Next Article in Journal
Contrast Enhanced Ultrasound Molecular Imaging of Spontaneous Chronic Inflammatory Bowel Disease in an Interleukin-2 Receptor α−/− Transgenic Mouse Model Using Targeted Microbubbles
Next Article in Special Issue
An AI-Assisted and Self-Powered Smart Robotic Gripper Based on Eco-EGaIn Nanocomposite for Pick-and-Place Operation
Previous Article in Journal
Manipulation of Skyrmion Motion Dynamics for Logical Device Application Mediated by Inhomogeneous Magnetic Anisotropy
 
 
Due to scheduled maintenance work on our servers, there may be short service disruptions on this website between 11:00 and 12:00 CEST on March 28th.
Font Type:
Arial Georgia Verdana
Font Size:
Aa Aa Aa
Line Spacing:
Column Width:
Background:
Article

Graphene/Ferroelectric (Ge-Doped HfO2) Adaptable Transistors Acting as Reconfigurable Logic Gates

by
Mircea Dragoman
1,*,
Adrian Dinescu
1,
Daniela Dragoman
2,3,
Cătălin Palade
4,
Valentin Şerban Teodorescu
3,4 and
Magdalena Lidia Ciurea
3,4
1
National Institute for Research and Development in Microtechnology (IMT), Str. Erou Iancu Nicolae 126A, 077190 Voluntari, Romania
2
Faculty of Physics, Univ. of Bucharest, P.O. Box MG-11, 077125 Magurele, Romania
3
Academy of Romanian Scientists, Str. Ilfov 3, 050094 Bucharest, Romania
4
National Institute of Materials Physics, Str. Atomistilor 405 A, 077125 Magurele, Romania
*
Author to whom correspondence should be addressed.
Nanomaterials 2022, 12(2), 279; https://doi.org/10.3390/nano12020279
Submission received: 14 December 2021 / Revised: 7 January 2022 / Accepted: 15 January 2022 / Published: 17 January 2022
(This article belongs to the Special Issue Intelligent Nanomaterials and Nanosystems)

Abstract

:
We present an array of 225 field-effect transistors (FETs), where each of them has a graphene monolayer channel grown on a 3-layer deposited stack of 22 nm control HfO2/5 nm Ge-HfO2 intermediate layer/8 nm tunnel HfO2/p-Si substrate. The intermediate layer is ferroelectric and acts as a floating gate. All transistors have two top gates, while the p-Si substrate is acting as a back gate. We show that these FETs are acting memtransistors, working as two-input reconfigurable logic gates with memory, the type of the logic gate depending only on the values of the applied gate voltages and the choice of a threshold current.

