Multiscale Kinetic Monte Carlo Simulation of Self-Organized Growth of GaN/AlN Quantum Dots
Abstract
1. Introduction
2. Description of the Modeling Strategy
2.1. KMC Model and Implementation
- (i)
- During the growth simulation, the adatoms are randomly deposited onto the surface, with a deposition rate , where F represent the deposition flux (in ML/s).
- (ii)
- The adatoms sitting on the surface are allowed to randomly hop to one of its six nearest neighbor sites, see Figure 1b, with a jump rate defined by an Arrhenius-type expression:where is the diffusion energy barrier, the Boltzmann constant, and T the substrate temperature. The factor , called attempt frequency, defines the time scale of the surface processes, and is typically related with the vibrational frequency of a surface adatom. Here, we take s.
- (iii)
- The adatom desorption process is analogously described by the rate:where is the corresponding energy barrier.
- At every time step, the systematic search across the entire surface for the sites attainable by the process selected by the BKL algorithm has a cost in CPU time scaling with the surface size. To avoid this problem, we have used an inverted-list algorithm [42]. Since the updating of the inverted lists is a local procedure, the adatom search process becomes now independent of the surface size. This approach is specially efficient in the case of having a not too extensive catalog of possible events. In our case, in the absence of Schwöbel and strain-induced barriers, the system would have a very simple rate structure: There are only seven transitions for the diffusion and desorption processes, corresponding to the possible bonds to nearest neighbors (). To include the (Ehrlich-)Schwöbel effect (in cases where the jump occurs across a step) and the inhomogeneous strain-induced barrier , without having to modify the structure of inverted lists mentioned above, we use an acceptance-rejection algorithm [42].
- In growth regimes where surface diffusion plays a dominant role, most of the computation time is spent in calculating the adatom diffusion random walks. However, the associated jump rates for isolated and bonded adatoms can differ by orders of magnitude, due to the relative factor . We use the multiscale kinetic Monte Carlo method proposed in Ref. [32] that takes advantage of this disparity in the adatom dynamics by allowing the isolated adatoms to make longer jumps than the bonded ones. This reduces drastically the number of Monte Carlo steps required to complete the simulation. For example, for a surface with lattice sites, a tenfold reduction in computation time can be easily achieved. The long jumps in the multiscale model are an effective way of simulating by a single event a chain of multiple short jumps. We mentioned earlier that the presence of a nonuniform surface elastic energy is expected to lead, for sufficiently long times, to a preferential diffusion towards more relaxed regions. Therefore, it is natural to introduce, for long jumps (with associated long elapsed times), a bias in the jump direction that gives preference to the arrival sites with the lowest values of . In this work, we have implemented that idea as follows: Once an isolated adatom () has been selected, we scan its neighborhod in search of obstacles (steps to upper terraces, other isolated adatoms or clusters). This search sets the number of sites L (>1) for the long jump, and the jump direction () is chosen according to the following probability distribution:withwhere the term accounts for the possible presence of Schwöbel barriers: () if there is (there is not) a step when making a jump of L sites along direction . The strain-induced bias term is proportional to the elastic energy difference between the target site, located L sites away along direction , and the initial site. The factor introduces an explicit dependence of the bias on the jump length L. The coefficient k is a free input parameter of the model. A similar parameter was used in Ref. [9] to simulate superlattices of PbSe/PbEuTe QDs. In our case, the optimum value was determined so that the simulations reproduce the general features of growth experiments in GaN/AlN systems.
