An Improved Smart Meta-Superconductor MgB2
Abstract
1. Introduction
2. Model
3. Experiment
3.1. Preparation of p-n Junction Luminescent Particles
3.2. Preparation of MgB2 Superconductor and Inhomogeneous Phase Samples
3.3. Critical Transition Temperature Measurement
3.4. Measurement of Critical Current Density and Meissner Effect
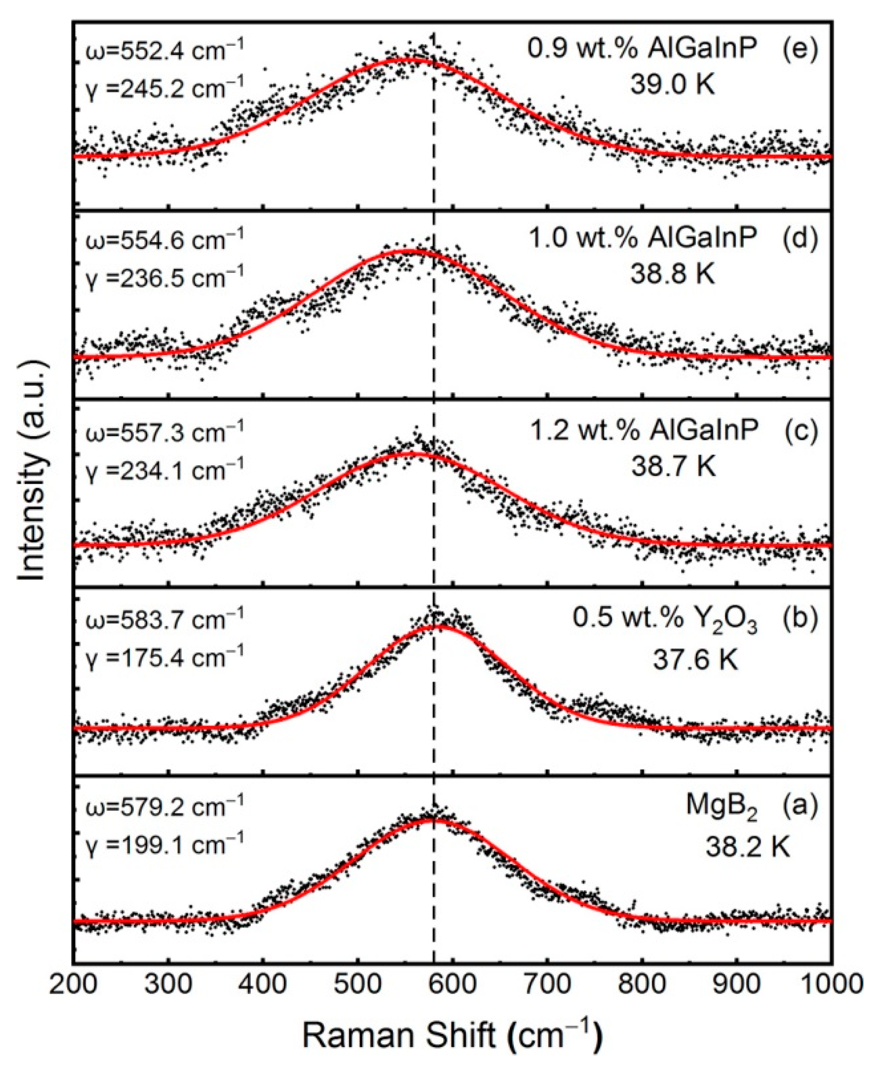
4. Results and Discussion
- (1)
- The advantages of the inhomogeneous phase of the p-n junction nanostructure
- (2)
- Performance improvement of smart meta-superconductor
- (3)
- The origin of smart superconductivity
5. Conclusions
Author Contributions
Funding
Institutional Review Board Statement
Informed Consent Statement
Data Availability Statement
Conflicts of Interest
References
- Gui, X.; Lv, B.; Xie, W.W. Chemistry in Superconductors. Chem. Rev. 2021, 121, 2966–2991. [Google Scholar] [CrossRef]
- Fossheim, K.; Sudbø, A. What Is Superconductivity? A Brief Overview. In Superconductivity: Physics and Applications; John Wiley & Sons Ltd.: Chichester, UK, 2004; pp. 1–26. [Google Scholar] [CrossRef]
- DiCarlo, L.; Reed, M.D.; Sun, L.; Johnson, B.R.; Chow, J.M.; Gambetta, J.M.; Frunzio, L.; Girvin, S.M.; Devoret, M.H.; Schoelkopf, R.J. Preparation and Measurement of Three-Qubit Entanglement in a Superconducting Circuit. Nature 2010, 467, 574–578. [Google Scholar] [CrossRef] [PubMed]
- Riedinger, R.; Wallucks, A.; Marinković, I.; Löschnauer, C.; Aspelmeyer, M.; Hong, S.; Gröblacher, S. Remote Quantum Entanglement between Two Micromechanical Oscillators. Nature 2018, 556, 473–477. [Google Scholar] [CrossRef] [PubMed]
- Bednorz, J.G.; Müller, K.A. Possible high TC superconductivity in the Ba-La-Cu-O system. Z. Phys. B Condens. Matter 1986, 64, 189–193. [Google Scholar] [CrossRef]
- Mohd Yusuf, N.; Awang Kechik, M.; Baqiah, H.; Soo Kien, C.; Kean Pah, L.; Shaari, A.; Wan Jusoh, W.; Abd Sukor, S.; Mousa Dihom, M.; Talib, Z.; et al. Structural and Superconducting Properties of Thermal Treatment-Synthesised Bulk YBa2Cu3O7-δ Superconductor: Effect of Addition of SnO2 Nanoparticles. Materials 2018, 12, 92. [Google Scholar] [CrossRef] [PubMed]
- Kamihara, Y.; Watanabe, T.; Hirano, M.; Hosono, H. Iron-Based Layered Superconductor La[O1-XFX]FeAs (x = 0.05–0.12) with TC = 26 K. J. Am. Chem. Soc. 2008, 130, 3296–3297. [Google Scholar] [CrossRef]
- Zhang, P.; Yaji, K.; Hashimoto, T.; Ota, Y.; Kondo, T.; Okazaki, K.; Wang, Z.; Wen, J.; Gu, G.D.; Ding, H.; et al. Observation of topological superconductivity on the surface of an iron-based superconductor. Science 2018, 360, 182–186. [Google Scholar] [CrossRef] [PubMed]
