Flexible Control of Two-Channel Transmission and Group Delay in an Optomechanical System with Double Quantum Dots Driven by External Field
Abstract
1. Introduction
2. Model and Theoretical Formalism
3. Results and Discussion
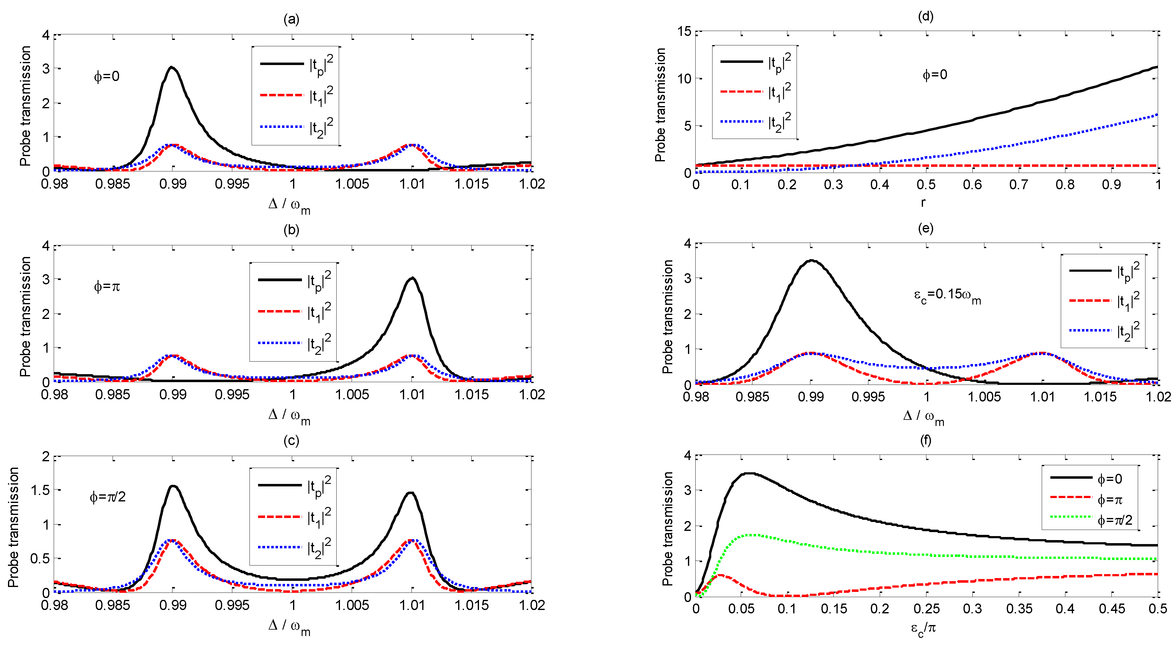
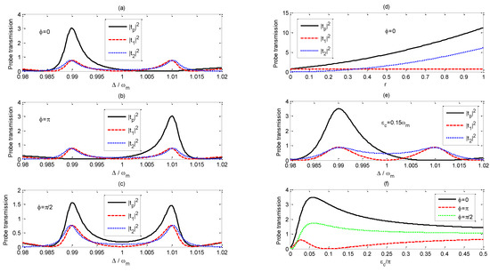
3.1. Phase-Controlled Two-Channel Selective Transmission
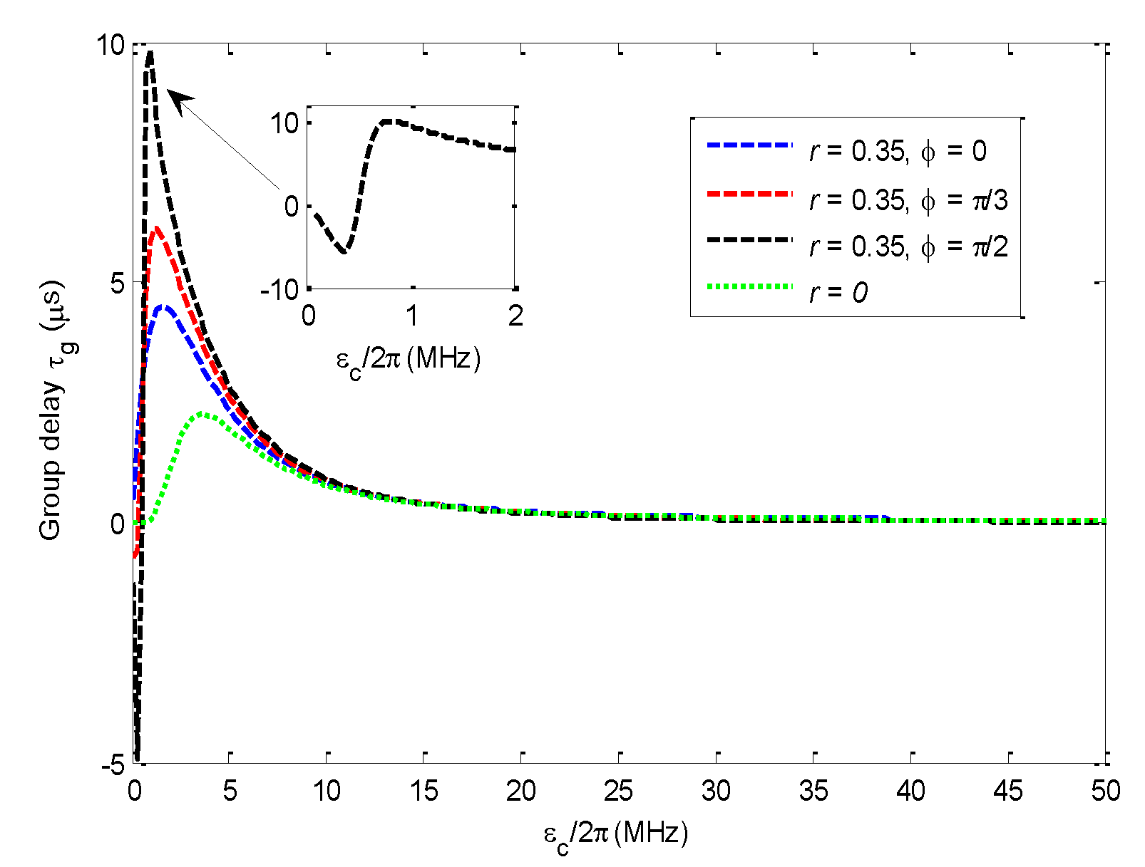
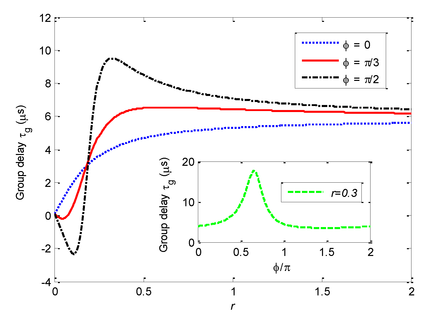
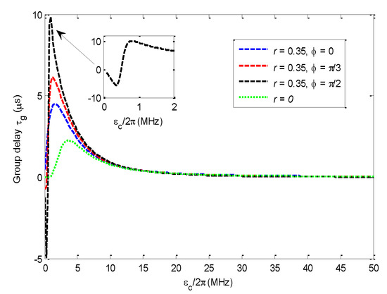
3.2. Group Time Delay Effect
4. Conclusions
Author Contributions
Funding
Data Availability Statement
Conflicts of Interest
References
- Aspelmeyer, M.; Kippenberg, T.J.; Marquardt, F. Cavity Optomechanics; Springer: Berlin/Heidelberg, Germany, 2014. [Google Scholar]
- Chan, J.; Alegre, T.P.M.; Safavi-Naeini, A.H.; Hill, J.T.; Krause, A.; Groblacher, S.; Aspelmeyer, M.; Painter, O. Laser cooling of a nanomechanical oscillator into its quantum ground state. Nature 2011, 478, 89–92. [Google Scholar] [CrossRef] [PubMed]
- Gavartin, E.; Verlot, P.; Kippenberg, T.J. A hybrid on-chip optomechanical transducer for ultrasensitive force measurements. Nat. Nanotechnol. 2012, 7, 509–514. [Google Scholar] [CrossRef] [PubMed]
- Lü, X.Y.; Wu, Y.; Johansson, J.R.; Jing, H.; Zhang, J.; Nori, F. Squeezed Optomechanics with Phase-Matched Amplification and Dissipation. Phys. Rev. Lett. 2015, 114, 093602. [Google Scholar] [CrossRef]
- Agarwal, G.S.; Huang, S. Electromagnetically induced transparency in mechanical effects of light. Phys. Rev. A 2010, 81, 041803. [Google Scholar] [CrossRef]
- Weis, S.; Riviere, R.; Deleglise, S.; Gavartin, E.; Arcizet, O.; Schliesser, A.; Kippenberg, T.J. Optomechanically Induced Transparency. Science 2010, 330, 1520–1523. [Google Scholar] [CrossRef]
- Fleischhauer, M.; Immamoglu, A.; Marangos, J.P. Electromagnetically induced transparency: Optics in coherent media. Rev. Mod. Phys. 2005, 77, 633–673. [Google Scholar] [CrossRef]
- Safavi-Naeini, A.H.; Mayer, A.T.P.; Chan, J.; Eichen-field, M.; Winger, M.; Lin, Q.; Hill, J.T.; Chang, D.E.; Painter, O. Electromagnetically induced transparency and slow light with optomechanics. Nature 2011, 472, 69–73. [Google Scholar] [CrossRef] [PubMed]