2.2. Calculation of the Strain-Induced Energy Barrier
3. Simulation Results
3.1. Calibration of the Activation Energies by Homoepitaxial Growth Simulations
3.2. Onset of the Stranski–Krastanov Growth Mode and Formation of Quantum Dots
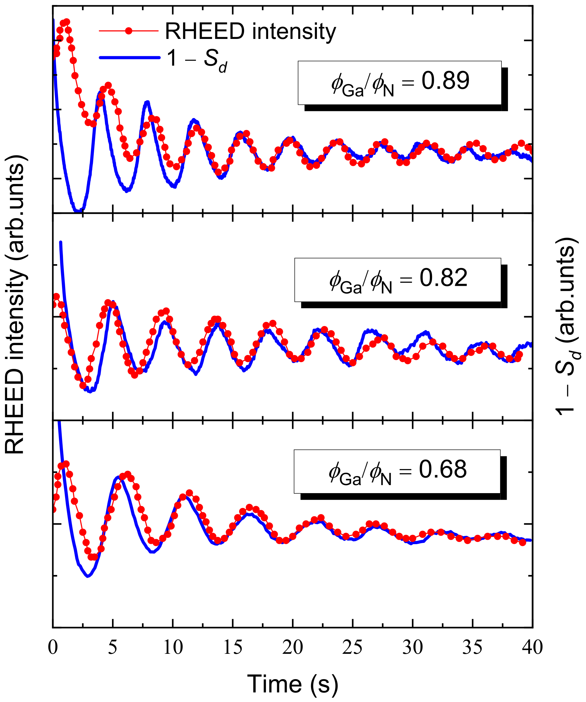
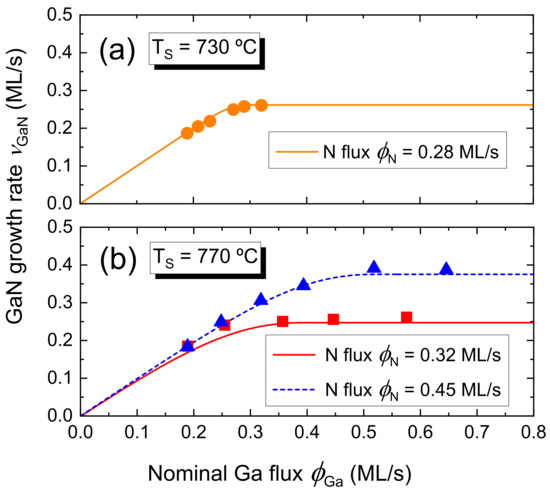
3.3. QD Growth as a Function of Ratio
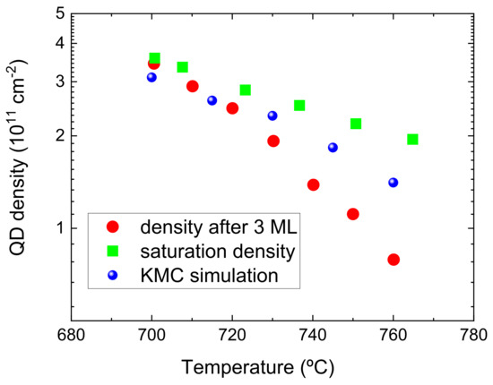
3.4. QD Growth as a Function of Substrate Temperature
3.5. Growth of Stacks of GaN/AlN QDs: Correlation Effects
4. Discussion
Author Contributions
Funding
Data Availability Statement
Conflicts of Interest
Abbreviations
| KMC | Kinetic Monte Carlo |
| SK | Stranski–Krastanov |
| QD | Quantum dot |
| PA-MBE | Plasma-assisted molecular beam epitaxy |
| ML | Monolayer |
| BKL | Bortz–Kalos–Lebowitz |
Appendix A. Model for the Effective Flux

References
- Shchukin, V.; Ledentsov, N.N.; Bimberg, D. Epitaxy of Nanostructures; Springer Science & Business Media: Berlin/Heidelberg, Germany, 2004. [Google Scholar]
- Bimberg, D.; Grundmann, M.; Ledentsov, N.N. Quantum Dot Heterostructures; John Wiley & Sons: Hoboken, NJ, USA, 1999. [Google Scholar]
- Barabasi, A.L. Self-assembled island formation in heteroepitaxial growth. Appl. Phys. Lett. 1997, 70, 2565–2567. [Google Scholar] [CrossRef][Green Version]
- Schöll, E.; Bose, S. Kinetic Monte Carlo simulation of the nucleation stage of the self-organized growth of quantum dots. Solid-State Electron. 1998, 42, 1587–1591. [Google Scholar] [CrossRef]
- Rottler, J.; Maass, P. Second Layer Nucleation in Thin Film Growth. Phys. Rev. Lett. 1999, 83, 3490–3493. [Google Scholar] [CrossRef]
- Meixner, M.; Schöll, E. Kinetically enhanced correlation and anticorrelation effects in self-organized quantum dot stacks. Phys. Rev. B 2003, 67, 121202(R). [Google Scholar] [CrossRef]
- Meixner, M.; Kunert, R.; Schöll, E. Control of strain-mediated growth kinetics of self-assembled semiconductor quantum dots. Phys. Rev. B 2003, 67, 195301. [Google Scholar] [CrossRef]
- Zhu, R.; Pan, E.; Chung, P. Fast multiscale kinetic Monte Carlo simulations of three-dimensional self-assembled quantum dot islands. Phys. Rev. B 2007, 75, 205339. [Google Scholar] [CrossRef]
- Mixa, M.; Holỳ, V.; Springholz, G.; Bauer, G. Kinetic Monte Carlo simulation of self-organized growth of PbSe/PbEuTe quantum dot multilayers. Phys. Rev. B 2009, 80, 045325. [Google Scholar] [CrossRef]
- Schulze, T.; Smereka, P. Kinetic Monte Carlo simulation of heteroepitaxial growth: Wetting layers, quantum dots, capping, and nanorings. Phys. Rev. B 2012, 86, 235313. [Google Scholar] [CrossRef]
- Nakamura, S.; Pearton, S.; Fasol, G. The Blue Laser Diode: The Complete Story; Springer Science & Business Media: Berlin/Heidelberg, Germany, 2000. [Google Scholar]
