Thermal Conductivity Enhancement of Atomic Layer Deposition Surface-Modified Carbon Nanosphere and Carbon Nanopowder Nanofluids
Abstract
:1. Introduction
2. Materials and Methods
2.1. Materials
2.2. Preparation of Nanofluids
2.3. Characterisation Techniques
3. Results and Discussion
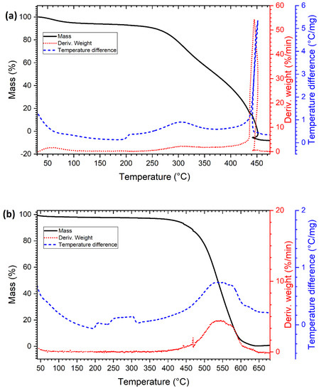
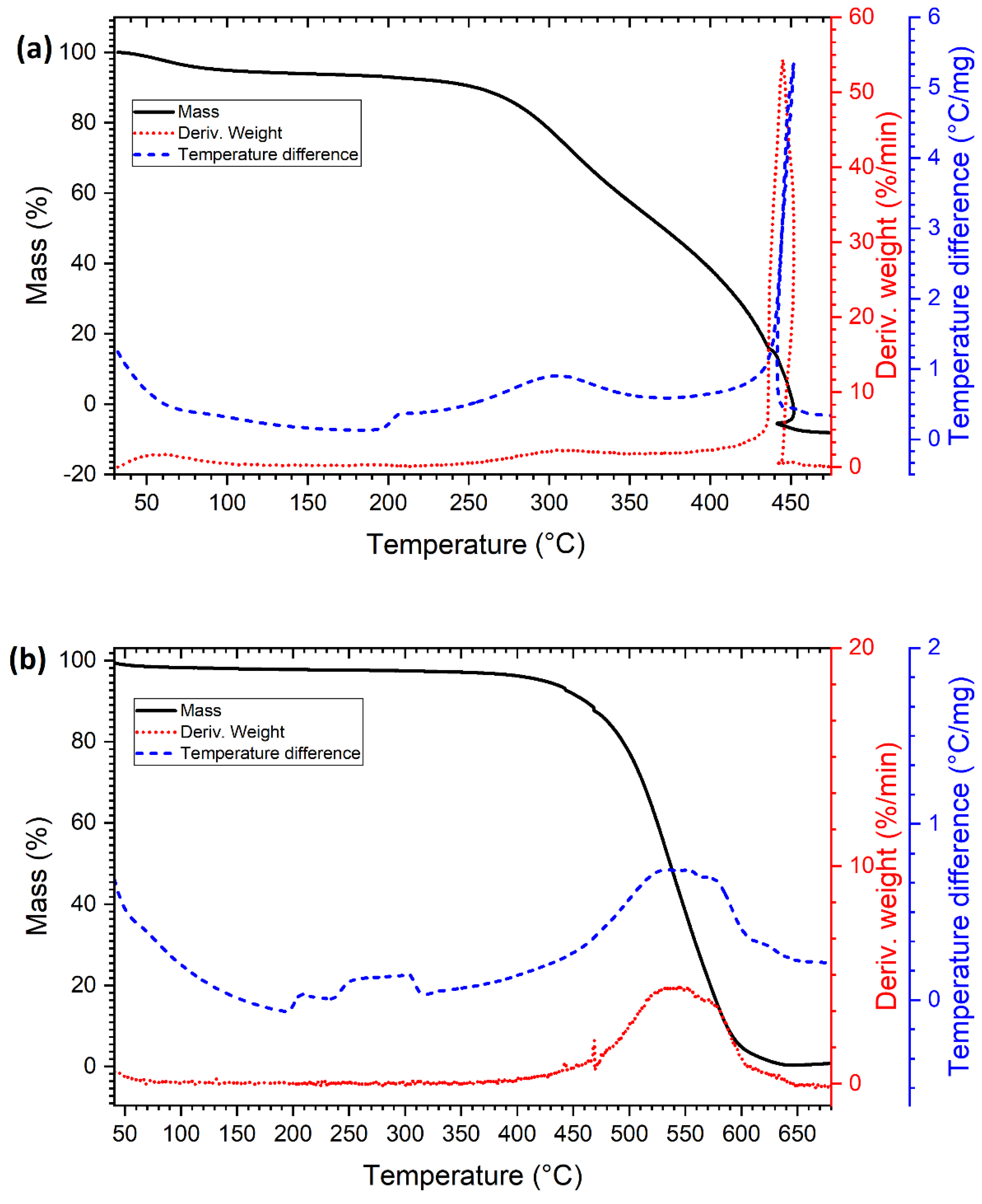
3.1. Characterisation of Nanoparticles
3.2. Properties of Nanofluids
3.2.1. Stability of the Nanofluids
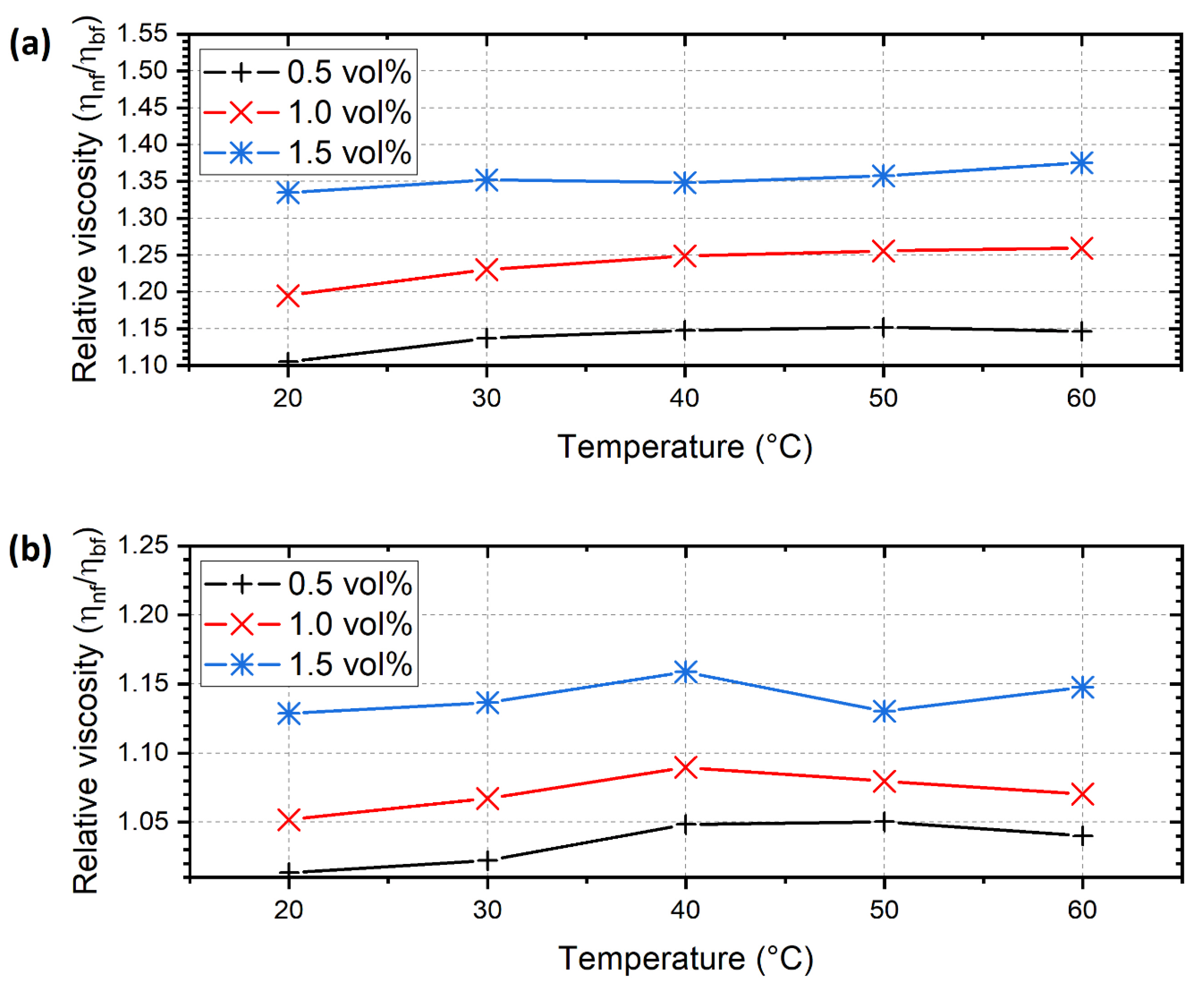
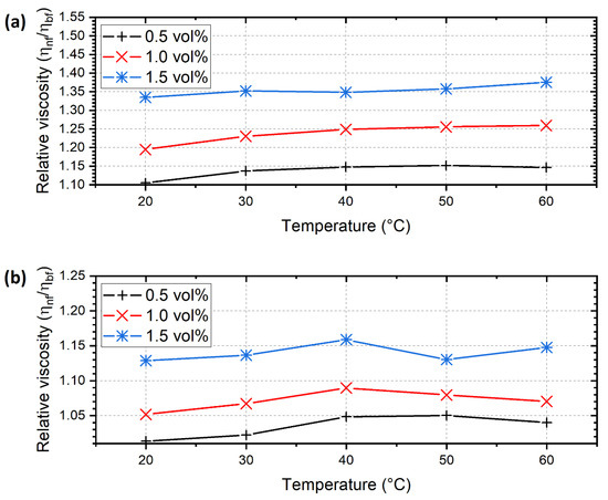
3.2.2. Viscosity of Nanofluids
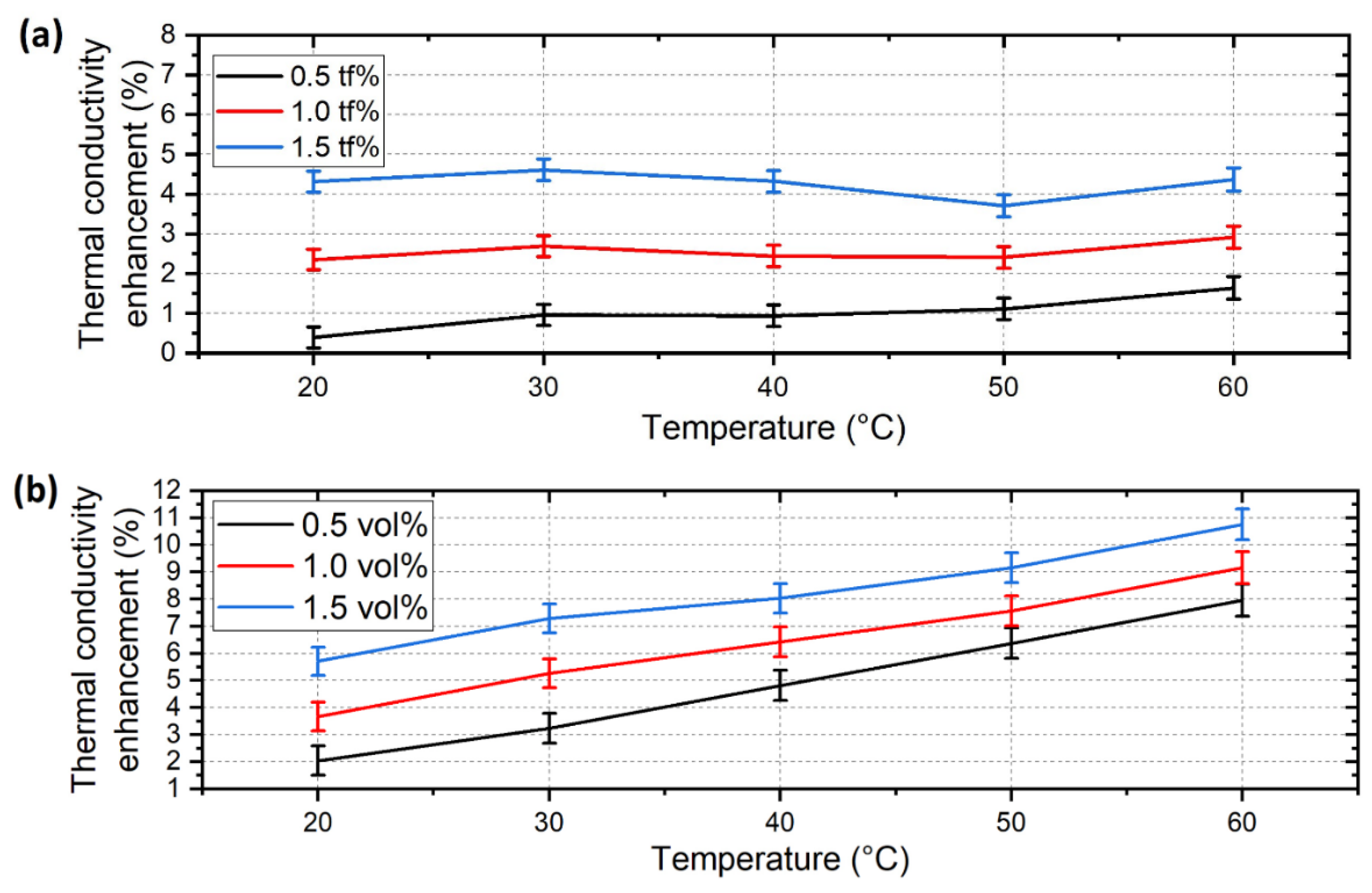
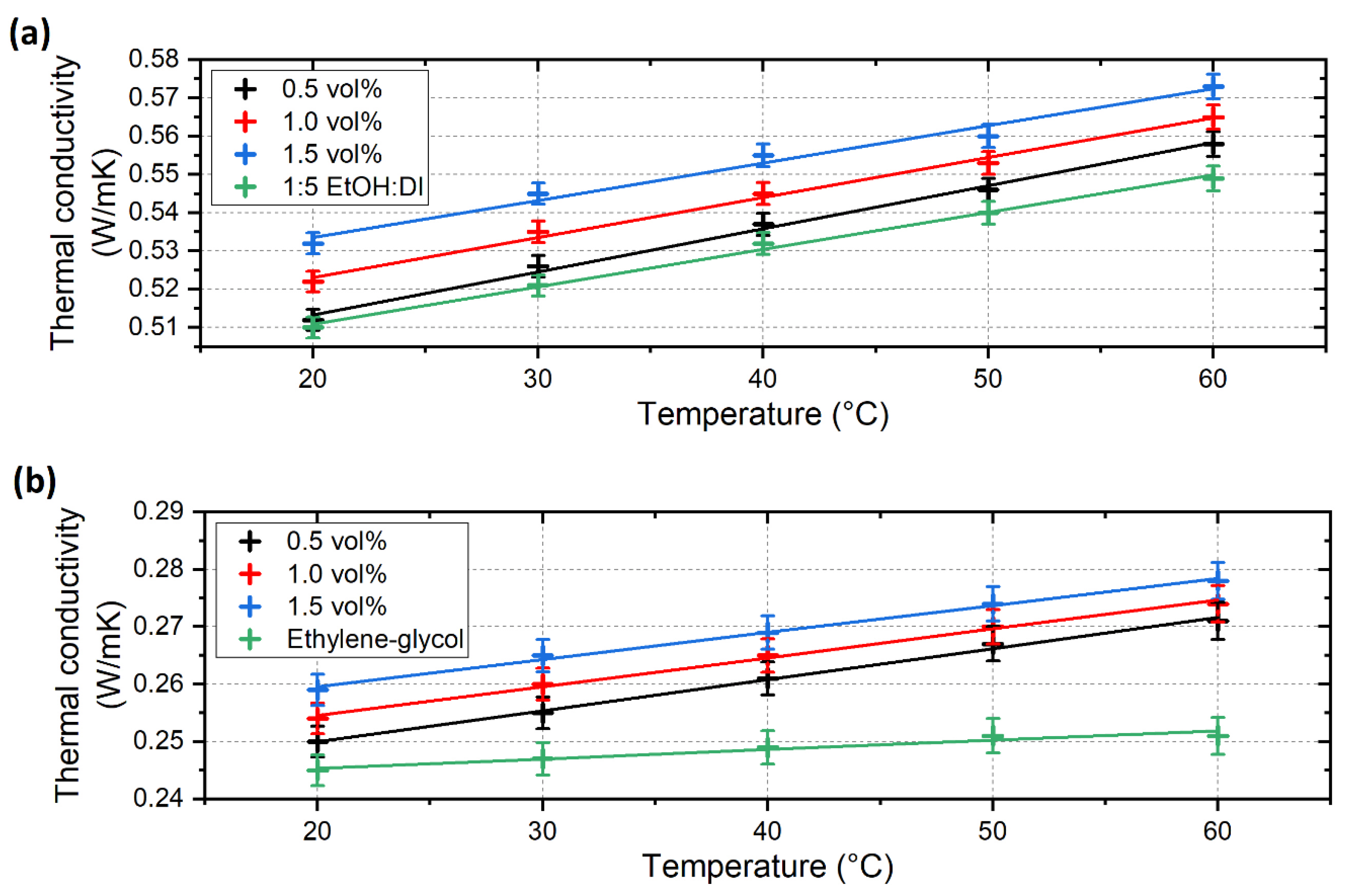
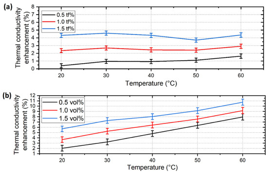
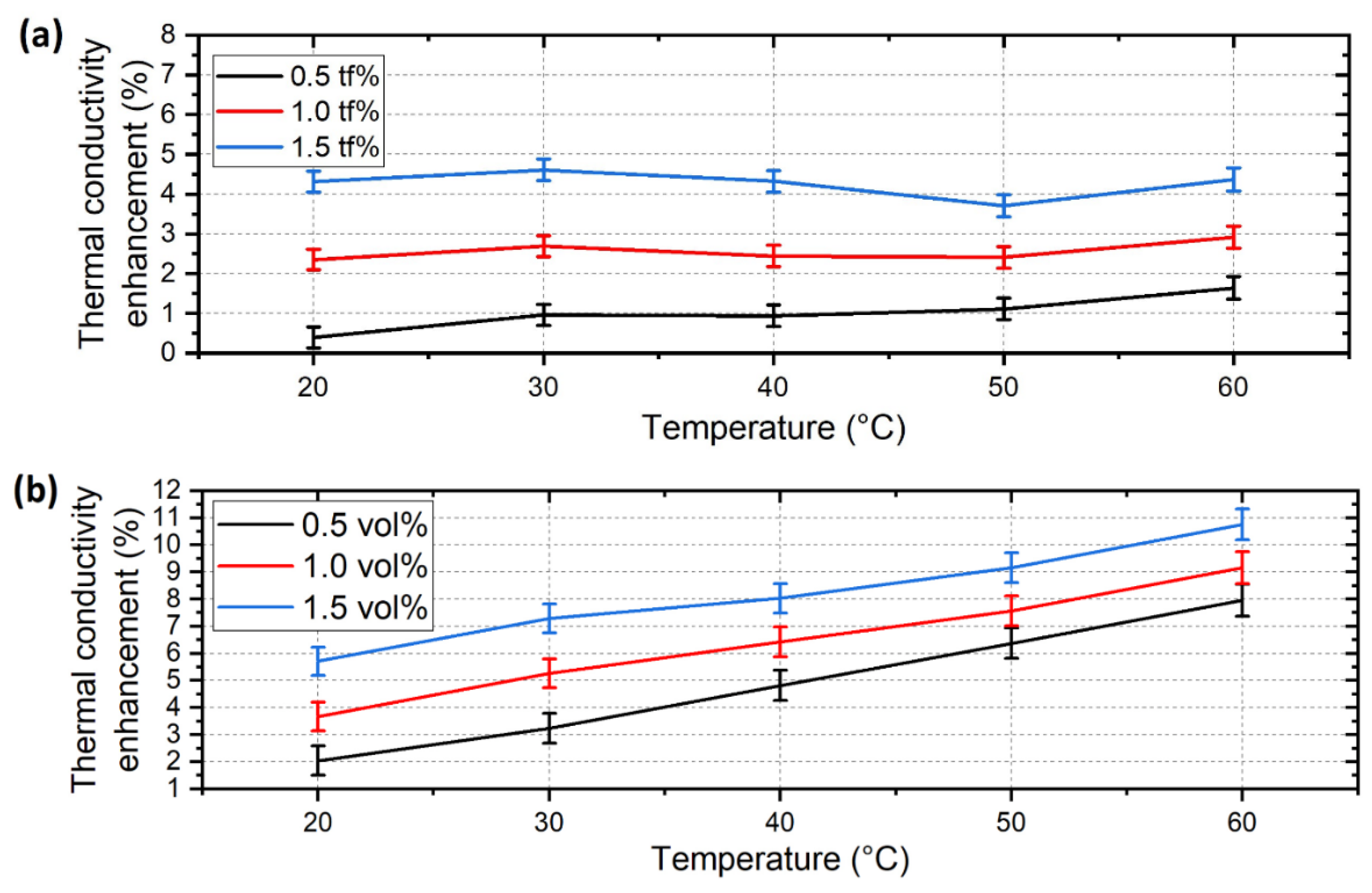
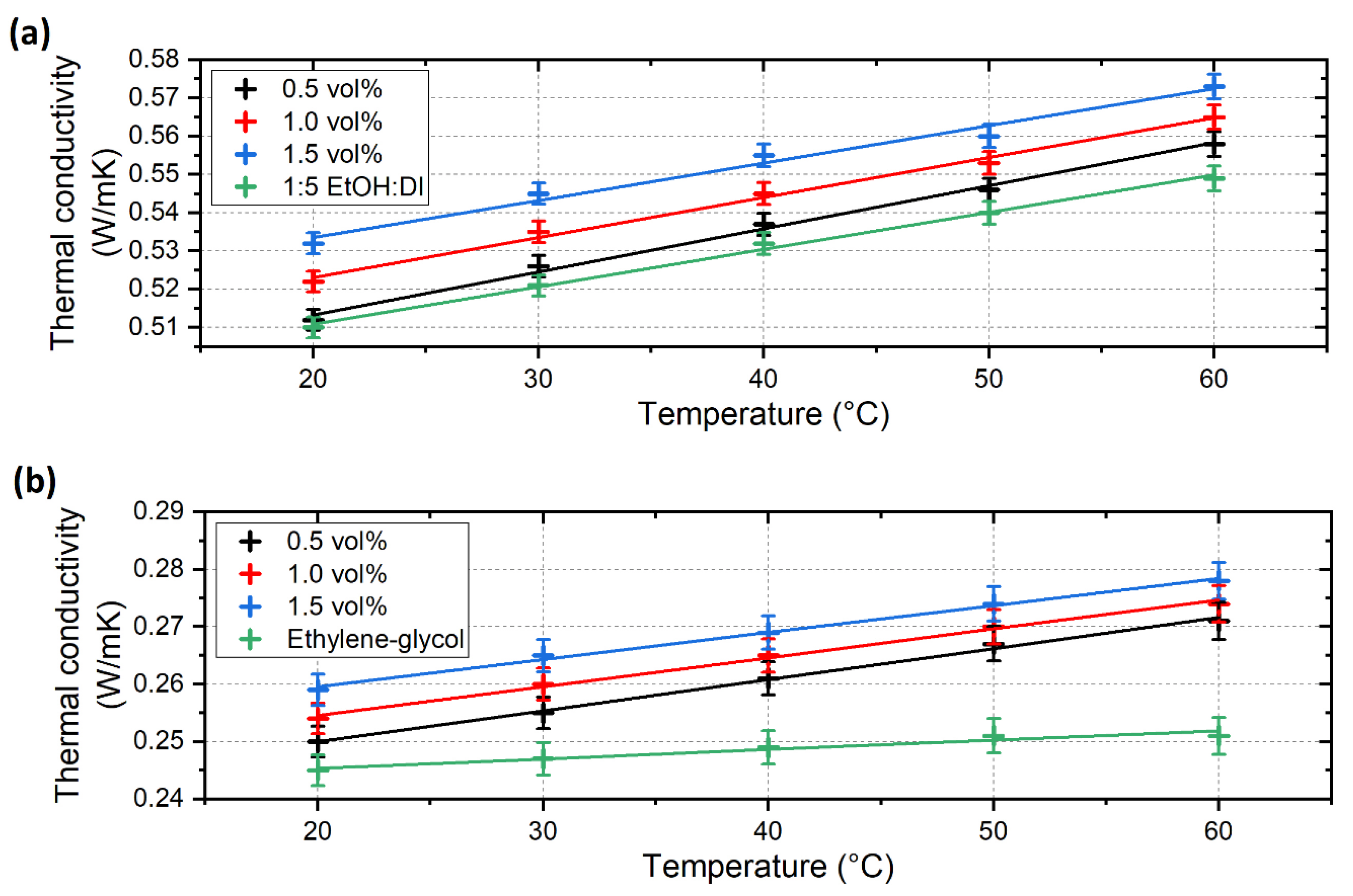
3.2.3. Thermal Conductivity of Nanofluids
4. Conclusions
Author Contributions
Funding
Data Availability Statement
Acknowledgments
Conflicts of Interest
References
- Choi, S.U.S.; Jeffry, A.E. Enhancing Thermal Conductivity of Fluids with Nanoparticles. In Proceedings of the ASME International Mechanical Engineering Congress and Exposition, San Francisco, CA, USA, 12–17 November 1995. [Google Scholar]
- Fuskele, V.; Sarviya, R.M. Recent Developments in Nanoparticles Synthesis, Preparation and Stability of Nanofluids. Mater. Today Proc. 2017, 4, 4049–4060. [Google Scholar] [CrossRef]
