52062 | 10.96537 | 11.46238 | 12.57132 | 13.90396 | 15.53763 | 17.56477 |
| 1.3 | 10.52099 | 10.96135 | 11.45323 | 12.55095 | 13.87060 | 15.48698 | 17.49407 |
| 1.35 | 10.52155 | 10.95866 | 11.44669 | 12.53596 | 13.84599 | 15.44927 | 17.44093 |
| 1.4 | 10.52229 | 10.95681 | 11.44179 | 12.52428 | 13.82658 | 15.41923 | 17.39862 |
| 1.45 | 10.52320 | 10.95581 | 11.43857 | 12.51606 | 13.81238 | 15.39702 | 17.36708 |
| 1.5 | 10.52423 | 10.95560 | 11.43684 | 12.51091 | 13.80342 | 15.38253 | 17.34551 |
| 1.55 | 10.52544 | 10.95600 | 11.43631 | 12.50817 | 13.79797 | 15.37327 | 17.33154 |
| 1.6 | 10.52679 | 10.95700 | 11.43695 | 12.50782 | 13.79625 | 15.36952 | 17.32507 |
| 1.65 | 10.52831 | 10.95859 | 11.43864 | 12.50963 | 13.79815 | 15.37105 | 17.32556 |
| 1.7 | 10.52996 | 10.96066 | 11.44129 | 12.51338 | 13.80282 | 15.37671 | 17.33183 |
| 1.75 | 10.53171 | 10.96296 | 11.44434 | 12.51787 | 13.80862 | 15.38397 | 17.34022 |
| 1.8 | 10.53365 | 10.96589 | 11.44845 | 12.52441 | 13.81777 | 15.39608 | 17.35497 |
| 1.85 | 10.53565 | 10.96893 | 11.45282 | 12.53145 | 13.82754 | 15.40910 | 17.37104 |
| 1.9 | 10.53778 | 10.97231 | 11.45776 | 12.53957 | 13.83882 | 15.42430 | 17.39003 |
| 1.95 | 10.54011 | 10.97604 | 11.46323 | 12.54860 | 13.85163 | 15.44160 | 17.41172 |
| 2 | 10.54249 | 10.98013 | 11.46940 | 12.55908 | 13.86670 | 15.46222 | 17.43783 |
| Energy (MeV) | Neff (×1023 Electrons g−1) | ||||||
|---|---|---|---|---|---|---|---|
| PC-Bi2O3 wt % | |||||||
| 0% | 5% | 10% | 20% | 30% | 40% | 50% | |
| 0.1 | 3.18135 | 5.19805 | 6.09298 | 6.91258 | 7.18955 | 7.18831 | 6.99288 |
| 0.15 | 3.04590 | 4.48164 | 5.45172 | 6.51085 | 6.95042 | 7.05541 | 6.93421 |
| 0.2 | 2.99822 | 3.87816 | 4.64335 | 5.76028 | 6.37867 | 6.64266 | 6.64753 |
| 0.25 | 2.97752 | 3.53156 | 4.06047 | 4.97826 | 5.64974 | 6.04755 | 6.19652 |
| 0.3 | 2.96726 | 3.34209 | 3.70713 | 4.39197 | 4.97886 | 5.41354 | 5.66645 |
| 0.35 | 2.96137 | 3.22693 | 3.49181 | 3.99969 | 4.46780 | 4.86325 | 5.14907 |
| 0.4 | 2.95772 | 3.15657 | 3.35032 | 3.73745 | 4.10196 | 4.43483 | 4.70453 |
| 0.45 | 2.95558 | 3.10915 | 3.25975 | 3.55709 | 3.84640 | 4.11791 | 4.35354 |
| 0.5 | 2.95417 | 3.07568 | 3.19481 | 3.43197 | 3.66260 | 3.88211 | 4.08472 |
| 0.55 | 2.95254 | 3.05051 | 3.14625 | 3.33883 | 3.52890 | 3.70979 | 3.88020 |
| 0.6 | 2.95174 | 3.03122 | 3.10831 | 3.26742 | 3.42298 | 3.57265 | 3.71445 |
| 0.65 | 2.95085 | 3.01582 | 3.07994 | 3.21149 | 3.34036 | 3.46325 | 3.58346 |
| 0.7 | 2.95020 | 3.00407 | 3.05854 | 3.16765 | 3.27508 | 3.38048 | 3.47956 |
| 0.75 | 2.94966 | 2.99439 | 3.04081 | 3.13115 | 3.22148 | 3.31028 | 3.39490 |
| 0.8 | 2.94926 | 2.98664 | 3.02650 | 3.10171 | 3.18009 | 3.25504 | 3.32621 |
| 0.85 | 2.94894 | 2.98016 | 3.01451 | 3.07717 | 3.14487 | 3.20843 | 3.26773 |
| 0.9 | 2.94868 | 2.97475 | 3.00450 | 3.05791 | 3.11524 | 3.16910 | 3.22025 |
| 0.95 | 2.94845 | 2.97001 | 2.99567 | 3.04094 | 3.08907 | 3.13415 | 3.17795 |