1. Introduction

The memristor is a two-terminal nonlinear device with a hysteretic current–voltage dependence pinched at zero-voltage [1]. This hysteretic dependence rotates by sweeping the voltage a certain number of times, behavior that allows the memristor to memorize its previous state. Thus, a memristor is a non-volatile memory having an analogue behavior to a brain synapse since its conductance increases or decreases in time depending on the polarity of the applied voltage [2].
Memtransistors, on the other hand, are three-terminal memristor devices preserving all the above-mentioned physical properties of two-terminal memristors. They show a very low sneak-peak current when integrated in a crossbar array in comparison to two-terminal memristors [3], since the current in any memtransistor is controlled by one or several gates. A recent account about the physical principles and applications of memristors and memtransistors is found in [4].
The memtransistors hitherto reported are dominated by field-effect transistors (FETs) with MoS2 channels. The first reported MoS2 backgate memtransistor [5] shows memristive properties at a drain voltage of 80 V, which is too high for memory applications. This drain voltage value can decrease by up to 12 V by introducing top gate configurations [6] or using localized beam irradiation techniques [7]. Additionally, recent crossbar arrays of MoS2 memtransistors incorporating an array of 10 × 10 FETs [8,9] have been reported, paving the way for memtransistor applications in resistive memories and neuromorphic computation.
In all the above cases, the MoS2 channel has a thickness of 2–9 monolayers and a polycrystalline structure. The memristive effects are due solely to the modulation of the Schottky barrier at the drain and source terminals as a result of sulfur vacancy defects migration. Because the MoS2 memtransistors are based on the migration of sulfur defects and grain boundaries, their electrical properties are not reproducible from one device to another, since the distribution of such defects and boundaries are random and cannot be easily controlled. Therefore, we have adopted another solution for the conception and fabrication of memtransistors based on a ferroelectric FET, with a graphene monolayer channel [10,11] transferred onto a HfO2/Ge-HfO2/HfO2 ferroelectric structure grown on Si at the wafer scale [12]. This ferroelectric memtransistor works at very low drain voltages compared with the above devices, e.g., in the range of −2 V to +2 V.
As mentioned above, the 3-layers-stack configuration below the graphene monolayer channel consists of control HfO2/Ge-HfO2 intermediate layer/tunnel HfO2/p-Si substrate, the intermediate layer having ferroelectric properties due to the combined effects of strain and doping induced by Ge quantum dots. Thus, due to the 5-nm-thick Ge-HfO2 layer, denoted further HfGeO thin film, we can have ferroelectricity and floating gate gathered in a single FET device, and can extend the fabrication of memtransistors at the wafer scale in a reproducible way. The floating gate is a classical and well-known solution for memory applications and transistor synapses [13], i.e., memtransistors.
As will be shown in the following, the three-gates configuration chosen for our graphene/HfGeO FETs, with two top gates and one backgate, allows for a single FET to act as several logic gates, depending on the voltages applied to the gates and the choice of current threshold. The study reported in this paper is thus at the forefront of the search for new transistor configurations, which guarantee that a single FET acts as a reconfigurable logic gate depending on the encoding of input and output states in various sets of gate voltages and, respectively, drain current values. Note that the implementation of OR and AND logic gates using single FETs containing a few monolayers of MoS2 flakes as channel and controlled by dual gates positioned as top- and backgates [14] (or two top gates [15]), has been demonstrated. In contrast, in the CMOS technology the basic logic gates are implemented using two FETs, and thus FETs having 2D material channels are able to reduce the footprint of transistors for implementation of digital logic gates. Additionally, if the gate dielectric is a ferroelectric, such as the polymer P(VDF-TrFE) [16], the memory and logic functions are taking place in the same device. All reconfigurable transistors based on 2D atomically thin materials flakes [17,18], or on CMOS technology [19], contain two or even three gates. We present below an array of 225 graphene/HfGeO FETs having two top gates and one backgate fabricated at wafer-scale. A single device functions as a reconfigurable logic gate.

2. Materials and Methods

The HfO2-based ferroelectric 3-layer thin film was prepared by magnetron sputtering deposition and consists of a stack of 22 nm control HfO2/5 nm Ge-HfO2 intermediate layer/8 nm tunnel HfO2/p-Si substrate (7–14 Ωcm). The growth procedure, the structural characterization of the 3-layer structure and PFM and DC measurements to evidence the ferroelectricity are reported in [12], and thus are not repeated here.
The HRTEM image of the thin film cross section, confirming the widths of the layers, is presented in Figure 1. The contrast in the image in Figure 1a is strongly correlated with the atomic Z number, and the white row in the Ge-HfO2 intermediate layer indicates the position of the high concentration of Ge atoms (including Ge dots). The contrast in the image in Figure 1b is mainly a phase contrast specific for HRTEM images. Here, we observe the presence of crystallographic correlation between the orthorhombic phase present in the mixed layer (HfO2o) and the monoclinic phase present in the control layer (HfO2m). Details of the origin of ferroelectric behaviour in the 3-layer stack can be found in [12].
Before device fabrication, the graphene monolayer was transferred by Graphenea, San Sebastian, Spain on a HfGeO/Si substrate with a dimension of 3 cm × 3 cm and Raman analysis was performed, telling us that about 85% of the wafer consists in graphene monolayers areas surrounded by grain boundaries where different types of graphene ranging from bilayers up to multilayers are found.
The fabrication of the graphene monolayer/HfGeO devices at the wafer level is performed following these steps: (a) alignment marks fabrication, implying patterning (resist-PMMA 950k C2) using e-beam lithography (Raith e_Line, 30 k) followed by Ti (5 nm)/Au (95 nm) metal deposition by e-beam evaporation (Temescal FC 2000, Livermore, CA, USA) and lift-off, (b) graphene shaping by patterning the graphene channel using e-beam lithography (resist PMMA 950k A2) and RIE in O2 plasma, (c) source and drain contacts fabrication by e-beam lithography patterning (resist PMMA 950 k C2) and Ti (5 nm) /Au (35 nm) deposition by e-beam evaporation followed by lift-off, (d) gate insulator deposition patterning by e-beam lithography of the 40-nm-thick HSQ-(hydrogen silsesquioxane) gate insulator and the fabrication of metallic gate contacts. The optical images corresponding to the above-mentioned fabrication steps are displayed in Figure 2, while Figure 3a,b show the optical images of a single graphene/HfGeO FET with two top gates and a backgate (doped Si) and, respectively, the optical image of a 225 graphene/HfGeO FET array.

