Promotional Effects on the Catalytic Activity of Co-Fe Alloy Supported on Graphitic Carbon for CO2 Hydrogenation
Abstract
:1. Introduction
2. Materials and Methods
Synthesis of Co-Fe@(N)C and Co-Fe@C
3. Results
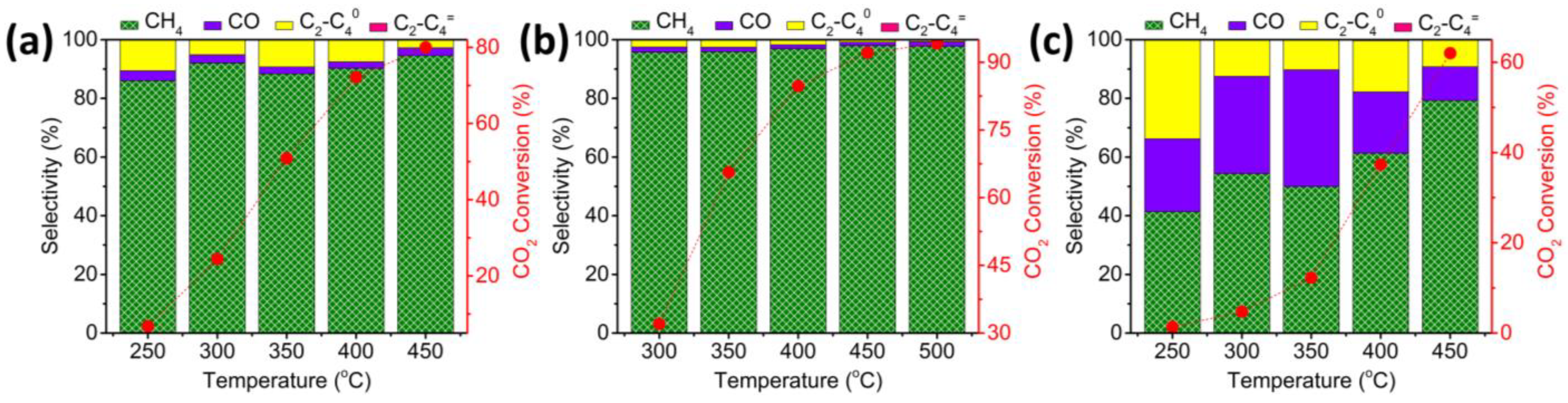
Catalytic Activity
4. Conclusions
Supplementary Materials
Author Contributions
Funding
Data Availability Statement
Conflicts of Interest
References
- Al-Mamoori, A.; Krishnamurthy, A.; Rownaghi, A.A.; Rezaei, F. Carbon Capture and Utilization Update. Energy Technol. 2017, 5, 834–849. [Google Scholar] [CrossRef]
- Frontera, P.; Macario, A.; Ferraro, M.; Antonucci, P. Supported Catalysts for CO2 Methanation: A Review. Catalysts 2017, 7, 59. [Google Scholar] [CrossRef]
- Li, W.; Wang, H.; Jiang, X.; Zhu, J.; Liu, Z.; Guo, X.; Song, C. A short review of recent advances in CO2 hydrogenation to hydrocarbons over heterogeneous catalysts. RSC Adv. 2018, 8, 7651–7669. [Google Scholar] [CrossRef] [PubMed]
- Matthews, H.D.; Caldeira, K. Stabilizing climate requires near-zero emissions. Geophys. Res. Lett. 2008, 35, L04705. [Google Scholar] [CrossRef]
- Molina, M.; Zaelke, D.; Sarma, K.M.; Andersen, S.O.; Ramanathan, V.; Kaniaru, D. Reducing abrupt climate change risk using the Montreal Protocol and other regulatory actions to complement cuts in CO2 emissions. Proc. Nat. Acad. Sci. USA 2009, 106, 20616–20621. [Google Scholar] [CrossRef]
- Navarro, J.C.; Centeno, M.A.; Laguna, O.H.; Odriozola, J.A. Policies and Motivations for the CO2 Valorization through the Sabatier Reaction Using Structured Catalysts. A Review of the Most Recent Advances. Catalysts 2018, 8, 578. [Google Scholar] [CrossRef]
- Pachauri, R.K.; Allen, M.R.; Barros, V.R.; Broome, J.; Cramer, W.; Christ, R.; Church, J.A.; Clarke, L.; Dahe, Q.; Dasgupta, P. Climate Change 2014: Synthesis Report; Contribution of Working Groups I, II and III to the fifth assessment report of the Intergovernmental Panel on Climate Change; IPCC: Geneva, Switzerland, 2014. [Google Scholar]
- Stangeland, K.; Kalai, D.; Li, H.; Yu, Z. CO2 Methanation: The Effect of Catalysts and Reaction Conditions. Energy Proc. 2017, 105, 2022–2027. [Google Scholar] [CrossRef]
- Stuardi, F.M.; MacPherson, F.; Leclaire, J. Integrated CO2 capture and utilization: A priority research direction. Curr. Opin. Green Sustain. Chem. 2019, 16, 71–76. [Google Scholar] [CrossRef]
- Wang, W.; Wang, S.; Ma, X.; Gong, J. Recent advances in catalytichydrogenation of carbon dioxide. Chem. Soc. Rev. 2011, 40, 3703–3727. [Google Scholar] [CrossRef]
- Yu, K.M.K.; Curcic, I.; Gabriel, J.; Tsang, S.C.E. Recent Advances in CO2 Capture and Utilization. ChemSusChem 2008, 1, 893–899. [Google Scholar] [CrossRef]
- Jurca, B.; Peng, L.; Gordillo, A.; Primo, A.; Parvulescu, V.I.; Garcia, H. Co–Fe Nanoparticles Wrapped on N-Doped Graphitic Carbons as Highly Selective CO2 Methanation Catalysts. ACS Appl. Mater. Interfaces 2021, 13, 36976–36981. [Google Scholar] [CrossRef] [PubMed]
