Numerical Investigation of Graphene and STO Based Tunable Terahertz Absorber with Switchable Bifunctionality of Broadband and Narrowband Absorption
Abstract
:1. Introduction
2. Materials and Methods
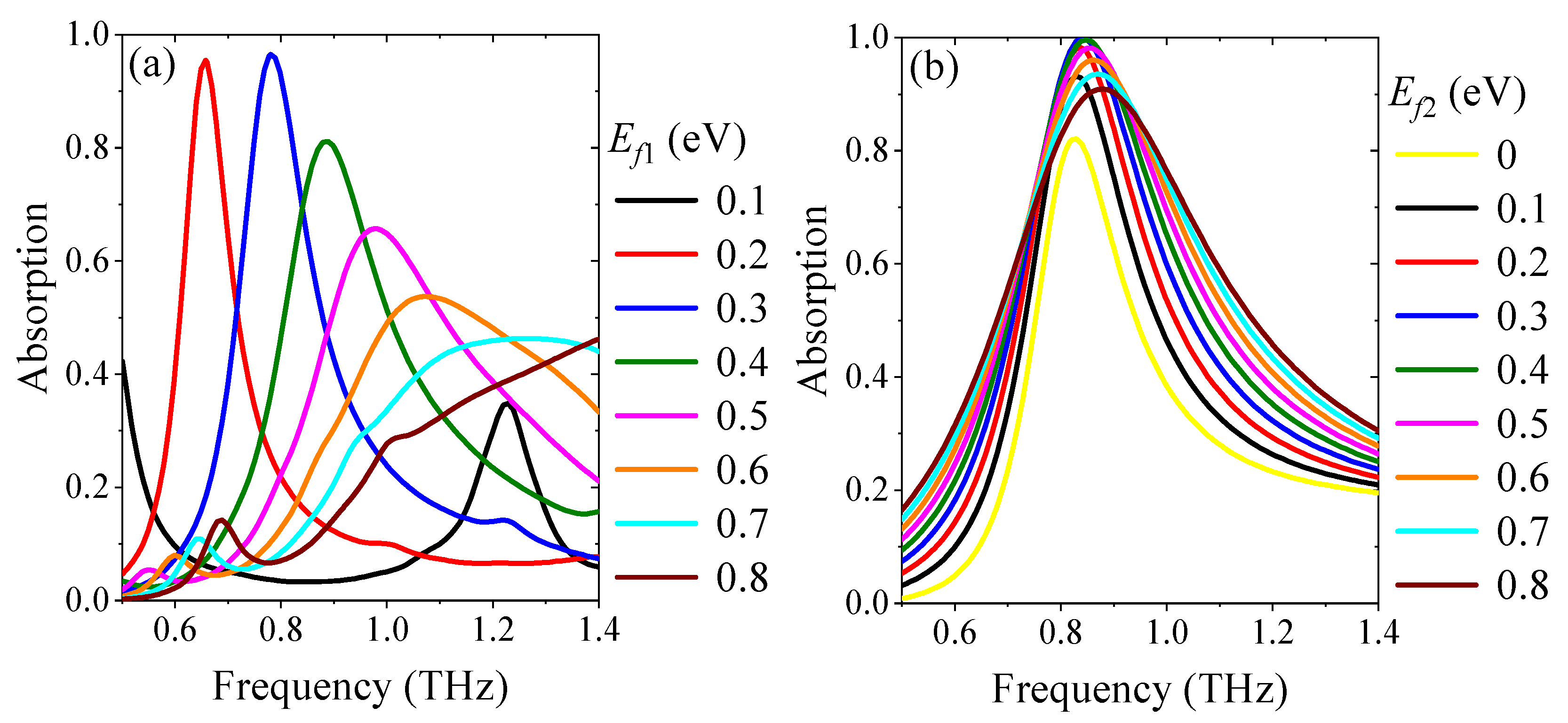
3. Results and Discussion
4. Conclusions
Author Contributions
Funding
Data Availability Statement
Conflicts of Interest
References
- Stanislav, G.; Sergei, T.; Pavel, B.; Yuri, K. Metasurfaces: From microwaves to visible. Phys. Rep. 2016, 634, 1–72. [Google Scholar]
- Zhang, J.; Wu, X.; Liu, L.; Huang, C.; Chen, X. Ultra-broadband microwave metamaterial absorber with tetramethyl urea inclusion. Opt. Express 2019, 207, 25595–25602. [Google Scholar] [CrossRef]
- Shen, H.; Liu, F.; Liu, C.; Zeng, D.; Guo, B.; Wei, Z.; Wang, F.; Tan, C.; Huang, X.; Meng, H. A Polarization-Insensitive and Wide-Angle Terahertz Absorber with Ring-Porous Patterned Graphene Metasurface. Nanomaterials 2020, 10, 1410. [Google Scholar] [CrossRef]
- Zou, H.; Cheng, Y. Design of a six-band terahertz metamaterial absorber for temperature sensing application. Opt. Mater. 2019, 88, 674–679. [Google Scholar] [CrossRef]
- Cheng, Y.; Huang, M.; Chen, H.; Guo, Z. Ultrathin six-band polarization insensitive perfect metamaterial absorber based on a cross-cave patch resonator for terahertz waves. Materials 2017, 10, 591. [Google Scholar] [CrossRef] [Green Version]
- Zhang, S.; Fan, W.; Panoiu, N.C.; Malloy, K.J.; Osgood, R.M.; Brueck, S.R. Experimental Demonstration of Near-infrared Negative-index Metamaterials. Phys. Rev. Lett. 2005, 95, 137404. [Google Scholar] [CrossRef] [PubMed] [Green Version]
- Lenert, A.; Bierman, D.M.; Nam, Y.; Chan, W.R.; Celanovic, I.; Soljacic, M.; Wang, E.N. A Nanophotonic Solar Thermophotovoltaic Device. Nat. Nanotechnol. 2014, 9, 126–130. [Google Scholar] [CrossRef]
- Esfandyarpour, M.; Garnett, E.C.; Cui, Y.; McGehee, M.D.; Brongersma, M.L. Metamaterial Mirrors in Optoelectronic Devices. Nat. Nanotechnol. 2014, 9, 542–547. [Google Scholar] [CrossRef] [PubMed]
- Leonhardt, U. Optical conformal mapping. Science 2006, 312, 1777–1780. [Google Scholar] [CrossRef] [PubMed]
- Ni, X.; Wong, Z.J.; Mrejen, M.; Wang, Y.; Zhang, X. An ultrathin invisibility skin cloak for visible light. Science 2015, 349, 1310–1314. [Google Scholar] [CrossRef] [PubMed]
- Liu, N.; Mesch, M.; Weiss, T.; Hentschel, M.; Giessen, H. Infrared perfect absorber and its application as plasmonic sensor. Nano Lett. 2010, 10, 2342–2348. [Google Scholar] [CrossRef]
- Lochbaum, A.; Fedoryshyn, Y.; Dorodnyy, A.; Koch, U.; Hafner, C.; Leuthold, J. On-Chip Narrowband Thermal Emitter for Mid-IR Optical Gas Sensing. ACS Photonics 2017, 4, 1371–1380. [Google Scholar] [CrossRef] [Green Version]
- Diem, M.; Koschny, T.; Soukoulis, C.M. Wide-angle perfect absorber/thermal emitter in the terahertz regime. Phys. Rev. B 2009, 79, 033101. [Google Scholar] [CrossRef] [Green Version]