3. Results

The electrical characterization of graphene FETs was performed at room temperature using a Keithley SCS 4200 station, Keithley Instruments, Solon, OH, USA. The probe station for wafer measurement is placed inside a Faraday cage, and all electrical channels are connected with low-noise amplifiers to the station. The probe station is equipped with mechanical devices dedicated to attenuate mechanical vibrations and shocks. We have not used any fitting algorithms during or after the measurements, so the results depicted below are the measurements collected directly from the above equipment.
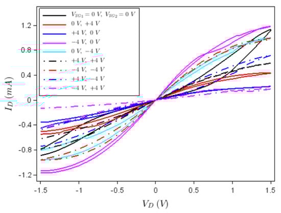
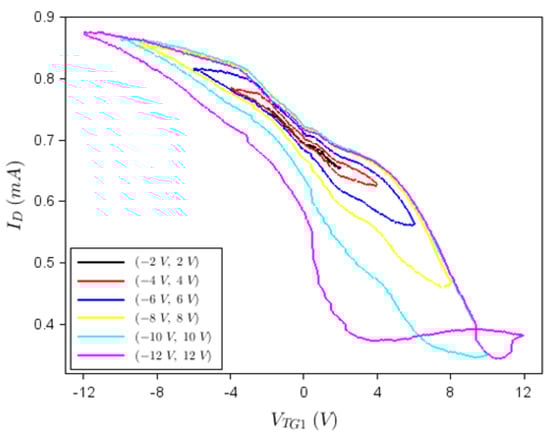
From the measured 225 transistors illustrated in the array in Figure 3b, 70% were found to work in a reproducible manner, the rest of them having various problems generated by bad metallic contacts, incomplete deposition and/or graphene defects; the measured errors of drain current versus drain voltage or gate voltage characteristics did not exceed 8%. A typical dependence of the drain current, ID, versus drain voltage, VD, at various top gate voltages, VTG1 and VTG2, is represented in Figure 4, while the back-gate voltage (VBG) is disconnected. In fact, Figure 4 shows that the device acts as a memtransistor due to the hysteretic clockwise behaviour of the IDVD dependence at various top gate voltage values, the current in the forward drain voltage sweep (from 0 to 1.5 V) being higher than in the backward direction sweep (from 1.5 V to 0). This hysteretic behaviour is due to the ferroelectric HfGeO layer, which act as floating gate. A confirmation of this fact and of the memtransitor-like behaviour of our device is the IDVTG1 dependence illustrated in Figure 5 and obtained by disconnecting the other gates; similar results were obtained by disconnecting any other two gates of the memtransistors.
Figure 5, which shows that the transistor has a non-volatile memory conferred by the ferroelectric HfGeO layer, can be explained by the existence of polarized dipoles in the floating gate that control the concentration of charge carriers in the graphene channel. These charge carriers are holes because the graphene channel is initially p-doped due to technological processes related to the PMMA resist for e-beam channel patterning; as a consequence, the Fermi level is well below the Dirac point. As the voltage applied on the top gate changes from the minimum, negative value to 0, the concentration of holes (and hence the drain current) decreases, while the polarization intensity also decreases, the electric dipoles in the ferroelectric being oriented vertically, from the surface of the device toward the backgate. As VTG1 increases from 0 to positive voltages, the polarization gradually decreases to 0 and eventually switches sign (the polarization does not vanish when VTG1 = 0 due to the residual polarization in the ferroelectric), while the concentration of holes in graphene (and ID) reduces. The drain current has still positive values since the Fermi level does not cross the Dirac point. At inversing the sweep direction of VTG1 from positive to negative values, the flow of charge carriers in the graphene channel occurs in a similar way (including the existence of the residual polarization when VTG1 = 0), except that the electrical dipoles in the ferroelectric are oriented in the opposite direction; a detailed explanation of the hysteretic behavior in Figure 5 can be found in [20].
The graphene monolayer/ferroelectric FET is a thus a voltage-controlled transistor with a ferroelectric floating gate, i.e., the drain current is controlled by the gate voltages applied up and down the channel. In the case of 2D monolayer materials, as in our case, the drain current is only a surface current, which can be effectively controlled by the top- and backgate voltages. On the other hand, the ferroelectric floating gate confers memory properties to the same transistor. Thus, we find in a single device two functionalities: reconfigurability of digital logic gates, which can be implemented, and non-volatility of these logic gates until new gate voltages are applied.