- Peng, L.; Jurca, B.; Gordillo, A.; Primo, A.; Parvulescu, V.I.; García, H. Co–Fe Clusters Supported on N-Doped Graphitic Carbon as Highly Selective Catalysts for Reverse Water Gas Shift Reaction. ACS Sustain. Chem. Eng. 2021, 9, 9264–9272. [Google Scholar] [CrossRef]
- Peng, L.; Jurca, B.; Gordillo, A.; Primo, A.; Parvulescu, V.I.; García, H. High C2-C4 selectivity in CO2 hydrogenation by particle size control of Co-Fe alloy nanoparticles wrapped on N-doped graphitic carbon. iScience 2022, 25, 104252. [Google Scholar] [CrossRef] [PubMed]
- Zhang, L.; Zhang, Y.; Chen, S. Effect of promoter SiO2, TiO2 or SiO2-TiO2 on the performance of CuO-ZnO-Al2O3 catalyst for methanol synthesis from CO2 hydrogenation. Appl. Catal. A Gen. 2012, 415, 118–123. [Google Scholar] [CrossRef]
- Ye, R.-P.; Ding, J.; Gong, W.; Argyle, M.D.; Zhong, Q.; Wang, Y.; Russell, C.K.; Xu, Z.; Russell, A.G.; Li, Q.; et al. CO2 hydrogenation to high-value products via heterogeneous catalysis. Nat. Commun. 2019, 10, 5698. [Google Scholar] [CrossRef] [PubMed]
- Hu, F.; Chen, X.; Tu, Z.; Lu, Z.-H.; Feng, G.; Zhang, R. Graphene Aerogel Supported Ni for CO2 Hydrogenation to Methane. Ind. Eng. Chem. Res. 2021, 60, 12235–12243. [Google Scholar] [CrossRef]
- García-Bordejé, E.; Dongil, A.B.; Conesa, J.M.; Guerrero-Ruiz, A.; Rodríguez-Ramos, I. Promotion of Ru or Ni on Alumina Catalysts with a Basic Metal for CO2 Hydrogenation: Effect of the Type of Metal (Na, K, Ba). Nanomaterials 2022, 12, 1052. [Google Scholar] [CrossRef]
- Yang, Z.; Lei, Z.; Ge, B.; Xiong, X.; Jin, Y.; Jiao, K.; Chen, F.; Peng, S. Development of catalytic combustion and CO2 capture and conversion technology. Int. J. Coal Sci. Technol. 2021, 8, 377–382. [Google Scholar] [CrossRef]
- Li, D.; Ichikuni, N.; Shimazu, S.; Uematsu, T. Catalytic properties of sprayed Ru/Al2O3 and promoter effects of alkali metals in CO2 hydrogenation. Appl. Catal. A Gen. 1998, 172, 351–358. [Google Scholar] [CrossRef]
- Liang, B.; Duan, H.; Sun, T.; Ma, J.; Liu, X.; Xu, J.; Su, X.; Huang, Y.; Zhang, T. Effect of Na Promoter on Fe-Based Catalyst for CO2 Hydrogenation to Alkenes. ACS Sustain. Chem. Eng. 2018, 7, 925–932. [Google Scholar] [CrossRef]
- Koizumi, N.; Jiang, X.; Kugai, J.; Song, C. Effects of mesoporous silica supports and alkaline promoters on activity of Pd catalysts in CO2 hydrogenation for methanol synthesis. Catal. Today 2012, 194, 16–24. [Google Scholar] [CrossRef]
- Xu, L.; Wang, Q.; Liang, D.; Wang, X.; Lin, L.; Cui, W.; Xu, Y. The promotions of MnO and K2O to Fe/silicalite-2 catalyst for the production of light alkenes from CO2 hydrogenation. Appl. Catal. A Gen. 1998, 173, 19–25. [Google Scholar] [CrossRef]