- Landy, N.I.; Sajuyigbe, S.; Mock, J.J.; Smith, D.R.; Padilla, W.J. Perfect metamaterial absorber. Phys. Rev. Lett. 2008, 100, 207402. [Google Scholar] [CrossRef] [PubMed]
- Chen, S.; Chen, Z.; Liu, J.; Cheng, J.; Zhou, Y.; Xiao, L.; Chen, K. Ultra-narrow band mid-infrared perfect absorber based on hybrid dielectric metasurface. Nanomaterials 2019, 9, 1350. [Google Scholar] [CrossRef] [PubMed] [Green Version]
- Luo, S.; Zhao, J.; Zuo, D.; Wang, X. Perfect narrow band absorber for sensing applications. Opt. Express 2016, 24, 9288–9294. [Google Scholar] [CrossRef] [PubMed]
- Abdulkarim, Y.I.; Alkurt, F.Ö.; Awl, H.N.; Muhammadsharif, F.F.; Bakır, M.; Dalgac, S.; Karaaslan, M.; Luo, H. An ultrathin and dual band metamaterial perfect absorber based on znse for the polarization-independent in terahertz range. Results Phys. 2021, 26, 104344. [Google Scholar] [CrossRef]
- Liu, Y.; Zhong, R.B.; Huang, J.B.; Lv, Y.L.; Liu, S.G. Independently tunable multi-band and ultra-wide-band absorbers based on multilayer metal-graphene metamaterials. Opt. Express 2019, 27, 7393–7404. [Google Scholar] [CrossRef]
- Wang, J.; Lang, T.; Hong, Z.; Xiao, M.; Yu, J. Design and Fabrication of a Triple-Band Terahertz Metamaterial Absorber. Nanomaterials 2021, 11, 1110. [Google Scholar] [CrossRef]
- Zhang, M.; Zhang, F.; Ou, Y.; Cai, J.; Yu, H. Broadband terahertz absorber based on dispersion-engineered catenary coupling in dual metasurface. Nanophotonics 2019, 8, 117–125. [Google Scholar] [CrossRef] [Green Version]
- Kenney, M.; Grant, J.; Shah, Y.D.; Escorcia-Carranza, I.; Humphreys, M.; Cumming, D.R.S. Octave-spanning broadband absorption of terahertz light using metasurface fractal-cross absorbers. ACS Photonics 2017, 4, 2604–2612. [Google Scholar] [CrossRef]
- Xie, T.; Chen, D.; Yang, H.; Xu, Y.; Zhang, Z.; Yang, J. Tunable Broadband Terahertz Waveband Absorbers Based on Fractal Technology of Graphene Metamaterial. Nanomaterials 2021, 11, 269. [Google Scholar] [CrossRef] [PubMed]
- Liu, Y.; Huang, R.; Ouyang, Z.B. Terahertz absorber with dynamically switchable dual-broadband based on a hybrid metamaterial with vanadium dioxide and graphene. Opt. Express 2021, 29, 20839–20850. [Google Scholar] [CrossRef]
- Sámson, Z.L.; MacDonald, K.F.; De Angelis, F.; Gholipour, B.; Knight, K.; Huang, C.C.; Di Fabrizio, E.; Hewak, D.W.; Zheludev, N.I. Metamaterial electro-optic switch of nanoscale thickness. Appl. Phys. Lett. 2010, 96, 143105. [Google Scholar] [CrossRef] [Green Version]
- Wang, L.; Ge, S.; Hu, W.; Nakajima, M.; Lu, Y. Graphene-assisted high-efficiency liquid crystal tunable terahertz metamaterial absorber. Opt. Express 2017, 25, 23873–23879. [Google Scholar] [CrossRef]
- Kim, H.K.; Lee, D.; Lim, S. Wideband-switchable metamaterial absorber using injected liquid metal. Sci. Rep. 2016, 6, 31823. [Google Scholar] [CrossRef] [Green Version]