- Daudin, B.; Widmann, F.; Feuillet, G.; Samson, Y.; Arlery, M.; Rouvière, J.L. Stranski-Krastanov growth mode during the molecular beam epitaxy of highly strained GaN. Phys. Rev. B 1997, 56, R7069–R7072. [Google Scholar] [CrossRef]
- Damilano, B.; Grandjean, N.; Semond, F.; Massies, J.; Leroux, M. From visible to white light emission by GaN quantum dots on Si (111) substrate. Appl. Phys. Lett. 1999, 75, 962–964. [Google Scholar] [CrossRef]
- Miyamura, M.; Tachibana, K.; Arakawa, Y. High-density and size-controlled GaN self-assembled quantum dots grown by metalorganic chemical vapor deposition. Appl. Phys. Lett. 2002, 80, 3937–3939. [Google Scholar] [CrossRef]
- Bellmann, K.; Tabataba-Vakili, F.; Wernicke, T.; Strittmatter, A.; Callsen, G.; Hoffmann, A.; Kneissl, M. Desorption induced GaN quantum dots on (0001) AlN by MOVPE. Phys. Status Solidi RRL 2015, 9, 526–529. [Google Scholar] [CrossRef]
- Widmann, F.; Simon, J.; Daudin, B.; Feuillet, G.; Rouvière, J.; Pelekanos, N.; Fishman, G. Blue-light emission from GaN self-assembled quantum dots due to giant piezoelectric effect. Phys. Rev. B 1998, 58, R15989–R15992. [Google Scholar] [CrossRef]
- Arlery, M.; Rouvière, J.; Widmann, F.; Daudin, B.; Feuillet, G.; Mariette, H. Quantitative characterization of GaN quantum-dot structures in AlN by high-resolution transmission electron microscopy. Appl. Phys. Lett. 1999, 74, 3287–3289. [Google Scholar] [CrossRef]
- Bourret, A.; Adelmann, C.; Daudin, B.; Rouvière, J.L.; Feuillet, G.; Mula, G. Strain relaxation in (0001) AlN/GaN heterostructures. Phys. Rev. B 2001, 63, 245307. [Google Scholar] [CrossRef]
- Mula, G.; Adelmann, C.; Moehl, S.; Oullier, J.; Daudin, B. Surfactant effect of gallium during molecular-beam epitaxy of GaN on AlN (0001). Phys. Rev. B 2001, 64, 195406. [Google Scholar] [CrossRef]
- Adelmann, C.; Brault, J.; Jalabert, D.; Gentile, P.; Mariette, H.; Mula, G.; Daudin, B. Dynamically stable gallium surface coverages during plasma-assisted molecular-beam epitaxy of (0001) GaN. J. Appl. Phys. 2002, 91, 9638–9645. [Google Scholar] [CrossRef]
- Adelmann, C.; Daudin, B.; Oliver, R.; Briggs, G.; Rudd, R. Nucleation and growth of GaN/ AlN quantum dots. Phys. Rev. B 2004, 70, 125427. [Google Scholar] [CrossRef]
- Gogneau, N.; Fossard, F.; Monroy, E.; Monnoye, S.; Mank, H.; Daudin, B. Effects of stacking on the structural and optical properties of self-organized GaN/AlN quantum dots. Appl. Phys. Lett. 2004, 84, 4224–4226. [Google Scholar] [CrossRef]
- Chamard, V.; Schülli, T.; Sztucki, M.; Metzger, T.; Sarigiannidou, E.; Rouvière, J.L.; Tolan, M.; Adelmann, C.; Daudin, B. Strain distribution in nitride quantum dot multilayers. Phys. Rev. B 2004, 69, 125327. [Google Scholar] [CrossRef]