| 1 | 2.94827 | 2.96610 | 2.98843 | 3.02689 | 3.06724 | 3.10510 | 3.14259 |
| 1.05 | 2.94810 | 2.96276 | 2.98205 | 3.01455 | 3.04829 | 3.08102 | 3.11154 |
| 1.1 | 2.94797 | 2.95994 | 2.97635 | 3.00348 | 3.03103 | 3.05930 | 3.08445 |
| 1.15 | 2.94788 | 2.95770 | 2.97174 | 2.99448 | 3.01718 | 3.04167 | 3.06277 |
| 1.2 | 2.94785 | 2.95577 | 2.96776 | 2.98664 | 3.00565 | 3.02608 | 3.04357 |
| 1.25 | 2.94788 | 2.95431 | 2.96466 | 2.98047 | 2.99667 | 3.01381 | 3.02836 |
| 1.3 | 2.94799 | 2.95322 | 2.96229 | 2.97564 | 2.98948 | 3.00399 | 3.01617 |
| 1.35 | 2.94814 | 2.95250 | 2.96060 | 2.97209 | 2.98418 | 2.99667 | 3.00700 |
| 1.4 | 2.94835 | 2.95200 | 2.95933 | 2.96931 | 2.98000 | 2.99085 | 2.99971 |
| 1.45 | 2.94861 | 2.95173 | 2.95850 | 2.96737 | 2.97694 | 2.98654 | 2.99427 |
| 1.5 | 2.94890 | 2.95167 | 2.95806 | 2.96615 | 2.97501 | 2.98373 | 2.99055 |
| 1.55 | 2.94923 | 2.95178 | 2.95792 | 2.96550 | 2.97383 | 2.98193 | 2.98814 |
| 1.6 | 2.94961 | 2.95205 | 2.95808 | 2.96541 | 2.97346 | 2.98121 | 2.98703 |
| 1.65 | 2.95004 | 2.95248 | 2.95852 | 2.96584 | 2.97387 | 2.98150 | 2.98711 |
| 1.7 | 2.95050 | 2.95304 | 2.95921 | 2.96673 | 2.97488 | 2.98260 | 2.98819 |
| 1.75 | 2.95099 | 2.95366 | 2.95999 | 2.96780 | 2.97613 | 2.98401 | 2.98964 |
| 1.8 | 2.95154 | 2.95445 | 2.96106 | 2.96935 | 2.97810 | 2.98636 | 2.99218 |
| 1.85 | 2.95209 | 2.95527 | 2.96219 | 2.97101 | 2.98021 | 2.98888 | 2.99496 |
| 1.9 | 2.95269 | 2.95618 | 2.96347 | 2.97294 | 2.98264 | 2.99183 | 2.99823 |
| 1.95 | 2.95335 | 2.95718 | 2.96488 | 2.97508 | 2.98540 | 2.99519 | 3.00197 |
| 2 | 2.95401 | 2.95828 | 2.96648 | 2.97757 | 2.98864 | 2.99919 | 3.00647 |
| Element | Weight Fraction | ΣR/ρ (cm2/g) | Partial Density (g/cm3) | ΣR (cm−1) Calculation | ΣR (cm−1) Genat4 | Diff% |
|---|---|---|---|---|---|---|
| PC-Bi2O3 (0%) | ||||||
| C (Carbon) | 0.279420 | 0.050187 | 0.321333 | 0.016127 | 0.035317 | 8.40% |
| P (Phosphorus) | 0.720580 | 0.027066 | 0.828667 | 0.022429 | ||
| 0.038556 | ||||||
| PC-Bi2O3 (5%) | ||||||
| C (Carbon) | 0.265449 | 0.050187 | 0.315884 | 0.015853 | 0.035329 | 8.71% |
| O (Oxygen) | 0.005150 | 0.040528 | 0.006129 | 0.000248 | ||
| P (Phosphorus) | 0.684551 | 0.027066 | 0.814616 | 0.022048 | ||
| Bi (Bismuth) | 0.044850 | 0.010295 | 0.053371 | 0.000549 | ||
| 0.038699 | ||||||
| PC-Bi2O3 (10%) | ||||||
| C (Carbon) | 0.251478 | 0.050187 | 0.311833 | 0.015650 | 0.036066 | 7.71% |
| O (Oxygen) | 0.010301 | 0.040528 | 0.012773 | 0.000518 | ||
| P (Phosphorus) | 0.648522 | 0.027066 | 0.804167 | 0.021765 | ||
| Bi (Bismuth) | 0.089699 | 0.010295 | 0.111227 | 0.001145 | ||
| 0.039078 | ||||||
| PC-Bi2O3 (20%) | ||||||
| C (Carbon) | 0.223536 | 0.050187 | 0.304009 | 0.015257 | 0.038126 | 4.98% |
| O (Oxygen) | 0.020602 | 0.040528 | 0.028019 | 0.001136 | ||
| P (Phosphorus) | 0.576464 | 0.027066 | 0.783991 | 0.021219 | ||
| Bi (Bismuth) | 0.179398 | 0.010295 | 0.243981 | 0.002512 | ||