- Liu, Y.; Zhong, R.B.; Lian, Z.; Bu, C.; Liu, S.G. Dynamically tunable band stop filter enabled by the metal-graphene metamaterials. Sci. Rep. 2018, 8, 2828. [Google Scholar] [CrossRef] [PubMed]
- Qi, Y.; Zhang, Y.; Liu, C.; Zhang, T.; Zhang, B.; Wang, L.; Deng, X.; Wang, X.; Yu, Y. A Tunable Terahertz Metamaterial Absorber Composed of Hourglass-Shaped Graphene Arrays. Nanomaterials 2020, 10, 533. [Google Scholar] [CrossRef] [Green Version]
- Christensen, J.; Manjavacas, A.; Thongrattanasiri, S.; Koppens, F.H.L.; Abajo, F.J.G.D. Graphene plasmon waveguiding and hybridization in individual and paired nanoribbons. ACS Nano 2012, 6, 431–440. [Google Scholar] [CrossRef] [Green Version]
- Abajo, F.J.G.D. Graphene Plasmonics: Challenges and Opportunities. ACS Photonics 2014, 1, 135–152. [Google Scholar] [CrossRef] [Green Version]
- Ergoktas, M.S.; Bakan, G.; Kovalska, E.; Le Fevre, L.W.; Fields, R.P.; Steiner, P.; Yu, X.; Salihoglu, O.; Balci, S.; Fal’ko V., I.; et al. Multispectral graphene-based electro-optical surfaces with reversible tunability from visible to microwave wavelengths. Nat. Photonics 2021, 15, 493–498. [Google Scholar] [CrossRef]
- Miao, X.; Tongay, S.; Petterson, M.K.; Berke, K.; Rinzler, A.G.; Appleton, B.R.; Hebard, A.F. High efficiency graphene solar cells by chemical doping. Nano Lett. 2012, 12, 2745–2750. [Google Scholar] [CrossRef] [Green Version]
- Liu, C.H.; Chang, Y.C.; Norris, T.B.; Zhong, Z. Graphene photodetectors with ultra-broadband and high responsivity at room temperature. Nat. Nanotechnol. 2014, 9, 273–278. [Google Scholar] [CrossRef] [PubMed]
- Yao, Y.; Kats, M.A.; Shankar, R.; Song, Y.; Kong, J.; Loncar, M.; Capasso, F. Wide wavelength tuning of optical antennas on graphene with nanosecond response time. Nano Lett. 2014, 14, 214–219. [Google Scholar] [CrossRef] [PubMed]
- Abergel, D.S.L.; Russell, A.; Fal’k, V.I. Visibility of graphene flakes on a dielectric substrate. Appl. Phys. Lett. 2007, 91, 063125. [Google Scholar] [CrossRef] [Green Version]
- Wurstbauer, U.; Roeling, C.; Wurstbauer, U.; Wegscheider, W.; Vaupel, M.; Thiesen, P.H.; Weiss, D. Imaging ellipsometry of graphene. Appl. Phys. Lett. 2010, 97, 231901. [Google Scholar] [CrossRef] [Green Version]
- Peters, K.; Tittel, A.; Gayer, N.; Graf, A.; Paulava, V.; Wurstbauer, U.; Hansen, W. Enhancing the visibility of graphene on GaAs. Appl. Phys. Lett. 2011, 99, 191912. [Google Scholar] [CrossRef]
- Cheon, S.; Kihm, K.D.; Park, J.S.; Lee, J.S.; Lee, B.J.; Kim, H.; Hong, B.H. How to optically count graphene layers. Opt. Lett. 2012, 37, 3765–3767. [Google Scholar] [CrossRef]
- Sahabudeen, H.; Qi, H.; Glatz, B.A.; Tranca, D.; Dong, R.; Hou, Y.; Zhang, T.; Kuttner, C.; Lehnert, T.; Seifert, G.; et al. Wafer-sized multifunctional polyimine-based two-dimensional conjugated polymers with high mechanical stiffness. Nat. Commun. 2016, 7, 13461. [Google Scholar] [CrossRef]