- Chamsa-ard, W.; Brundavanam, S.; Fung, C.C.; Fawcett, D.; Poinern, G. Nanofluid Types, Their Synthesis, Properties and Incorporation in Direct Solar Thermal Collectors: A Review. Nanomaterials 2017, 7, 131. [Google Scholar] [CrossRef]
- Huminic, G.; Huminic, A. Hybrid Nanofluids for Heat Transfer Applications—A State-of-the-Art Review. Int. J. Heat Mass Transf. 2018, 125, 82–103. [Google Scholar] [CrossRef]
- Bandarra Filho, E.P.; Mendoza, O.S.H.; Beicker, C.L.L.; Menezes, A.; Wen, D. Experimental Investigation of a Silver Nanoparticle-Based Direct Absorption Solar Thermal System. Energy Convers. Manag. 2014, 84, 261–267. [Google Scholar] [CrossRef]
- Eastman, J.A.; Choi, U.S.; Li, S.; Thompson, L.J.; Lee, S. Enhanced Thermal Conductivity through the Development of Nanofluids. Mater. Res. Soc. Symp. Proc. 1997, 457, 3–11. [Google Scholar] [CrossRef] [Green Version]
- Eastman, J.A.; Choi, S.U.S.; Li, S.; Yu, W.; Thompson, L.J. Anomalously Increased Effective Thermal Conductivities of Ethylene Glycol-Based Nanofluids Containing Copper Nanoparticles. Appl. Phys. Lett. 2001, 78, 718–720. [Google Scholar] [CrossRef]
- Ravi Kumar, N.T.; Bhramara, P.; Sundar, L.S.; Singh, M.K.; Sousa, A.C.M. Heat Transfer, Friction Factor and Effectiveness of Fe3O4 Nanofluid Flow in an Inner Tube of Double Pipe U-Bend Heat Exchanger with and without Longitudinal Strip Inserts. Exp. Therm. Fluid Sci. 2017, 85, 331–343. [Google Scholar] [CrossRef]
- Duangthongsuk, W.; Wongwises, S. Measurement of Temperature-Dependent Thermal Conductivity and Viscosity of TiO2-Water Nanofluids. Exp. Therm. Fluid Sci. 2009, 33, 706–714. [Google Scholar] [CrossRef]