The working of the memristor as reconfigurable logic gate can be understood with respect to the ID–VD characteristics in Figure 4. In this sense, the gates are programmed to have the values +4 V, −4 V and 0 V. The input for a logical gate level is considered as logic “0” if 0 V is applied, irrespective of the gate type, the logic value 1 being attributed otherwise. The output is encoded in ID (in the forward direction) for a drain voltage of 1 V; if we consider as reference/threshold the drain current level when VTG1 = VTG2 = 0 V, the drain current value above this threshold is associated to logic value 1, while the value below it is defined as logic value 0. Then, we have the logic table displayed as Table 1; the threshold drain current values for the OR and AND gates are 0.5 mA, whereas for XOR the corresponding value is 0.4 mA. The output could alternatively be considered the drain resistance RD which, at a certain voltage, increases and decreases in the same way as ID. Thus, we can attribute to RD the same logical value as to ID and, hence, we can implement in the same way the AND, OR and XOR logic gates.
If we select the level (−4 V, +4 V) as 0 because it produces the lowest value of ID (below these gate voltages the transistor is OFF), we obtain a NAND gate, the functioning of which is detailed also in Table 1. For this logic gate, the threshold value for ID is 20 μA. NAND is a universal gate, in terms of which any logical gate or function can be expressed, and thus it is very important to implement this gate. All these results are obtained for two logical inputs (top gates) and one logical output–the drain current. Other logic gates can be implemented in a similar manner.
Note that the reprogrammability of logic gates is entirely determined by the applied top- and/or backgate voltages, which impose the potential landscape throughout the ferroelectric layers. As such, whenever a gate voltage changes, the potential and hence the charge stored in the floating gate layer also changes. The role of the floating gate is to maintain the logic/charging state of the device between instants in which different signals are applied.
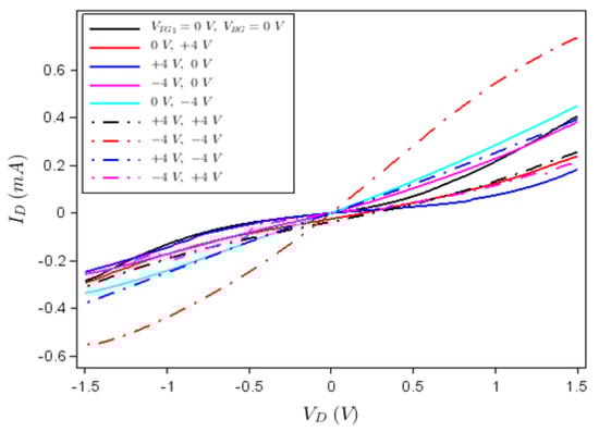
Analogous results are obtained using a back gate and a top gate, for example VTG1 and VBG, while the other top gate is disconnected. The ID–VD dependence at various backgate voltages is shown in Figure 6 in the forward direction only, for simplicity. In this case, if we consider the drain current value at a certain drain voltage at VTG1 = VBG = 0 V as 0 logic, we can configure various logic gates as in the examples above. In principle, the 3-gate configuration of our FETs could allow for the implementation of reconfigurable logic gates having 3 inputs encoded in various gate voltage values. However, our experimental set-up has only four terminals, so that we could not simultaneously apply voltages on all 3 gates. The introduction of an additional terminal and voltage source would destroy the calibration of the apparatus.
Figure 7a,b show the behaviour of ID in time for a positive (+1 V) and a negative (−1 V) drain voltage, respectively, at various voltage sweeps denoted by 1, 2, etc. We see that when a positive voltage is applied, the current increases and the conductance decreases, while the opposite occurs when the sign of the drain voltage is reversed. This is the typical behaviour of an electronic synapse, where the decreasing of conductance is attributed to potentiation, while the conductance increase is attributed to synapse depression [21,22].
A comparison of our results with similar results obtained for a dual-gate memtransistor having MoS2 as channel instead of graphene monolayer [8] is presented in Table 2. The parameters taken into account are the maximum drain current, ID,max, the maximum voltage values for the top and back gates, VTG,max and VBG,max, the maximum drain voltage, VD,max, the on–off ratio, and the memory window.
From Table 2, it follows that the memtransistors reported here and based on graphene have improved performances except for the on/off ratio. The on/off ratio in memtransistors with MoS2 channel is higher because MoS2 is a semiconductor with a bandgap of 1.3 eV, while suspended graphene is a zero-bandgap semiconductor, in which a bandgap of 0.3 eV is induced by the ferroelectric substrate (see Ref. [12] and the references therein). On the other hand, all other parameters reported in Table 2 are better compared to those in MoS2 memtransistors, since the growth and subsequent transfer of graphene on various substrates at the wafer scale is made industrially [23], while in the case of MoS2 these procedures are in infancy. Moreover, the fabrication procedures of graphene devices are more advanced compared to devices based on MoS2. Thus, a better control of growth, transfer and fabrication technologies reduces the number of defects in the graphene channel of memtransistors.