- Benthem, K.; Elsässer, C. Bulk electronic structure of SrTiO3: Experiment and theory. Appl. Phys. 2001, 90, 6156–6164. [Google Scholar] [CrossRef] [Green Version]
- Huang, X.; Yang, F.; Gao, B.; Wei, J. Metamaterial absorber with independently tunable amplitude and frequency in the terahertz regime. Opt. Express 2019, 27, 25902–25911. [Google Scholar] [CrossRef]
- Liu, G.D.; Zhai, X.; Meng, H.Y.; Lin, Q.; Huang, Y.; Zhao, C.J.; Wang, L.L. Dirac semimetals based tunable narrowband absorber at terahertz frequencies. Opt. Express 2018, 26, 11471–11480. [Google Scholar] [CrossRef] [PubMed]
- Wang, T.L.; Cao, M.Y.; Zhang, H.Y.; Zhang, Y.P. Tunable terahertz metamaterial absorber based on Dirac semimetal films. Appl. Optics 2018, 57, 9555–9561. [Google Scholar] [CrossRef]
- Wu, T.; Shao, Y.B.; Ma, S.A.; Wang, G.; Gao, Y.C. Broadband terahertz absorber with tunable frequency and bandwidth by using Dirac semimetal and strontium titanate. Opt. Express 2021, 29, 7713–7723. [Google Scholar] [CrossRef] [PubMed]
- Feng, H.; Xu, Z.X.; Li, K.; Wang, M.; Xie, W.L.; Luo, Q.P.; Chen, B.Y.; Kong, W.J.; Yun, M.J. Tunable polarization-independent and angle-insensitive broadband terahertz absorber with graphene metamaterials. Opt. Express 2021, 29, 7158–7167. [Google Scholar] [CrossRef] [PubMed]
- Song, Z.Y.; Chen, A.P.; Zhang, J.H. Terahertz switching between broadband absorption and narrowband absorption. Opt. Express 2020, 28, 2037–2044. [Google Scholar] [CrossRef]
- Zhang, M.; Song, Z.Y. Terahertz bifunctional absorber based on a graphene-spacer-vanadium dioxide-spacer-metal configuration. Opt. Express 2020, 28, 11780–11788. [Google Scholar] [CrossRef]
- Xu, K.; Li, J.X.; Zhang, A.X.; Chen, Q. Tunable multi-band terahertz absorber using a single-layer square graphene ring structure with T-shaped graphene strips. Opt. Express 2020, 28, 11482–11492. [Google Scholar] [CrossRef]
- Harada, Y.; Ukhtary, M.S.; Wang, M.; Srinivasan, S.K.; Hasdeo, E.H.; Nugraha, A.R.T.; Noe, G.T.; Sakai, Y.; Vajtai, R.; Ajayan, P.M.; et al. Giant Terahertz-Wave Absorption by Monolayer Graphene in a Total Internal Reflection Geometry. ACS Photonics 2016, 4, 121–126. [Google Scholar] [CrossRef] [Green Version]
- Zhu, H.; Zhang, Y.; Ye, L.; Li, Y.; Xu, R. Switchable and tunable terahertz metamaterial absorber with broadband and multi-band absorption. Opt. Express 2020, 28, 38626–38637. [Google Scholar] [CrossRef]
- Jadidi, M.M.; Sushkov, A.B.; Myers-Ward, R.L.; Boyd, A.K.; Daniels, K.M.; Gaskill, D.K.; Fuhrer, M.S.; Drew, H.D.; Murphy, T.E. Tunable terahertz hybrid metal-graphene plasmons. Nano Lett. 2015, 15, 7099–7104. [Google Scholar] [CrossRef] [PubMed] [Green Version]
- Yan, R.; Arezoomandan, S.; Sensale-Rodriguez, B.; Xing, H.G. Exceptional Terahertz Wave Modulation in Graphene Enhanced by Frequency Selective Surfaces. ACS Photonics 2016, 3, 315–323. [Google Scholar] [CrossRef]