- Zhang, J.Q.; Li, Y.; Feng, M.; Xu, Y. Precision measurement of electrical charge with optomechanically induced transparency. Phys. Rev. A 2012, 86, 053806. [Google Scholar] [CrossRef]
- Chang, D.; Safavi-Naeini, A.H.; Hafezi, M.; Painter, O. Slowing and stopping light using an optomechanical crystal array. New J. Phys. 2011, 13, 023003. [Google Scholar] [CrossRef]
- Shahidani, S.; Naderi, M.H.; Soltanolkotabi, M. Control and manipulation of electromagnetically induced transparency in a nonlinear optomechanical system with two movable mirrors. Phys. Rev. A 2013, 88, 053813. [Google Scholar] [CrossRef]
- Wu, Q.; Zhang, J.-Q.; Wu, J.-H.; Feng, M.; Zhang, Z.-M. Tunable multi-channel inverse optomechanically induced transparency and its applications. Opt. Express 2015, 23, 18534–18547. [Google Scholar] [CrossRef]
- Ma, P.C.; Zhang, J.Q.; Xiao, Y.; Feng, M.; Zhang, Z.M. Tunable double optomechanically induced transparency in an optomechanical system. Phys. Rev. A 2014, 90, 043825. [Google Scholar] [CrossRef]
- Wang, H.; Gu, X.; Liu, Y.; Miranowicz, A.; Nori, F. Optomechanical analog of two-color electromagnetically induced transparency: Photon transmission through an optomechanical device with a two-level system. Phys. Rev. A 2014, 90, 023817. [Google Scholar] [CrossRef]
- Jiang, C.; Jiang, L.; Yu, H.L.; Cui, Y.S.; Li, X.W.; Chen, G.B. Fano resonance and slow light in hybrid optomechanics mediated by a two-level system. Phys. Rev. A 2017, 96, 053821. [Google Scholar] [CrossRef]
- Yan, M.; Rickey, E.G.; Zhu, Y. Nonlinear absorption by quantum interference in cold atoms. Opt. Lett. 2001, 26, 548–550. [Google Scholar] [CrossRef] [PubMed]
- Li, S.; Yang, X.; Cao, X.; Zhang, C.; Xie, C.; Wang, H. Enhanced Cross-Phase Modulation Based on a Double Electromagnetically Induced Transparency in a Four-Level Tripod Atomic System. Phys. Rev. Lett. 2008, 101, 073602. [Google Scholar] [CrossRef] [PubMed]
- Kumar, P.; Dasgupta, S. Optical switching and bistability in four-level atomic systems. Phys. Rev. A 2016, 94, 023851. [Google Scholar] [CrossRef]
- Yang, C.; Wei, X.R.; Sheng, J.T.; Wu, H.B. Phonon heat transport in cavity-mediated optomechanical nanoresonators. Nat. Commun. 2020, 11, 4656. [Google Scholar] [CrossRef] [PubMed]
- Shi, H.Q.; Xu, X.W.; Liu, N.H. Phonon blockade in a nanomechanical resonator quadratically coupled to a two-level system. Sci. Rep. 2019, 9, 8754. [Google Scholar] [CrossRef]