- Drozdov, A.P.; Eremets, M.I.; Troyan, I.A.; Ksenofontov, V.; Shylin, S.I. Conventional superconductivity at 203 kelvin at high pressures in the sulfur hydride system. Nature 2015, 525, 73–76. [Google Scholar] [CrossRef]
- Cantaluppi, A.; Buzzi, M.; Jotzu, G.; Nicoletti, D.; Mitrano, M.; Pontiroli, D.; Ricco, M.; Perucchi, A.; Di Pietro, P.; Cavalleri, A. Pressure tuning of light-induced superconductivity in K3C60. Nat. Phys. 2018, 14, 837–841. [Google Scholar] [CrossRef]
- Drozdov, A.P.; Kong, P.P.; Minkov, V.S.; Besedin, S.P.; Kuzovnikov, M.A.; Mozaffari, S.; Balicas, L.; Balakirev, F.F.; Graf, D.E.; Prakapenka, V.B.; et al. Superconductivity at 250 K in lanthanum hydride under high pressures. Nature 2019, 569, 528–531. [Google Scholar] [CrossRef]
- Snider, E.; Dasenbrock-Gammon, N.; McBride, R.; Debessai, M.; Vindana, H.; Vencatasamy, K.; Lawler, K.V.; Salamat, A.; Dias, R.P. Room-temperature superconductivity in a carbonaceous sulfur hydride. Nature 2020, 586, 373–377. [Google Scholar] [CrossRef] [PubMed]
- Fausti, D.; Tobey, R.I.; Dean, N.; Kaiser, S.; Dienst, A.; Hoffmann, M.C.; Pyon, S.; Takayama, T.; Takagi, H.; Cavalleri, A. Light-induced superconductivity in a stripe-ordered cuprate. Science 2011, 331, 189–191. [Google Scholar] [CrossRef] [PubMed]
- Cavalleri, A. Photo-induced superconductivity. Contemp. Phys. 2017, 59, 31–46. [Google Scholar] [CrossRef]
- Bardeen, J.; Cooper, L.N.; Schrieffer, J.R. Theory of Superconductivity. Phys. Rev. 1957, 108, 1175–1204. [Google Scholar] [CrossRef]
- Bardeen, J. Theory of the Meissner Effect in Superconductors. Phys. Rev. 1955, 97, 1724–1725. [Google Scholar] [CrossRef]
- Chung, D.Y. The Basic Cause of Superconductivity. J. Mod. Phys. 2015, 6, 26–36. [Google Scholar] [CrossRef][Green Version]
- Qiu, D.; Gong, C.; Wang, S.; Zhang, M.; Yang, C.; Wang, X.; Xiong, J. Recent Advances in 2D Superconductors. Adv. Mater. 2021, 33, e2006124. [Google Scholar] [CrossRef]
- Nagamatsu, J.; Nakagawa, N.; Muranaka, T.; Zenitani, Y.; Akimitsu, J. Superconductivity at 39 K in magnesium diboride. Nature 2001, 410, 63–64. [Google Scholar] [CrossRef]
- Zhao, Y.G.; Zhang, X.P.; Qiao, P.T.; Zhang, H.T.; Jia, S.L.; Cao, B.S.; Zhu, M.H.; Han, Z.H.; Wang, X.L.; Gu, B.L. Effect of Li doping on structure and superconducting transition temperature of Mg1-xLixB2. Phys. C 2001, 361, 91–94. [Google Scholar] [CrossRef]
- Mackinnon, I.D.R.; Winnett, A.; Alarco, J.A.; Talbot, P.C. Synthesis of MgB2 at low temperature and autogenous pressure. Materials 2014, 7, 3901–3918. [Google Scholar] [CrossRef]