- Hanson, G.W. Quasi-transverse electromagnetic modes supported by a graphene parallel-plate waveguide. J. Appl. Phys. 2008, 104, 183. [Google Scholar] [CrossRef]
- Kužel, P.; Kadlec, F. Tunable structures and modulators for THz light. C. R. Phys. 2008, 9, 197–214. [Google Scholar] [CrossRef]
- Radcliff, R.D.; Balanis, C.A. Modified propagation constants for nonuniform plane wave transmission through conducting media. IEEE Trans. Geosci. Remote Sens. 1982, GE-20, 408–411. [Google Scholar] [CrossRef]










| Ref. | Functionality | Dynamically Tunable Ability | |||
|---|---|---|---|---|---|
| BW (THz) | ROC of BW | fc (THz) with Absorptance > 90% | ROC of fc | ||
| [42] | Narrowband absorption | \ | \ | Tunable from 1.395 to 1.381 | 1% |
| [43] | Narrowband absorption | \ | \ | Tunable from 5.0 to 5.6 | 12% |
| [44] | Broadband absorption | Tunable 0.66 to 0.81 with BW > 80% | 22.7% | Tunable from 1.325 to 1.555 | 17% |
| [45] | Broadband absorption | Fixed | \ | Fixed | \ |
| [46] | Broadband and narrowband absorption | Fixed | \ | Broadband: fixed Narrowband: fixed | \ |
| [47] | Broadband and narrowband absorption | Tunable from 0.725 (about) to 1.3 with BW > 90% | 80% | Broadband: nearly fixed; Narrowband: tunable from 1.1 to 1.4 (about) | 27% for narrowband |
| This work | Broadband and narrow-band absorption | Tunable from 0.12 to 0.38 with BW > 90% | 216.6% | Broadband: tunable from 0.8 to 0.97; Narrowband: tunable from 0.56 to 0.84 | 21% for broadband; 50% for narrowband |
Publisher’s Note: MDPI stays neutral with regard to jurisdictional claims in published maps and institutional affiliations. |
© 2021 by the authors. Licensee MDPI, Basel, Switzerland. This article is an open access article distributed under the terms and conditions of the Creative Commons Attribution (CC BY) license (https://creativecommons.org/licenses/by/4.0/).
Share and Cite
Liu, Y.; Huang, R.; Ouyang, Z. Numerical Investigation of Graphene and STO Based Tunable Terahertz Absorber with Switchable Bifunctionality of Broadband and Narrowband Absorption. Nanomaterials 2021, 11, 2044. https://doi.org/10.3390/nano11082044
Liu Y, Huang R, Ouyang Z. Numerical Investigation of Graphene and STO Based Tunable Terahertz Absorber with Switchable Bifunctionality of Broadband and Narrowband Absorption. Nanomaterials. 2021; 11(8):2044. https://doi.org/10.3390/nano11082044
Chicago/Turabian StyleLiu, Yan, Rui Huang, and Zhengbiao Ouyang. 2021. "Numerical Investigation of Graphene and STO Based Tunable Terahertz Absorber with Switchable Bifunctionality of Broadband and Narrowband Absorption" Nanomaterials 11, no. 8: 2044. https://doi.org/10.3390/nano11082044
APA StyleLiu, Y., Huang, R., & Ouyang, Z. (2021). Numerical Investigation of Graphene and STO Based Tunable Terahertz Absorber with Switchable Bifunctionality of Broadband and Narrowband Absorption. Nanomaterials, 11(8), 2044. https://doi.org/10.3390/nano11082044