| 0.040124 | ||||||
| PC-Bi2O3 (30%) | ||||||
| C (Carbon) | 0.195594 | 0.050187 | 0.301215 | 0.015117 | 0.040868 | 3.74% |
| O (Oxygen) | 0.030903 | 0.040528 | 0.04759 | 0.001929 | ||
| P (Phosphorus) | 0.504406 | 0.027066 | 0.776785 | 0.021024 | ||
| Bi (Bismuth) | 0.269097 | 0.010295 | 0.414409 | 0.004266 | ||
| 0.042336 | ||||||
| PC-Bi2O3 (40%) | ||||||
| C (Carbon) | 0.167652 | 0.050187 | 0.291714 | 0.014640 | 0.042375 | 4.42% |
| O (Oxygen) | 0.041204 | 0.040528 | 0.071695 | 0.002906 | ||
| P (Phosphorus) | 0.432348 | 0.027066 | 0.752286 | 0.020361 | ||
| Bi (Bismuth) | 0.358796 | 0.010295 | 0.624305 | 0.006427 | ||
| 0.044334 | ||||||
| PC-Bi2O3 (50%) | ||||||
| C (Carbon) | 0.139710 | 0.050187 | 0.275229 | 0.013813 | 0.046089 | 0.31% |
| O (Oxygen) | 0.051505 | 0.040528 | 0.101464 | 0.004112 | ||
| P (Phosphorus) | 0.360290 | 0.027066 | 0.709771 | 0.019210 | ||
| Bi (Bismuth) | 0.448495 | 0.010295 | 0.883535 | 0.009096 | ||
| 0.046231 | ||||||
| PC wt % | Bi2O3 wt % | 0.5 mm-Lead-Equivalent Thickness (cm) |
|---|---|---|
| 100 | 0 | 0.907391 |
| 95 | 5 | 0.843263 |
| 90 | 10 | 0.779371 |
| 80 | 20 | 0.661724 |
| 70 | 30 | 0.546770 |
| 60 | 40 | 0.454661 |
| 50 | 50 | 0.378681 |
| Air | Pb | PC-Bi2O3 wt % | |||||||
|---|---|---|---|---|---|---|---|---|---|
| 0% | 5% | 10% | 20% | 30% | 40% | 50% | |||
| Head | 6.32000 | 7.46590 | 7.33951 | 7.53072 | 7.61248 | 9.55394 | 7.49214 | 7.25332 | 8.18214 |
| Trunk | 1119.68 | 1109.81 | 1051.73 | 1046.49 | 1058.09 | 1030.42 | 1030.02 | 1035.96 | 1028.44 |
| BODY | 1432.98 | 1428.78 | 1341.16 | 1343.52 | 1352.23 | 1334.79 | 1319.8 | 1330.9 | 1330.86 |
Publisher’s Note: MDPI stays neutral with regard to jurisdictional claims in published maps and institutional affiliations. |
© 2022 by the author. Licensee MDPI, Basel, Switzerland. This article is an open access article distributed under the terms and conditions of the Creative Commons Attribution (CC BY) license (https://creativecommons.org/licenses/by/4.0/).
Share and Cite
Akhdar, H. Theoretical Investigation of Fast Neutron and Gamma Radiation Properties of Polycarbonate-Bismuth Oxide Composites Using Geant4. Nanomaterials 2022, 12, 3577. https://doi.org/10.3390/nano12203577
Akhdar H. Theoretical Investigation of Fast Neutron and Gamma Radiation Properties of Polycarbonate-Bismuth Oxide Composites Using Geant4. Nanomaterials. 2022; 12(20):3577. https://doi.org/10.3390/nano12203577
Chicago/Turabian StyleAkhdar, Hanan. 2022. "Theoretical Investigation of Fast Neutron and Gamma Radiation Properties of Polycarbonate-Bismuth Oxide Composites Using Geant4" Nanomaterials 12, no. 20: 3577. https://doi.org/10.3390/nano12203577
APA StyleAkhdar, H. (2022). Theoretical Investigation of Fast Neutron and Gamma Radiation Properties of Polycarbonate-Bismuth Oxide Composites Using Geant4. Nanomaterials, 12(20), 3577. https://doi.org/10.3390/nano12203577