4. Conclusions

We have shown that a three-gate field-effect transistor having as channel a graphene monolayer transferred over the ferroelectric structure HfO2/Ge-HfO2/HfO2 and fabricated at the wafer level is acting as a memtransistor. This single transistor is able to perform various basic 2-input digital logic gates, including universal gates. The type of the gate is programmed by the values of the gate voltages and of the threshold drain current. Recently, it was shown that a FET having a 2D semiconductor as channel and a top and a bottom gate is able to perform OR and AND operation when the channel was a few-layer MoS2 and XOR when the channel was WSe2 [24]. These FETs are termed as neuristors, since a single device is able to perform logical operations such as OR, AND and XOR, like a single cortex neuron [25]. However, the analogy with a neuron is incomplete since these neuristors have no memory, while in a neuron the memory and the various operations are performed in the same place [26].
In the devices reported in this manuscript, the memory and logical gates are located in the same device. However, we consider that the analogy between a transistor and a neuron is in its infancy, since the neuron has thousands of synapses connected to it and thus the advancement of solid-state intelligent matter [27] is at the beginning. Moreover, very recently, transistors such as those in this paper, able to perform different logical tasks as programmed, were referred to as adaptable or intelligent transistors [28]. Thus, our work could be an important step towards the development of artificial intelligence, which requires the fast adaptability of electron devices to various tasks.

Author Contributions

Conceptualization, M.D., D.D., A.D., C.P., M.L.C.; Validation, M.D., A.D., D.D., C.P., V.Ş.T., M.L.C.; Writing, M.D., A.D., D.D., C.P., V.Ş.T., M.L.C. All authors have read and agreed to the published version of the manuscript.

Funding

This work was supported by UEFISCDI, project number PN-III-P4-ID-PCCF-2016-0033 “Grapheneferro”.

Data Availability Statement

Data presented in this paper could be made available upon request.

Conflicts of Interest

The authors declare no conflict of interest.