- Cros, A.; Garro, N.; Llorens, J.; García-Cristóbal, A.; Cantarero, A.; Gogneau, N.; Monroy, E.; Daudin, B. Raman study and theoretical calculations of strain in GaN quantum dot multilayers. Phys. Rev. B 2006, 73, 115313. [Google Scholar] [CrossRef]
- Founta, S.; Coraux, J.; Jalabert, D.; Bougerol, C.; Rol, F.; Mariette, H.; Renevier, H.; Daudin, B.; Oliver, R.; Humphreys, C.; et al. Anisotropic strain relaxation in a-plane GaN quantum dots. J. Appl. Phys. 2007, 101, 063541. [Google Scholar] [CrossRef]
- Wang, K.; Singh, J.; Pavlidis, D. Theoretical study of GaN growth: A Monte Carlo approach. J. Appl. Phys. 1994, 76, 3502–3510. [Google Scholar] [CrossRef]
- Mao, H.; Lee, S.; Park, S.J. The Monte Carlo simulation of epitaxial growth of hexagonal GaN. Surf. Sci. 1999, 432, L617–L620. [Google Scholar] [CrossRef]
- Xu, D.; Zapol, P.; Stephenson, G.B.; Thompson, C. Kinetic Monte Carlo simulations of GaN homoepitaxy on c-and m-plane surfaces. J. Chem. Phys. 2017, 146, 144702. [Google Scholar] [CrossRef]
- Chugh, M.; Ranganathan, M. Lattice kinetic Monte Carlo simulation study of the early stages of epitaxial GaN (0001) growth. Appl. Surf. Sci. 2017, 422, 1120–1128. [Google Scholar] [CrossRef]
- Turski, H.; Krzyżewski, F.; Feduniewicz-Żmuda, A.; Wolny, P.; Siekacz, M.; Muziol, G.; Cheze, C.; Nowakowski-Szukudlarek, K.; Xing, H.G.; Jena, D.; et al. Unusual step meandering due to Ehrlich-Schwoebel barrier in GaN epitaxy on the N-polar surface. Appl. Surf. Sci. 2019, 484, 771–780. [Google Scholar] [CrossRef]
- Erwin, S.C.; Lyons, J.L. Atomic Layer Epitaxy of III-Nitrides: A Microscopic Model of Homoepitaxial Growth. ACS Appl. Mater. Interfaces 2020, 12, 49245–49251. [Google Scholar] [CrossRef]
- DeVita, J.P.; Sander, L.M.; Smereka, P. Multiscale kinetic Monte Carlo algorithm for simulating epitaxial growth. Phys. Rev. B 2005, 72, 205421. [Google Scholar] [CrossRef]
- Shitara, T.; Vvedensky, D.; Wilby, M.; Zhang, J.; Neave, J.; Joyce, B. Step-density variations and reflection high-energy electron-diffraction intensity oscillations during epitaxial growth on vicinal GaAs (001). Phys. Rev. B 1992, 46, 6815–6824. [Google Scholar] [CrossRef]
- Vvedensky, D.; Haider, N.; Shitara, T.; Smilauer, P. Evolution of surface morphology during epitaxial growth. Philos. Trans. R. Soc. Lond. Ser. A Phys. Eng. Sci. 1993, 344, 493–505. [Google Scholar] [CrossRef]
- Voter, A.F. Introduction to the kinetic Monte Carlo method. In Radiation Effects in Solids; NATO Science Series II: Mathematics, Physics and Chemistry; Springer: Dordrecht, The Netherlands, 2007; Volume 235, pp. 1–23. [Google Scholar] [CrossRef]
- Andersen, M.; Panosetti, C.; Reuter, K. A practical guide to surface kinetic Monte Carlo simulations. Front. Chem. 2019, 7, 202. [Google Scholar] [CrossRef]
- Ehrlich, G.; Hudda, F. Atomic view of surface self-diffusion: Tungsten on tungsten. J. Chem. Phys. 1966, 44, 1039–1049. [Google Scholar] [CrossRef]