- Ozturk, O.; Asikuzun, E.; Kaya, S.; Koc, N.S.; Erdem, M. The effect of Ar ambient pressure and annealing duration on the cicrostructure, superconducting properties and activation energies of MgB2 superconductors. J. Supercond. Nov. Magn. 2016, 30, 1161–1169. [Google Scholar] [CrossRef]
- Cheng, F.; Ma, Z.; Liu, C.; Li, H.; Shahriar, A.; Hossain, M.; Bando, Y.; Yamauchi, Y.; Fatehmulla, A.; Farooq, W.A.; et al. Enhancement of grain connectivity and critical current density in the ex-situ sintered MgB2 superconductors by doping minor Cu. J. Alloys Compd. 2017, 727, 1105–1109. [Google Scholar] [CrossRef]
- Grivel, J.C.; Rubešová, K. Increase of the critical current density of MgB2 superconducting bulk samples by means of methylene blue dye additions. Phys. C 2019, 565, 1353506. [Google Scholar] [CrossRef]
- Slusky, J.S.; Rogado, N.; Regan, K.A.; Hayward, M.A.; Khalifah, P.; He, T.; Inumaru, K.; Loureiro, S.M.; Haas, M.K.; Zandbergen, H.W.; et al. Loss of superconductivity with the addition of Al to MgB2 and a structural transition in Mg1-xAlxB2. Nature 2001, 410, 343. [Google Scholar] [CrossRef]
- Li, S.Y.; Xiong, Y.M.; Mo, W.Q.; Fan, R.; Wang, C.H.; Luo, X.G.; Sun, Z.; Zhang, H.T.; Li, L.; Cao, L.Z.; et al. Alkali metal substitution efffects in Mg1−xAxB2 (A = Li and Na). Phys. C. 2001, 363, 219–223. [Google Scholar] [CrossRef]
- Susner, M.A.; Bohnenstiehl, S.D.; Dregia, S.A.; Sumption, M.D.; Yang, Y.; Donovan, J.J.; Collings, E.W. Homogeneous carbon doping of magnesium diboride by high-temperature, high-pressure synthesis. Appl. Phys. Lett. 2014, 104, 162603. [Google Scholar] [CrossRef]
- Shahabuddin, M.; Madhar, N.A.; Alzayed, N.S.; Asif, M. Uniform dispersion and exfoliation of multi-walled carbon nanotubes in CNT- MgB2 superconductor composites using surfactants. Materials 2019, 12, 3044. [Google Scholar] [CrossRef] [PubMed]
- Tang, S.P.; Wang, D.L.; Zhang, X.P.; Zhang, Q.J.; Li, C.; Ma, Y.W.; Oguro, H.; Awaji, S.; Watanabe, K. Improved Transport JC in MgB2 Tapes by Graphene Doping. J. Supercond. Nov. Magn. 2014, 27, 2699–2705. [Google Scholar] [CrossRef]
- Annabi, M.; M’Chirgui, A.; Ben Azzouz, F.; Zouaoui, M.; Ben Salem, M. Addition of nanometer Al2O3 during the final processing of (Bi,Pb)-2223 superconductors. Phys. C Supercond. 2004, 405, 25–33. [Google Scholar] [CrossRef]
- Hua, L.; Yoo, J.; Ko, J.; Kim, H.; Chung, H.; Qiao, G. Microstructure and phase evolution of ultrafine MgO doped Bi-2223/Ag tapes. Phys. C Supercond. 1997, 291, 149–154. [Google Scholar] [CrossRef]
- Ahmad, I.; Sarangi, S.N.; Sarun, P.M. Enhanced critical current density and flux pinning of anthracene doped magnesium diboride superconductor. J. Alloys Compd. 2021, 884, 160999. [Google Scholar] [CrossRef]