References

  1. Chua, L. If It’s Pinched It’s a Memristor. In Memristors and Memristive Systems; Tetzlaff, R., Ed.; Springer: New York, NY, USA, 2014; pp. 17–90. [Google Scholar]
  2. Jo, S.H.; Chang, T.; Ebong, I.; Bhadviya, B.B.; Mazumder, P.; Lu, W. Nanoscale memristor device as synapse in neuromorphic systems. Nano Lett. 2010, 10, 1297–1301. [Google Scholar] [CrossRef]
  3. Zidan, M.A.; Fahmy, H.A.H.; Hussain, M.M.; Salama, K.N. Memristor-based memory: The sneak paths problem and solutions. Microelectron. J. 2013, 44, 176–183. [Google Scholar] [CrossRef] [Green Version]
  4. Dragoman, M.; Dragoman, D. Electronics at Atomic Scale beyond CMOS; Springer: Cham, Switzerland, 2021. [Google Scholar]
  5. Sangwan, V.K.; Lee, H.-S.; Bergeron, H.; Balla, I.; Beck, M.E.; Chen, K.-S.; Hersam, M.C. Multi-terminal memtransistors from polycrystalline monolayer molybdenum disulphide. Nature 2018, 554, 500–504. [Google Scholar] [CrossRef] [PubMed]
  6. Wang, L.; Liao, W.; Wong, S.L.; Yu, Z.G.; Li, S.; Lim, Y.-F.; Feng, X.; Tan, W.C.; Huang, X.; Chen, L.; et al. Artificial synapses based on multiterminal memtransistors for neuromorphic application. Adv. Funct. Mater. 2019, 29, 1901106. [Google Scholar] [CrossRef]
  7. Jadwiszczak, J.; Keane, D.; Maguire, P.; Cullen, C.P.; Zhou, Y.; Song, H.; Downing, C.; Fox, D.; McEvoy, N.; Zhu, R.; et al. MoS2 memtransistors fabricated by localized helium ion beam irradiation. ACS Nano 2019, 13, 14262–14273. [Google Scholar] [CrossRef] [PubMed]
  8. Lee, H.-S.; Sangwan, V.K.; Gaviria Rojas, W.A.; Bergeron, H.; Jeong, H.Y.; Yuan, J.; Su, K.; Hersam, M.C. Dual-gated MoS2 memtransistor crossbar array. Adv. Funct. Mater. 2020, 30, 2003683. [Google Scholar] [CrossRef]
  9. Feng, X.; Li, S.; Wong, S.L.; Tong, S.; Chen, L.; Zhang, P.; Wang, L.; Fong, X.; Chi, D.; Ang, K.-W. Self-selective multi-terminal memtransistor crossbar array for in-memory computing. ACS Nano 2021, 15, 1764–1774. [Google Scholar] [CrossRef]
  10. Castro Neto, A.H.; Guinea, F.; Peres, N.M.R.; Novoselov, K.S.; Geim, A.K. The electronic properties of grapheme. Rev. Mod. Phys. 2009, 81, 109–162. [Google Scholar] [CrossRef] [Green Version]
  11. Marconcini, P.; Macucci, M. The k.p method and its application to graphene, carbon nanotubes and graphene nanoribbons: The Dirac equation. Riv. Nuovo Cim. 2011, 34, 489–584. [Google Scholar]
  12. Dragoman, M.; Dinescu, A.; Dragoman, D.; Palade, C.; Moldovan, A.; Dinescu, M.; Teodorescu, V.S.; Ciurea, M.L. Wafer-scale graphene-ferroelectric HfO2/Ge-HfO2/HfO2 transistors acting as three-terminal memristors. Nanotechnology 2020, 31, 495207. [Google Scholar] [CrossRef]
  13. Diorio, C.; Hasler, P.; Minch, A.; Mead, C.A. A single-transistor silicon synapse. IEEE Trans. Electron Dev. 1996, 43, 1972–1980. [Google Scholar] [CrossRef] [Green Version]
  14. Liu, C.; Chen, H.; Hou, X.; Zhang, H.; Han, J.; Jiang, Y.-G.; Zeng, X.; Zhang, D.W.; Zhou, P. Small footprint transistor architecture for photoswitching logic and in situ memory. Nat. Nanotechnol. 2019, 14, 662–667. [Google Scholar] [CrossRef]
  15. Liu, L.; Hou, X.; Zhang, H.; Wang, J.; Zhou, P. Ferroelectric field-effect transistors for logic and in-situ memory applications. Nanotechnology 2020, 31, 424007. [Google Scholar] [CrossRef]
  16. Resta, G.V.; Balaji, Y.; Linn, D.; Radu, I.P.; Catthoor, F.; Gaillardon, P.-E.; De Micheli, G. Doping-free complementary logic gates enabled by two-dimensional polarity-controllable transistors. ACS Nano 2018, 12, 7039–7047. [Google Scholar] [CrossRef] [PubMed]
  17. Pan, C.; Wang, C.-Y.; Liang, S.-J.; Wang, Y.; Cao, T.; Wang, P.; Wang, C.; Wang, S.; Chen, B.; Gao, A.; et al. Reconfigurable logic and neuromorphic circuits based on electrically tunable two-dimensional homojunctions. Nat. Electron. 2020, 3, 383–390. [Google Scholar] [CrossRef]
  18. Bas, J.-H.; Kim, H.; Kwon, D.; Lim, S.; Lee, S.-T.; Park, B.G.; Lee, J.-H. Reconfigurable field-effect transistor as a synaptic device for XNOR binary neural network. IEEE Electron Dev. Lett. 2019, 40, 624–627. [Google Scholar]
  19. Ielmini, D.; Ambrogio, S. Emerging neuromorphic devices. Nanotechnology 2020, 31, 092001. [Google Scholar] [CrossRef] [PubMed]
  20. Yue, H.; Hu, A.; Liu, Q.; Guo, X. Graphene probe to explore the surface polarization in SrTiO3 without damage. Appl. Phys. Lett. 2021, 119, 071604. [Google Scholar] [CrossRef]
  21. Kuzum, D.; Yu, S.; Wong, H.S. Synaptic electronics: Materials, devices and applications. Nanotechnology 2013, 24, 82001. [Google Scholar] [CrossRef]
  22. Maan, A.K.; Jayadevi, D.A.; James, A.P. A survey of memristive threshold logic circuits. IEEE Trans. Neural Netw. Learn. Syst. 2017, 28, 1734–1746. [Google Scholar] [CrossRef] [Green Version]