- Prado, J.I.; Vallejo, J.P.; Lugo, L. A New Relationship on Transport Properties of Nanofluids. Evidence with Novel Magnesium Oxide Based n-Tetradecane Nanodispersions. Powder Technol. 2022, 397, 117082. [Google Scholar] [CrossRef]
- Yoo, D.H.; Hong, K.S.; Yang, H.S. Study of Thermal Conductivity of Nanofluids for the Application of Heat Transfer Fluids. Thermochim. Acta 2007, 455, 66–69. [Google Scholar] [CrossRef]
- Mahian, O.; Kianifar, A.; Kalogirou, S.A.; Pop, I.; Wongwises, S. A Review of the Applications of Nanofluids in Solar Energy. Int. J. Heat Mass Transf. 2013, 57, 582–594. [Google Scholar] [CrossRef]
- Struchalin, P.G.; Yunin, V.S.; Kutsenko, K.V.; Nikolaev, O.V.; Vologzhannikova, A.A.; Shevelyova, M.P.; Gorbacheva, O.S.; Balakin, B.V. Performance of a Tubular Direct Absorption Solar Collector with a Carbon-Based Nanofluid. Int. J. Heat Mass Transf. 2021, 179, 121717. [Google Scholar] [CrossRef]
- Li, X.; Chen, W.; Zou, C. The Stability, Viscosity and Thermal Conductivity of Carbon Nanotubes Nanofluids with High Particle Concentration: A Surface Modification Approach. Powder Technol. 2020, 361, 957–967. [Google Scholar] [CrossRef]
- George, S.M. Atomic Layer Deposition: An Overview. Chem. Rev. 2010, 110, 111–131. [Google Scholar] [CrossRef]