- Zheng, L.L.; Yin, T.S.; Qian, B.; Lü, X.Y.; Wu, Y. Single-photon-induced phonon blockade in a hybrid spin-optomechanical system. Phys. Rev. A 2019, 99, 013804. [Google Scholar] [CrossRef]
- Tang, J.S.; Wu, Y.; Wang, Z.K.; Sun, H.; Tang, L.; Zhang, H.; Li, T.; Lu, Y.Q.; Xiao, M.; Xia, K.Y. Vacuum-induced surface-acoustic-wave phonon blockade. Phys. Rev. A 2020, 101, 053802. [Google Scholar] [CrossRef]
- Xiong, H.; Wu, Y. Fundamentals and applications of optomechanically induced transparency. App. Phys. Rev. 2018, 5, 031305. [Google Scholar] [CrossRef]
- Jia, W.Z.; Wei, L.F.; Li, Y.; Liu, Y.X. Phase-dependent optical response properties in an optomechanical system by coherently driving the mechanical resonator. Phys. Rev. A 2015, 91, 043843. [Google Scholar] [CrossRef]
- Fan, L.; Fong, K.Y.; Poot, M.; Tang, H.X. Cascaded optical transparency in multimode-cavity optomechanical systems. Nat. Commun. 2015, 6, 5850. [Google Scholar] [CrossRef]
- Xu, X.-W.; Li, Y. Controllable optical output fields from an optomechanical system with mechanical driving. Phys. Rev. A 2015, 92, 023855. [Google Scholar] [CrossRef]
- Han, C.M.; Chen, H.; Liu, W.X.; Fang, A.P.; Li, H.R. Force-dependent induced transparency in an atom-assisted optomechanical system. Opt. Commun. 2019, 437, 153–159. [Google Scholar] [CrossRef]
- Jiang, C.; Cui, Y.S.; Zhai, Z.Y.; Yu, H.L.; Li, X.W.; Chen, G.B. Phase-controlled amplification and slow light in a hybrid optomechanical system. Opt. Express 2019, 27, 30473–30485. [Google Scholar] [CrossRef]
- Zhang, Y.C.; Yan, K.Y.; Zhai, Z.Y.; Bian, X.T.; Zuo, F.; Yu, H.L.; Jiang, C. Mechanical driving mediated slow light in quadratically coupled optomechanical systems. J. Opt. Soc. Am. B 2020, 37, 650–657. [Google Scholar] [CrossRef]
- Zhu, Y.J.; Bai, C.H.; Wang, T.; Wang, D.Y.; Zhang, S.; Wang, H.F. Optomechanically induced transparency, amplification, and fast–slow light transitions in an optomechanical system with multiple mechanical driving phases. J. Opt. Soc. Am. B 2020, 37, 888–893. [Google Scholar] [CrossRef]
- Sohail, A.; Ahmed, R.; Yu, C.S. Switchable and Enhanced Absorption via Qubit-Mechanical Nonlinear Interaction in a Hybrid Optomechanical System. Int. J. Theor. Phys. 2021, 60, 739–753. [Google Scholar] [CrossRef]