  23. Jia, K.; Zhang, J.; Zhu, S.L.; Li, L.; Liu, Z. Toward the commercialization of chemical vapor deposition graphene films. Appl. Phys. Rev. 2021, 8, 041306. [Google Scholar] [CrossRef]
  24. Chen, H.; Xue, X.; Liu, C.; Fang, J.; Wang, Z.; Wang, J.; Zhang, D.W.; Hu, W.; Zhou, P. Logic gates based on neuristors made from two-dimensional materials. Nat. Electron. 2021, 4, 399–404. [Google Scholar] [CrossRef]
  25. Gidon, A.; Zolnik, T.A.; Fidzinski, P.; Bolduan, F.; Papoutsi, A.; Poirazi, P.; Holtkamp, M.; Vida, I.; Larkum, M.E. Dendritic action potentials and computation in human layer 2/3 cortical neurons. Science 2020, 367, 83–87. [Google Scholar] [CrossRef] [PubMed]
  26. Marković, D.; Mizrahi, A.; Querlioz, D.; Grollier, J. Physics for neuromorphic computing. Nat. Rev. Phys. 2020, 2, 499–510. [Google Scholar] [CrossRef]
  27. Kaspar, C.; Ravoo, B.J.; van der Wiel, W.G.; Wegner, S.V.; Pernice, W.H.P. The rise of intelligent matter. Nature 2021, 594, 345–355. [Google Scholar] [CrossRef] [PubMed]
  28. Sistani, M.; Böckle, R.; Falkensteiner, D.; Luong, M.A.; den Hertog, M.I.; Lugstein, A.; Weber, W.M. Nanometer-scale Ge-based adaptable transistors providing programmable negative differential resistance enabling multivalued logic. ACS Nano 2021, 15, 18135–18141. [Google Scholar] [CrossRef] [PubMed]
Figure 1. Cross section XTEM high resolution images of HfO2-based ferroelectric 3-layer structure; (a) image taken in the thick area of the XTEM specimen, revealing the region with high Ge concentration and (b) a similar image of a very thin area of the specimen revealing crystallization alignment of the HfO2 nanocrystallites in the 3-layer structure.
Figure 1. Cross section XTEM high resolution images of HfO2-based ferroelectric 3-layer structure; (a) image taken in the thick area of the XTEM specimen, revealing the region with high Ge concentration and (b) a similar image of a very thin area of the specimen revealing crystallization alignment of the HfO2 nanocrystallites in the 3-layer structure.
Nanomaterials 12 00279 g001
Figure 2. Optical images of the following fabrication steps: (a) alignment marks fabrication, (b) patterning using e-beam lithography, (c) source and drain contacts fabrication by e-beam, and (d) gate insulator deposition.
Figure 2. Optical images of the following fabrication steps: (a) alignment marks fabrication, (b) patterning using e-beam lithography, (c) source and drain contacts fabrication by e-beam, and (d) gate insulator deposition.
Nanomaterials 12 00279 g002
Figure 3. (a) Optical image of graphene/HfZrO FET with two top gates and a backgate (doped Si) and (b) the optical image of 225 graphene/HfZrO FET array.
Figure 3. (a) Optical image of graphene/HfZrO FET with two top gates and a backgate (doped Si) and (b) the optical image of 225 graphene/HfZrO FET array.
Nanomaterials 12 00279 g003
Figure 4. IDVD dependence if VTG1 and VTG2 are connected while VBG is not connected.
Figure 4. IDVD dependence if VTG1 and VTG2 are connected while VBG is not connected.
Nanomaterials 12 00279 g004
Figure 5. IDVTG1 dependence while the other gates are not connected.
Figure 5. IDVTG1 dependence while the other gates are not connected.
Nanomaterials 12 00279 g005
Figure 6. IDVD dependence when VTG2 is not connected and VTG1 and VBG are connected.
Figure 6. IDVD dependence when VTG2 is not connected and VTG1 and VBG are connected.
Nanomaterials 12 00279 g006
Figure 7. ID–time dependence at the drain voltages of (a) +1 V and (b) −1 V.
Figure 7. ID–time dependence at the drain voltages of (a) +1 V and (b) −1 V.
Nanomaterials 12 00279 g007
Table 1. Logic tables for different functions and their implementation. The inputs are written as (VTG1, VTG2 in [V])/logic values while the output is the logic value of ID.
Table 1. Logic tables for different functions and their implementation. The inputs are written as (VTG1, VTG2 in [V])/logic values while the output is the logic value of ID.
ORANDXORNAND
InputsOutputInputsOutputInputsOutputInputsOutput
(0,0)/(0,0)0(0,0)/(0,0)0(0,0)/(0,0)0(−4,+4)/(0,0)1
(0,−4)/(0,1)1(0,+4)/(0,1)0(0,−4)/(0,1)1(0,−4)/(0,1)1
(−4,0)/(1,0)1(+4,0)/(1,0)0(−4,0)/(1,0)1(−4,0)/(1,0)1
(−4,−4)/(1,1)1(−4,−4)/(1,1)1(−4,+4)/(1,1)0(−4,−4)/(1,1)0
Table 2. Performance comparison between two memtransistors having as channel MoS2 and graphene.
Table 2. Performance comparison between two memtransistors having as channel MoS2 and graphene.
PerformancesReference 8This Work
ID,max (mA)0.10.8
VTG,max (V)±10±12
VBG,max (V)±60±4
VD,max (V)±40±1.5
on/off ratio105103
memory window (V)0.68
Publisher’s Note: MDPI stays neutral with regard to jurisdictional claims in published maps and institutional affiliations.