- Baghbanzadeh, M.; Rashidi, A.; Rashtchian, D.; Lotfi, R.; Amrollahi, A. Synthesis of Spherical Silica/Multiwall Carbon Nanotubes Hybrid Nanostructures and Investigation of Thermal Conductivity of Related Nanofluids. Thermochim. Acta 2012, 549, 87–94. [Google Scholar] [CrossRef]
- Hemmat Esfe, M.; Wongwises, S.; Naderi, A.; Asadi, A.; Safaei, M.R.; Rostamian, H.; Dahari, M.; Karimipour, A. Thermal Conductivity of Cu/TiO2-Water/EG Hybrid Nanofluid: Experimental Data and Modeling Using Artificial Neural Network and Correlation. Int. Commun. Heat Mass Transf. 2015, 66, 100–104. [Google Scholar] [CrossRef]
- Hemmat Esfe, M.; Abbasian Arani, A.A.; Rezaie, M.; Yan, W.M.; Karimipour, A. Experimental Determination of Thermal Conductivity and Dynamic Viscosity of Ag-MgO/Water Hybrid Nanofluid. Int. Commun. Heat Mass Transf. 2015, 66, 189–195. [Google Scholar] [CrossRef]
- Hemmat Esfe, M.; Alirezaie, A.; Rejvani, M. An Applicable Study on the Thermal Conductivity of SWCNT-MgO Hybrid Nanofluid and Price-Performance Analysis for Energy Management. Appl. Therm. Eng. 2017, 111, 1202–1210. [Google Scholar] [CrossRef]
- Bakhtiari, R.; Kamkari, B.; Afrand, M.; Abdollahi, A. Preparation of Stable TiO2-Graphene/Water Hybrid Nanofluids and Development of a New Correlation for Thermal Conductivity. Powder Technol. 2021, 385, 466–477. [Google Scholar] [CrossRef]
- Van Trinh, P.; Anh, N.N.; Thang, B.H.; Quang, L.D.; Hong, N.T.; Hong, N.M.; Khoi, P.H.; Minh, P.N.; Hong, P.N. Enhanced Thermal Conductivity of Nanofluid-Based Ethylene Glycol Containing Cu Nanoparticles Decorated on a Gr-MWCNT Hybrid Material. RSC Adv. 2017, 7, 318–326. [Google Scholar] [CrossRef] [Green Version]