- Abbasi, H.; Taghipour, J.; Sedghi, H. Superconducting and transport properties of (Bi–Pb)–Sr–Ca–Cu–O with Cr2O3 additions. J. Alloys Compd. 2010, 494, 305–308. [Google Scholar] [CrossRef]
- Shelby, R.A.; Smith, D.R.; Schultz, S. Experimental verification of a negative index of refraction. Science 2001, 292, 77–79. [Google Scholar] [CrossRef] [PubMed]
- Zhao, X.P. Bottom-up fabrication methods of optical metamaterials. J. Mater. Chem. 2012, 22, 9439–9449. [Google Scholar] [CrossRef]
- Smolyaninov, I.I.; Smolyaninova, V.N. Is There a Metamaterial Route to High Temperature Superconductivity? Adv. Condens. Matter Phys. 2014, 2014, 479635. [Google Scholar] [CrossRef]
- Smolyaninova, V.N.; Yost, B.; Zander, K.; Osofsky, M.S.; Kim, H.; Saha, S.; Greene, R.L.; Smolyaninov, I.I. Experimental demonstration of superconducting critical temperature increase in electromagnetic metamaterials. Sci. Rep. 2014, 4, 7321. [Google Scholar] [CrossRef]
- Smolyaninov, I.I.; Smolyaninova, V.N. Theoretical modeling of critical temperature increase in metamaterial superconductors. Phys. Rev. B 2016, 93, 184510. [Google Scholar] [CrossRef]
- Zhang, Z.W.; Tao, S.; Chen, G.W.; Zhao, X.P. Improving the Critical Temperature of MgB2 Superconducting Metamaterials Induced by Electroluminescence. J. Supercond. Nov. Magn. 2016, 29, 1159–1162. [Google Scholar] [CrossRef][Green Version]
- Tao, S.; Li, Y.B.; Chen, G.W.; Zhao, X.P. Critical Temperature of Smart Meta-superconducting MgB2. J. Supercond. Nov. Magn. 2017, 30, 1405–1411. [Google Scholar] [CrossRef]
- Li, Y.B.; Chen, H.G.; Qi, W.C.; Chen, G.W.; Zhao, X.P. Inhomogeneous Phase Effect of Smart Meta-Superconducting MgB2. J. Low Temp. Phys. 2018, 191, 217–227. [Google Scholar] [CrossRef]
- Chen, H.G.; Li, Y.B.; Chen, G.W.; Xu, L.X.; Zhao, X.P. The Effect of Inhomogeneous Phase on the Critical Temperature of Smart Meta-superconductor MgB2. J. Supercond. Nov. Magn. 2018, 31, 3175–3182. [Google Scholar] [CrossRef]
- Li, Y.B.; Chen, H.G.; Wang, M.Z.; Xu, L.X.; Zhao, X.P. Smart meta-superconductor MgB2 constructed by the dopant phase of luminescent nanocomposite. Sci. Rep. 2019, 9, 14194. [Google Scholar] [CrossRef] [PubMed]
- Chen, H.G.; Li, Y.B.; Wang, M.Z.; Han, G.Y.; Shi, M.; Zhao, X.P. Smart metastructure method for increasing TC of Bi(Pb)SrCaCuO high-temperature superconductors. J. Supercond. Nov. Magn. 2020, 33, 3015–3025. [Google Scholar] [CrossRef]
- Chen, H.G.; Wang, M.Z.; Qi, Y.; Li, Y.B.; Zhao, X.P. Relationship between the TC of Smart Meta-Superconductor Bi(Pb)SrCaCuO and Inhomogeneous Phase Content. Nanomaterials 2021, 11, 1061. [Google Scholar] [CrossRef]