- Schwoebel, R.L.; Shipsey, E.J. Step motion on crystal surfaces. J. Appl. Phys. 1966, 37, 3682–3686. [Google Scholar] [CrossRef]
- Kaufmann, N.A.; Lahourcade, L.; Hourahine, B.; Martin, D.; Grandjean, N. Critical impact of Ehrlich–Schwöbel barrier on GaN surface morphology during homoepitaxial growth. J. Cryst. Growth 2016, 433, 36–42. [Google Scholar] [CrossRef]
- Grandusky, J.; Jindal, V.; Raynolds, J.; Guha, S.; Shahedipour-Sandvik, F. Density functional calculations of the strain effects on binding energies and adatom diffusion on (0001) GaN surfaces. Mater. Sci. Eng. B 2009, 158, 13–18. [Google Scholar] [CrossRef]
- Bortz, A.B.; Kalos, M.H.; Lebowitz, J.L. A new algorithm for Monte Carlo simulation of Ising spin systems. J. Comput. Phys. 1975, 17, 10–18. [Google Scholar] [CrossRef]
- Schulze, T.P. Efficient kinetic Monte Carlo simulation. J. Comput. Phys. 2008, 227, 2455–2462. [Google Scholar] [CrossRef]
- Kratzer, P.; Penev, E.; Scheffler, M. First-principles studies of kinetics in epitaxial growth of III–V semiconductors. Appl. Phys. A 2002, 75, 79–88. [Google Scholar] [CrossRef]
- Lam, C.H.; Lung, M.; Sander, L.M. Fast kinetic Monte Carlo simulation of strained heteroepitaxy in three dimensions. J. Sci. Comput. 2008, 37, 73–88. [Google Scholar] [CrossRef]
- Russo, G.; Smereka, P. A multigrid-Fourier method for the computation of elastic fields with application to heteroepitaxy. Multiscale Model. Simul. 2006, 5, 130–148. [Google Scholar] [CrossRef]
- Tandon, S.; Beleggia, M.; Zhu, Y.; De Graef, M. On the computation of the demagnetization tensor for uniformly magnetized particles of arbitrary shape. Part II: Numerical approach. J. Magn. Magn. Mater. 2004, 271, 27–38. [Google Scholar] [CrossRef]
- Eshelby, J.D. The determination of the elastic field of an ellipsoidal inclusion, and related problems. Proc. R. Soc. Lond. Ser. A Math. Phys. Sci. 1957, 241, 376–396. [Google Scholar] [CrossRef]
- Mura, T. Micromechanics of Defects in Solids; Kluwer Academic Publishers: Dordrecht, The Netherlands, 1987. [Google Scholar]
- Xiang, Y.; E, W. Nonlinear evolution equation for the stress-driven morphological instability. J. Appl. Phys. 2002, 91, 9414–9422. [Google Scholar] [CrossRef]
- Pan, E.; Yuan, F. Three-dimensional Green’s functions in anisotropic bimaterials. Int. J. Solids Struct. 2000, 37, 5329–5351. [Google Scholar] [CrossRef]
- Budagosky, J.A.; García-Cristóbal, A. Strain field of a wurtzite type inclusion in a semi-infinite matrix. 2022; to be submitted. [Google Scholar]
- Eisenberg, H.R.; Kandel, D. Origin and properties of the wetting layer and early evolution of epitaxially strained thin films. Phys. Rev. B 2002, 66, 155429. [Google Scholar] [CrossRef]