- Gil-Font, J.; Hatte, M.A.; Bailey, M.R.; Navarrete, N.; Ventura-Espinosa, J.; Goulas, A.; La Zara, D.; van Ommen, J.R.; Mondragón, R.; Hernández, L. Improving Heat Transfer of Stabilised Thermal Oil-Based Tin Nanofluids Using Biosurfactant and Molecular Layer Deposition. Appl. Therm. Eng. 2020, 178, 115559. [Google Scholar] [CrossRef]
- Navarrete, N.; La Zara, D.; Goulas, A.; Valdesueiro, D.; Hernández, L.; van Ommen, J.R.; Mondragón, R. Improved Thermal Energy Storage of Nanoencapsulated Phase Change Materials by Atomic Layer Deposition. Sol. Energy Mater. Sol. Cells 2020, 206, 110322. [Google Scholar] [CrossRef]
- Shang, L.; Qu, J.; Wang, Z.; Zhang, M.; Li, C. Optical Absorption Property and Photo-Thermal Conversion Performance of Ag@Al2O3 Plasmonic Nanofluids with Al2O3 Nano-Shell Fabricated by Atomic Layer Deposition. J. Mol. Liq. 2021, 326, 115388. [Google Scholar] [CrossRef]
- Le Ba, T.; Bohus, M.; Lukács, I.E.; Wongwises, S.; Gróf, G.; Hernadi, K.; Szilágyi, I.M. Comparative Study of Carbon Nanosphere and Carbon Nanopowder on Viscosity and Thermal Conductivity of Nanofluids. Nanomaterials 2021, 11, 608. [Google Scholar] [CrossRef]
- Deshmukh, A.A.; Mhlanga, S.D.; Coville, N.J. Carbon Spheres. Mater. Sci. Eng. R Rep. 2010, 70, 1–28. [Google Scholar] [CrossRef]