- Li, Y.B.; Han, G.Y.; Zou, H.Y.; Tang, L.; Chen, H.G.; Zhao, X.P. Reinforcing Increase of △TC in MgB2 Smart Meta-Superconductors by Adjusting the Concentration of Inhomogeneous Phases. Materials 2021, 14, 3066. [Google Scholar] [CrossRef] [PubMed]
- Chen, H.G.; Li, Y.B.; Qi, Y.; Wang, M.Z.; Zou, H.Y.; Zhao, X.P. Critical Current Density and Meissner Effect of Smart Meta-Superconductor MgB2 and Bi(Pb)SrCaCuO. Materials 2022, 15, 972. [Google Scholar] [CrossRef]
- Ye, J.T.; Inoue, S.; Kobayashi, K.; Kasahara, Y.; Yuan, H.T.; Shimotani, H.; Iwasa, Y. Liquid-gated interface superconductivity on an atomically flat film. Nature Mater. 2010, 9, 125–128. [Google Scholar] [CrossRef] [PubMed]
- Kouji, T.; Akiyo, M.; Hidekazu, S.; Hidenori, T. Electric-field-induced superconductivity at 9.4 K in a layered transition metal disulphide MoS2. Appl. Phys. Lett. 2012, 101, 042603. [Google Scholar] [CrossRef]
- Chen, G.W.; Qi, W.C.; Li, Y.B.; Yang, C.S.; Zhao, X.P. Hydrothermal synthesis of Y2O3:Eu3+ nanorods and its growth mechanism and luminescence properties. J. Mater. Sci. Mater. Electron. 2016, 27, 5628–5634. [Google Scholar] [CrossRef]
- Wang, M.Z.; Xu, L.X.; Chen, G.W.; Zhao, X.P. Topological luminophor Y2O3:Eu3++Ag with high electroluminescence performance. ACS Appl. Mater. Interfaces 2019, 11, 2328–2335. [Google Scholar] [CrossRef] [PubMed]
- Sunwong, P.; Higgins, J.S.; Tsui, Y.; Raine, M.J.; Hampshire, D.P. The critical current density of grain boundary channels in polycrystalline HTS and LTS superconductors in magnetic fields. Supercond. Sci. Technol. 2013, 26, 095006. [Google Scholar] [CrossRef]
- Rakshit, D.; Sk, T.; Das, P.; Haldar, S.; Ghosh, A.K. Exponential reduction in critical current density in Eu1-xCexBa2Cu3O7-_superconductors near critical temperature. Phys. C Supercond. 2021, 588, 1353909. [Google Scholar] [CrossRef]
- Tampieri, A.; Fiorani, D.; Sparvieri, N.; Rinaldi, S.; Celotti, G.; Bartolucci, R. Granular and intergranular properties of hot pressed BSCCO (2223) superconductors. J. Mater. Sci. Mater. Electron. 1999, 34, 6177–6182. [Google Scholar] [CrossRef]
- Sunshine, S.A.; Siegrist, T.; Schneemeyer, L.F.; Murphy, D.W.; Cava, R.J.; Batlogg, B.; Van Dover, R.B.; Fleming, R.M.; Glarum, S.H.; Nakahara, S.; et al. Structure and physical properties of single crystals of the 84-K superconductor Bi2.2Sr2Ca0.8Cu2O8+δ. Phys. Rev. B 1988, 38, 893–896. [Google Scholar] [CrossRef]
- Dou, S.X.; Soltanian, S.; Horvat, J.; Wang, X.L.; Zhou, S.H.; Ionescu, M.; Liu, H.K.; Munroe, P.; Tomsic, M. Enhancement of the critical current density and flux pinning of MgB2 superconductor by nanoparticle SiC doping. Appl. Phys. Lett. 2002, 81, 3419–3421. [Google Scholar] [CrossRef]