Share and Cite

MDPI and ACS Style

Dragoman, M.; Dinescu, A.; Dragoman, D.; Palade, C.; Teodorescu, V.Ş.; Ciurea, M.L. Graphene/Ferroelectric (Ge-Doped HfO2) Adaptable Transistors Acting as Reconfigurable Logic Gates. Nanomaterials 2022, 12, 279. https://doi.org/10.3390/nano12020279

AMA Style

Dragoman M, Dinescu A, Dragoman D, Palade C, Teodorescu VŞ, Ciurea ML. Graphene/Ferroelectric (Ge-Doped HfO2) Adaptable Transistors Acting as Reconfigurable Logic Gates. Nanomaterials. 2022; 12(2):279. https://doi.org/10.3390/nano12020279

Chicago/Turabian Style

Dragoman, Mircea, Adrian Dinescu, Daniela Dragoman, Cătălin Palade, Valentin Şerban Teodorescu, and Magdalena Lidia Ciurea. 2022. "Graphene/Ferroelectric (Ge-Doped HfO2) Adaptable Transistors Acting as Reconfigurable Logic Gates" Nanomaterials 12, no. 2: 279. https://doi.org/10.3390/nano12020279

APA Style

Dragoman, M., Dinescu, A., Dragoman, D., Palade, C., Teodorescu, V. Ş., & Ciurea, M. L. (2022). Graphene/Ferroelectric (Ge-Doped HfO2) Adaptable Transistors Acting as Reconfigurable Logic Gates. Nanomaterials, 12(2), 279. https://doi.org/10.3390/nano12020279

Note that from the first issue of 2016, this journal uses article numbers instead of page numbers. See further details here.

Article Metrics

Back to TopTop