- Fernández-Garrido, S.; Koblmüller, G.; Calleja, E.; Speck, J.S. In situ GaN decomposition analysis by quadrupole mass spectrometry and reflection high-energy electron diffraction. J. Appl. Phys. 2008, 104, 033541. [Google Scholar] [CrossRef]
- Kalliakos, S.; Bretagnon, T.; Lefebvre, P.; Taliercio, T.; Gil, B.; Grandjean, N.; Damilano, B.; Dussaigne, A.; Massies, J. Photoluminescence energy and linewidth in GaN/AlN stackings of quantum dot planes. J. Appl. Phys. 2004, 96, 180–185. [Google Scholar] [CrossRef]
- Song, X.; Feng, H.; Liu, Y.M.; Yu, Z.Y.; Yin, H.Z. Kinetic Monte Carlo simulations of three-dimensional self-assembled quantum dot islands. Chin. Phys. B 2013, 23, 016802. [Google Scholar] [CrossRef]
- Brault, J.; Tanaka, S.; Sarigiannidou, E.; Rouvière, J.L.; Daudin, B.; Feuillet, G.; Nakagawa, H. Linear alignment of GaN quantum dots on AlN grown on vicinal SiC substrates. J. Appl. Phys. 2003, 93, 3108–3110. [Google Scholar] [CrossRef]
- Villain, J. Continuum models of crystal growth from atomic beams with and without desorption. J. Phys. I 1991, 1, 19–42. [Google Scholar] [CrossRef]
- Liang, K.; Sun, X.; Wu, G.; Zhang, L.; Liu, S.; Gan, Z. The investigation of molecular beam epitaxy growth of GaN by molecular dynamics simulation. Comput. Mater. Sci. 2020, 173, 109426. [Google Scholar] [CrossRef]
- Li, R.; Wu, G.; Liang, K.; Wang, S.; Sun, X.; Han, X.; Xue, L.; Li, H.; Liu, S. Effects of AlN substrate orientation on crystalline quality of wurtzite GaN films investigated via molecular dynamics. Comput. Mater. Sci. 2022, 202, 110991. [Google Scholar] [CrossRef]









Publisher’s Note: MDPI stays neutral with regard to jurisdictional claims in published maps and institutional affiliations. |
© 2022 by the authors. Licensee MDPI, Basel, Switzerland. This article is an open access article distributed under the terms and conditions of the Creative Commons Attribution (CC BY) license (https://creativecommons.org/licenses/by/4.0/).
Share and Cite
Budagosky, J.A.; García-Cristóbal, A. Multiscale Kinetic Monte Carlo Simulation of Self-Organized Growth of GaN/AlN Quantum Dots. Nanomaterials 2022, 12, 3052. https://doi.org/10.3390/nano12173052
Budagosky JA, García-Cristóbal A. Multiscale Kinetic Monte Carlo Simulation of Self-Organized Growth of GaN/AlN Quantum Dots. Nanomaterials. 2022; 12(17):3052. https://doi.org/10.3390/nano12173052
Chicago/Turabian StyleBudagosky, Jorge A., and Alberto García-Cristóbal. 2022. "Multiscale Kinetic Monte Carlo Simulation of Self-Organized Growth of GaN/AlN Quantum Dots" Nanomaterials 12, no. 17: 3052. https://doi.org/10.3390/nano12173052
APA StyleBudagosky, J. A., & García-Cristóbal, A. (2022). Multiscale Kinetic Monte Carlo Simulation of Self-Organized Growth of GaN/AlN Quantum Dots. Nanomaterials, 12(17), 3052. https://doi.org/10.3390/nano12173052