- Batalu, A.; Stanciuc, M.; Moldovan, L.; Aldica, G.; Badica, P. Evaluation of pristine and Eu2O3-added MgB2 ceramics for medical applications: Hardness, corrosion resistance, cytotoxicity and antibacterial activity. Mater. Sci. Eng. C 2014, 42, 350–361. [Google Scholar] [CrossRef] [PubMed]
- Buzea, C.; Yamashita, T. Review of superconducting properties of MgB2. Supercond. Sci. Technol. 2001, 14, R115–R146. [Google Scholar] [CrossRef]
- Zhang, H.; Zhao, Y.; Zhang, Y. The Effects of Excess Mg Addition on the Superconductivity of MgB2. J. Supercond. Nov. Magn. 2015, 28, 2711–2714. [Google Scholar] [CrossRef]
- Arvapalli, S.S.; Miryala, M.; Jirsa, M.; Murakami, M. Size reduction of boron particles by high-power ultrasound for optimization of bulk MgB2. Supercond. Sci. Technol. 2020, 33, 115009. [Google Scholar] [CrossRef]
- Peng, J.M.; Cai, Q.; Cheng, F.; Ma, Z.Q.; Li, C.; Xin, Y.; Liu, Y.C. Enhancement of critical current density by a “MgB2-MgB4” reversible reaction in self-sintered ex-situ MgB2 bulks. J. Alloys Compd. 2017, 694, 24–29. [Google Scholar] [CrossRef]
- Krishna, N.M.; Lingam, L.S.; Ghosh, P.K.; Shrivastava, K.N. Effect of current-loop sizes on the para-Meissner effect in superconductors. Phys. C Supercond. 1998, 294, 243–248. [Google Scholar] [CrossRef]
- Posselt, H.; Muller, H.; Andres, K.; Saito, G. Reentrant Meissner effect in the organic conductor κ-(BEDT-TTF)2Cu[N(CN)2]Cl under pressure. Phys. Rev. B 1994, 49, 15849–15852. [Google Scholar] [CrossRef] [PubMed]
- Horiuchi, T.; Kawai, T.; Kawai, S.; Ogura, K. The trial of making Bi-Sr-Ca-Cu-M-O superconductors (M = Li, Na, K, Rb, Cs). Ferroelectrics 1990, 109, 351–356. [Google Scholar] [CrossRef]
- Sakuntala, T.; Bharathi, A.; Deb, S.K.; Gayathri, N.; Sundar, C.S.; Hariharan, Y. Raman scattering investigation of electron–phonon coupling in carbon substituted MgB2. J. Phys. Condens. Matter 2005, 17, 3285–3292. [Google Scholar] [CrossRef]
- Bohnen, K.P.; Heid, R.; Renker, B. Phonon dispersion and electron-phonon coupling in MgB2 and AlB2. Phys. Rev. Lett. 2001, 86, 5771–5774. [Google Scholar] [CrossRef]
- Postorino, P.; Congeduti, A.; Dore, P.; Nucara, A.; Bianconi, A.; Di Castro, D.; De Negri, S.; Saccone, A. Effect of the Al content on the optical phonon spectrum in Mg1−xAlxB2. Phys. Rev. B 2001, 65, 020507. [Google Scholar] [CrossRef]
- Renker, B.; Bohnen, K.B.; Heid, R.; Ernst, D.; Schober, H.; Koza, M.; Adelmann, P.; Schweiss, P.; Wolf, T. Strong renormalization of phonon frequencies in Mg1-xAlxB2. Phys. Rev. Lett. 2002, 88, 067001. [Google Scholar] [CrossRef]