- Bakos, L.P.; Justh, N.; Hernádi, K.; Kiss, G.; Réti, B.; Erdélyi, Z.; Parditka, B.; Szilágyi, I.M. Core-Shell Carbon Nanosphere-TiO2 Composite and Hollow TiO2 Nanospheres Prepared by Atomic Layer Deposition. J. Phys. Conf. Ser. 2016, 764, 012005. [Google Scholar] [CrossRef]
- Aarik, J.; Aidla, A.; Mändar, H.; Uustare, T. Atomic Layer Deposition of Titanium Dioxide from TiCl4 and H2O: Investigation of Growth Mechanism. Appl. Surf. Sci. 2001, 172, 148–158. [Google Scholar] [CrossRef]
- Zhang, M.; Yang, H.; Liu, Y.; Sun, X.; Zhang, D.; Xue, D. First Identification of Primary Nanoparticles in the Aggregation of HMF. Nanoscale Res. Lett. 2012, 7, 38. [Google Scholar] [CrossRef] [Green Version]
- León, A.; Reuquen, P.; Garín, C.; Segura, R.; Vargas, P.; Zapata, P.; Orihuela, P.A. FTIR and Raman Characterization of TiO2 Nanoparticles Coated with Polyethylene Glycol as Carrier for 2-Methoxyestradiol. Appl. Sci. 2017, 7, 49. [Google Scholar] [CrossRef]
- Al-Amin, M.; Chandra Dey, S.; Rashid, T.U.; Ashaduzzaman, M.; Shamsuddin, S.M. Solar Assisted Photocatalytic Degradation of Reactive Azo Dyes in Presence of Anatase Titanium Dioxide. Int. J. Latest Res. Eng. Technol. 2016, 2, 14–21. [Google Scholar]









| Nanofluid | A | B | C | R2 |
|---|---|---|---|---|
| ALD-CNS 0.5 vol% | 2.27 | 41.05 | 0.251 | 0.99992 |
| ALD-CNS 1.0 vol% | 2.41 | 40.10 | 0.313 | 0.99991 |
| ALD-CNS 1.5 vol% | 2.76 | 32.87 | 0.486 | 0.99974 |
| ALD CNP 0.5 vol% | 78.6 | 15.18 | 4.36 | 0.98868 |
| ALD CNP 1.0 vol% | 80.10 | 15.51 | 4.34 | 0.98921 |