- Liu, B.; Geng, S.; Zheng, J.; Jia, X.; Jiang, F.; Liu, X. Unravelling the New Roles of Na and Mn Promoter in CO2 Hydrogenation over Fe3O4-Based Catalysts for Enhanced Selectivity to Light α-Olefins. ChemCatChem 2018, 10, 4718–4732. [Google Scholar] [CrossRef]
- Chen, C.S.; Cheng, W.H.; Lin, S.S. Study of reverse water gas shift reaction by TPD, TPR and CO2 hydrogenation over potassium-promoted Cu/SiO2 catalyst. Appl. Catal. A Gen. 2003, 238, 55–67. [Google Scholar] [CrossRef]
- Jacobs, G.; Das, T.K.; Zhang, Y.; Li, J.; Racoillet, G.; Davis, B.H. Fischer–Tropsch synthesis: Support, loading, and promoter effects on the reducibility of cobalt catalysts. Appl. Catal. A Gen. 2002, 233, 263–281. [Google Scholar] [CrossRef]
- Bukur, D.B.; Mukesh, D.; Patel, S.A. Promoter effects on precipitated iron catalysts for Fischer-Tropsch synthesis. Ind. Eng. Chem. Res. 1990, 29, 194–204. [Google Scholar] [CrossRef]
- Li, W.; Zhang, G.; Jiang, X.; Liu, Y.; Zhu, J.; Ding, F.; Liu, Z.; Guo, X.; Song, C. CO2 Hydrogenation on Unpromoted and M-Promoted Co/TiO2 Catalysts (M = Zr, K, Cs): Effects of Crystal Phase of Supports and Metal–Support Interaction on Tuning Product Distribution. ACS Catal. 2019, 9, 2739–2751. [Google Scholar] [CrossRef]
- Riedel, T.; Schaub, G.; Jun, K.W.; Lee, K.W. Kinetics of CO2 Hydrogenation on a K-Promoted Fe Catalyst. Ind. Eng. Chem. Res. 2001, 40, 1355–1363. [Google Scholar] [CrossRef]
- Gnanamani, M.K.; Hamdeh, H.H.; Shafer, W.D.; Hopps, S.D.; Davis, B.H. Hydrogenation of carbon dioxide over iron carbide prepared from alkali metal promoted iron oxalate. Appl. Catal. A Gen. 2018, 564, 243–249. [Google Scholar] [CrossRef]
- Mihet, M.; Dan, M.; Lazar, M.D. CO2 Hydrogenation Catalyzed by Graphene-Based Materials. Molecules 2022, 27, 3367. [Google Scholar] [CrossRef]
- Zhang, R.; Huang, Z.; Li, C.; Zuo, Y.; Zhou, Y. Monolithic g-C3N4/reduced graphene oxide aerogel with in situ embedding of Pd nanoparticles for hydrogenation of CO2 to CH4. Appl. Surf. Sci. 2019, 475, 953–960. [Google Scholar] [CrossRef]
- Ridzuan, N.D.M.; Shaharun, M.S.; Lee, K.M.; Din, I.U.; Puspitasari, P. Influence of Nickel Loading on Reduced Graphene Oxide-Based Nickel Catalysts for the Hydrogenation of Carbon Dioxide to Methane. Catalysts 2020, 10, 471. [Google Scholar] [CrossRef]
- He, F.; Niu, N.; Qu, F.; Wei, S.; Chen, Y.; Gai, S.; Gao, P.; Wang, Y.; Yang, P. Synthesis of three-dimensional reduced graphene oxide layer supported cobalt nanocrystals and their high catalytic activity in F–T CO2 hydrogenation. Nanoscale 2013, 5, 8507–8516. [Google Scholar] [CrossRef] [PubMed]
- Wu, T.; Lin, J.; Cheng, Y.; Tian, J.; Wang, S.; Xie, S.; Pei, Y.; Yan, S.; Qiao, M.; Xu, H.; et al. Porous Graphene-Confined Fe–K as Highly Efficient Catalyst for CO2 Direct Hydrogenation to Light Olefins. ACS Appl. Mater. Interfaces 2018, 10, 23439–23443. [Google Scholar] [CrossRef]