- Li, W.X.; Zeng, R.; Lu, L.; Dou, S.X. Effect of thermal strain on Jc and Tc in high density nano-SiC doped MgB2. J. Appl. Phys. 2011, 109, 07E108. [Google Scholar] [CrossRef]
- Goncharov, A.F.; Struzhkin, V.V. Pressure dependence of the Raman spectrum, lattice parameters and superconducting critical temperature of MgB2: Evidence for pressure-driven phonon-assisted electronic topological transition. Phys. C 2003, 385, 117–130. [Google Scholar] [CrossRef]
- Arvanitidis, J.; Papagelis, K.; Prassides, K.; Kourouklis, G.A.; Ves, S.; Takenobu, T.; Iwasa, Y. Raman spectroscopic study of carbon substitution in MgB2. J. Phys. Chem. Solids 2004, 65, 73–77. [Google Scholar] [CrossRef]
- Masui, T.; Lee, S.; Tajima, S. Carbon-substitution effect on the electronic properties of MgB2 single crystals. Phys. Rev. B 2004, 70, 024504. [Google Scholar] [CrossRef]
- Pogrebnyakov, A.V.; Redwing, J.M.; Raghavan, S.; Vaithyanathan, V.; Schlom, D.G.; Xu, S.Y.; Li, Q.; Tenne, D.A.; Soukiassian, A.; Xi, X.X.; et al. Enhancement of the superconducting transition temperature of MgB2 by a strain-induced bond-stretching mode softening. Phys. Rev. Lett. 2004, 93, 147006. [Google Scholar] [CrossRef] [PubMed]
- Li, W.X.; Xu, X.; De Silva, K.S.B.; Xiang, F.X.; Dou, S.X. Graphene Micro-Substrate Induced High Electron-Phonon Coupling in MgB2. IEEE Trans. Appl. Supercon. 2013, 23, 7000104. [Google Scholar] [CrossRef]









| Sample | S0 | S1 | S2 | S3 | S4 | S5 | S6 |
|---|---|---|---|---|---|---|---|
| Inhomogeneous phase p-n junction concentration (wt.%) | 0 | 0.5 | 0.8 | 0.9 | 1.0 | 1.2 | 1.5 |
Publisher’s Note: MDPI stays neutral with regard to jurisdictional claims in published maps and institutional affiliations. |
© 2022 by the authors. Licensee MDPI, Basel, Switzerland. This article is an open access article distributed under the terms and conditions of the Creative Commons Attribution (CC BY) license (https://creativecommons.org/licenses/by/4.0/).
Share and Cite
Zhao, X.; Hai, Q.; Shi, M.; Chen, H.; Li, Y.; Qi, Y. An Improved Smart Meta-Superconductor MgB2. Nanomaterials 2022, 12, 2590. https://doi.org/10.3390/nano12152590
Zhao X, Hai Q, Shi M, Chen H, Li Y, Qi Y. An Improved Smart Meta-Superconductor MgB2. Nanomaterials. 2022; 12(15):2590. https://doi.org/10.3390/nano12152590
Chicago/Turabian StyleZhao, Xiaopeng, Qingyu Hai, Miao Shi, Honggang Chen, Yongbo Li, and Yao Qi. 2022. "An Improved Smart Meta-Superconductor MgB2" Nanomaterials 12, no. 15: 2590. https://doi.org/10.3390/nano12152590
APA StyleZhao, X., Hai, Q., Shi, M., Chen, H., Li, Y., & Qi, Y. (2022). An Improved Smart Meta-Superconductor MgB2. Nanomaterials, 12(15), 2590. https://doi.org/10.3390/nano12152590