| ALD CNP 1.5 vol% | 88.19 | 15.19 | 4.69 | 0.98902 |
| Fluid | Equation | R2 |
|---|---|---|
| ALD-CNS 0.5 vol% | λ = 1.12 × 10−3 °C + 0.491 | 0.99276 |
| ALD-CNS 1.0 vol% | λ = 1.04 × 10−3 °C + 0.502 | 0.99175 |
| ALD-CNS 1.5 vol% | λ = 9.73 × 10−4 °C + 0.514 | 0.97576 |
| 1:5 EtOH:Water | λ = 9.76 × 10−4 °C + 0.491 | 0.99386 |
| ALD-CNP 0.5 vol% | λ = 5.42 × 10−4 °C + 0.239 | 0.99491 |
| ALD-CNP 1.0 vol% | λ = 5.04 × 10−4 °C + 0.244 | 0.99368 |
| ALD-CNP 1.5 vol% | λ = 4.73 × 10−4 °C + 0.250 | 0.99302 |
| Ethylene–glycol | λ = 1.64 × 10−4 °C + 0.242 | 0.92986 |
| Ref. | Nanofluid | Thermal Conductivity Increase (%) | Relative Viscosity Increase (%) |
|---|---|---|---|
| - | ALD-CNS (1.5 vol%) | 4.6 | 37.5 |
| - | ALD-CNP (1.5 vol%) | 10.8 | 15.9 |
| [6] | CuO (5 vol%) | 60 | N/A |
| [6] | Al2O3 (5 vol%) | 40 | N/A |
| [7] | Copper (0.3 vol%) | 40 | N/A |
| [9] | TiO2 (2.0 vol%) | 7.2 | 15 |
| [10] | MgO (2.3 vol%) | 17 | 68 |
| [11] | TiO2 (1.0 vol%) | 14.4 | N/A |
| [11] | Al2O3 (1.0 vol%) | 4 | N/A |
| [11] | Fe (0.3 vol%) | 16.5 | N/A |
| [11] | WO3 (0.3 vol%) | 13.8 | N/A |
| [14] | MWCNT (0.5 vol%) | 31.99 | 900 |
| [14] | MWCNT (2.5 vol%) | 69.68 | 2000 |
| [20] | 30:70 Graphene-TiO2 (0.5 vol%) | 27.84 | N/A |
| [21] | Gr-MWCNT/Cu | 41 | N/A |
Publisher’s Note: MDPI stays neutral with regard to jurisdictional claims in published maps and institutional affiliations. |