- Dry, M.; Shingles, T.; Botha, C.V.H. Factors influencing the formation of carbon on iron Fischer-Tropsch catalysts: I. The influence of promoters. J. Catal. 1970, 17, 341–346. [Google Scholar] [CrossRef]
- Tao, Z.; Yang, Y.; Zhang, C.; Li, T.; Wang, J.; Wan, H.; Xiang, H.; Li, Y. Effect of calcium promoter on a precipitated iron–manganese catalyst for Fischer–Tropsch synthesis. Catal. Commun. 2006, 7, 1061–1066. [Google Scholar] [CrossRef]
- de la Osa, A.; de Lucas, A.; Romero, A.; Valverde, J.; Sánchez, P. Fischer–Tropsch diesel production over calcium-promoted Co/alumina catalyst: Effect of reaction conditions. Fuel 2011, 90, 1935–1945. [Google Scholar] [CrossRef]
- Panagiotopoulou, P. Hydrogenation of CO2 over supported noble metal catalysts. Appl. Catal. A Gen. 2017, 542, 63–70. [Google Scholar] [CrossRef]
- Minnermann, M.; Pokhrel, S.; Thiel, K.; Henkel, R.; Birkenstock, J.; Laurus, T.; Zargham, A.; Flege, J.I.; Zielasek, V.; Piskorska-Hommel, E. Role of Palladium in Iron Based Fischer−Tropsch Catalysts Prepared by Flame Spray Pyrolysis. J. Phys. Chem. C 2011, 115, 1302–1310. [Google Scholar] [CrossRef]
- Ning, W.; Yang, X.; Yamada, M. Influence of Palladium on the Hydrocarbon Distribution of Fischer- Tropsch Reaction Over Precipitated Iron Catalyst. Curr. Catal. 2012, 1, 88–92. [Google Scholar] [CrossRef]
- Galvis, H.M.T.; Koeken, A.C.; Bitter, J.H.; Davidian, T.; Ruitenbeek, M.; Dugulan, A.I.; de Jong, K.P. Effects of sodium and sulfur on catalytic performance of supported iron catalysts for the Fischer–Tropsch synthesis of lower olefins. J. Catal. 2013, 303, 22–30. [Google Scholar] [CrossRef]
- Anderson, R.; Karn, F.; Shultz, J. Factors in sulfur poisoning of iron catalysts in Fischer-Tropsch synthesis. J. Catal. 1965, 4, 56–63. [Google Scholar] [CrossRef]
- Oschatz, M.; Krans, N.; Xie, J.; de Jong, K.P. Systematic variation of the sodium/sulfur promoter content on carbon-supported iron catalysts for the Fischer–Tropsch to olefins reaction. J. Energy Chem. 2016, 25, 985–993. [Google Scholar] [CrossRef]
- Dong, Y.; Dong, W.; Cao, Y.; Han, Z.; Ding, Z. Preparation and catalytic activity of Fe alginate gel beads for oxidative degradation of azo dyes under visible light irradiation. Catal. Today 2011, 175, 346–355. [Google Scholar] [CrossRef]
- Skaugrud, Ø.; Hagen, A.; Borgersen, B.; Dornish, M. Biomedical and Pharmaceutical Applications of Alginate and Chitosan. Biotechnol. Gen. Eng. Rev. 1999, 16, 23–40. [Google Scholar] [CrossRef]
- Cançado, L.G.; Jorio, A.; Ferreira, E.M.; Stavale, F.; Achete, C.A.; Capaz, R.B.; Moutinho, M.V.d.O.; Lombardo, A.; Kulmala, T.; Ferrari, A.C. Quantifying Defects in Graphene via Raman Spectroscopy at Different Excitation Energies. Nano Lett. 2011, 11, 3190–3196. [Google Scholar] [CrossRef]
- He, J.; Anouar, A.; Primo, A.; García, H. Quality Improvement of Few-Layers Defective Graphene from Biomass and Application for H2 Generation. Nanomaterials 2019, 9, 895. [Google Scholar] [CrossRef]
- Valentin, R.; Molvinger, K.; Quignard, F.; Brunel, D. Supercritical CO2 dried chitosan: An efficient intrinsic heterogeneous catalyst in fine chemistry. New J. Chem. 2003, 27, 1690–1692. [Google Scholar] [CrossRef]
- Jurca, B.; Bucur, C.; Primo, A.; Concepción, P.; Parvulescu, V.I.; García, H. N-Doped Defective Graphene from Biomass as Catalyst for CO2 Hydrogenation to Methane. ChemCatChem 2019, 11, 985–990. [Google Scholar] [CrossRef]







| Sample No. | Co (wt %) a | Fe (wt %) a | Promoter (wt %) a,b | C (wt %) b | N (wt %) b | Average Particle Size (nm) c | |
|---|---|---|---|---|---|---|---|
| 1 | 14.1 | 3.5 | - | 63.6 | 1.4 | 10.5 ± 2 | |
| 2 | 18.6 | 4.4 | Pd | 0.5 | 62.9 | 1.3 | 10.6 ± 3 |
| 3 | 12.4 | 3.2 | - | 70.5 | 1.6 | 9.7 ± 5 | |
| 4 | 11.3 | 2.8 | Ce | 0.4 | 67.6 | 1.4 | 12.2 ± 6 (CeOx): 2.4 ± 1 |
| 5 | 9.0 | 38.4 | - | 47.5 | - | 21.6 ± 5 | |
| 6 | 11.3 | 3.9 | Ca | 25.8 | 37.1 | - | 7.3 ± 3 |
| 7 | 16.0 | 5.4 | Ce | 1.5 | 43.4 | - | - d |
| 8 | 11.7 | 2.8 | S | 7.1 | 49.1 | 2.2 | 10.5 ± 2 |
| 9 | 11.3 | 2.2 | S | 5.2 | 53.4 | 2.5 | - d |
| 10 | 15.6 | 3.6 | S | 2.9 | 55.6 | 2.7 | - d |
| 11 | 4.3 | 1.5 | K | 1.0 | 60.1 | 3.9 | 9.1 ± 6 |
| Na | 1.4 | ||||||
| S | 3.1 | ||||||
Publisher’s Note: MDPI stays neutral with regard to jurisdictional claims in published maps and institutional affiliations. |
© 2022 by the authors. Licensee MDPI, Basel, Switzerland. This article is an open access article distributed under the terms and conditions of the Creative Commons Attribution (CC BY) license (https://creativecommons.org/licenses/by/4.0/).
Share and Cite
Jurca, B.; Peng, L.; Primo, A.; Gordillo, A.; Dhakshinamoorthy, A.; Parvulescu, V.I.; García, H. Promotional Effects on the Catalytic Activity of Co-Fe Alloy Supported on Graphitic Carbon for CO2 Hydrogenation. Nanomaterials 2022, 12, 3220. https://doi.org/10.3390/nano12183220
Jurca B, Peng L, Primo A, Gordillo A, Dhakshinamoorthy A, Parvulescu VI, García H. Promotional Effects on the Catalytic Activity of Co-Fe Alloy Supported on Graphitic Carbon for CO2 Hydrogenation. Nanomaterials. 2022; 12(18):3220. https://doi.org/10.3390/nano12183220
Chicago/Turabian StyleJurca, Bogdan, Lu Peng, Ana Primo, Alvaro Gordillo, Amarajothi Dhakshinamoorthy, Vasile I. Parvulescu, and Hermenegildo García. 2022. "Promotional Effects on the Catalytic Activity of Co-Fe Alloy Supported on Graphitic Carbon for CO2 Hydrogenation" Nanomaterials 12, no. 18: 3220. https://doi.org/10.3390/nano12183220
APA StyleJurca, B., Peng, L., Primo, A., Gordillo, A., Dhakshinamoorthy, A., Parvulescu, V. I., & García, H. (2022). Promotional Effects on the Catalytic Activity of Co-Fe Alloy Supported on Graphitic Carbon for CO2 Hydrogenation. Nanomaterials, 12(18), 3220. https://doi.org/10.3390/nano12183220