© 2022 by the authors. Licensee MDPI, Basel, Switzerland. This article is an open access article distributed under the terms and conditions of the Creative Commons Attribution (CC BY) license (https://creativecommons.org/licenses/by/4.0/).
Share and Cite
Bohus, M.; Ba, T.L.; Hernadi, K.; Gróf, G.; Kónya, Z.; Erdélyi, Z.; Parditka, B.; Igricz, T.; Szilágyi, I.M. Thermal Conductivity Enhancement of Atomic Layer Deposition Surface-Modified Carbon Nanosphere and Carbon Nanopowder Nanofluids. Nanomaterials 2022, 12, 2226. https://doi.org/10.3390/nano12132226
Bohus M, Ba TL, Hernadi K, Gróf G, Kónya Z, Erdélyi Z, Parditka B, Igricz T, Szilágyi IM. Thermal Conductivity Enhancement of Atomic Layer Deposition Surface-Modified Carbon Nanosphere and Carbon Nanopowder Nanofluids. Nanomaterials. 2022; 12(13):2226. https://doi.org/10.3390/nano12132226
Chicago/Turabian StyleBohus, Marcell, Thong Le Ba, Klara Hernadi, Gyula Gróf, Zoltán Kónya, Zoltán Erdélyi, Bence Parditka, Tamás Igricz, and Imre Miklós Szilágyi. 2022. "Thermal Conductivity Enhancement of Atomic Layer Deposition Surface-Modified Carbon Nanosphere and Carbon Nanopowder Nanofluids" Nanomaterials 12, no. 13: 2226. https://doi.org/10.3390/nano12132226
APA StyleBohus, M., Ba, T. L., Hernadi, K., Gróf, G., Kónya, Z., Erdélyi, Z., Parditka, B., Igricz, T., & Szilágyi, I. M. (2022). Thermal Conductivity Enhancement of Atomic Layer Deposition Surface-Modified Carbon Nanosphere and Carbon Nanopowder Nanofluids. Nanomaterials, 12(13), 2226. https://doi.org/10.3390/nano12132226