- Matveev, K.A.; Glazman, L.I.; Baranger, H.U. Theory of Coulomb blockade of tunneling through a double quantum dot. Surf. Sci. 1996, 361, 623–626. [Google Scholar] [CrossRef]
- Stufler, S.; Ester, P.; Zrenner, A. Quantum optical properties of a single InxGa1−xAs−GaAs quantum dot two-level system. Phys. Rev. B 2005, 72, 121301. [Google Scholar] [CrossRef]
- Wigger, D.; Karakhanyan, V.; Schneider, C.; Kamp, M.; Höfling, S.; Machnikowski, P.; Kuhn, T.; Kasprzak, J. Acoustic Phonon Sideband Dynamics During Polaron Formation in a Single Quantum Dot. Optics Lett. 2020, 45, 919–922. [Google Scholar] [CrossRef]
- Reiter, D.E.; Wigger, D.; Axt, V.M.; Kuhn, T. Generation and dynamics of phononic cat states after optical excitation of a quantum dot. Phys. Rev. B 2011, 84, 195327. [Google Scholar] [CrossRef]
- Hahn, T.; Groll, D.; Kuhn, T.; Wigger, D. Influence of excited state decay and dephasing on phonon quantum state preparation. Phys. Rev. B 2019, 100, 024306. [Google Scholar] [CrossRef]
- Metcalfe, M.; Carr, S.M.; Muller, A.; Solomon, G.S.; Lawall, J. Resolved Sideband Emission of InAs/GaAs Quantum Dots Strained by Surface Acoustic Waves. Phys. Rev. Lett. 2010, 105, 037401. [Google Scholar] [CrossRef] [PubMed]
- Qin, H.; Holleitner, A.W.; Eberl, K.; Blick, R.H. Coherent superposition of photon- and phonon-assisted tunneling in coupled quantum dots. Phys. Rev. B Condens. Matter 2001, 64, 241302. [Google Scholar] [CrossRef]
- Xiang, Z.L.; Ashhab, S.; You, J.Q.; Nori, F. Hybrid quantum circuits: Superconducting circuits interacting with other quantum systems. Rev. Mod. Phys. 2013, 85, 623–653. [Google Scholar] [CrossRef]
- Petroff, P.M.; Lorke, A.; Imamoglu, A. Epitaxially Self-Assembled Quantum Dots. Phys. Today 2001, 54, 46–52. [Google Scholar] [CrossRef]
- Mamin, H.J.; Budakian, R.; Chui, B.W.; Rugar, D. Detection and manipulation of statistical polarization in small spin ensembles. Phys. Rev. Lett. 2003, 91, 207604. [Google Scholar] [CrossRef]
- Rugar, D.; Budakian, R.; Mamin, H.J.; Chui, B.W. Single spin detection by magnetic resonance force microscopy. Nature 2004, 430, 329–332. [Google Scholar] [CrossRef]
- Carter, S.G.; Bracker, A.S.; Yakes, M.K.; Zalalutdinov, M.K.; Gammon, D. Tunable coupling of a double quantum dot spin system to a mechanical resonator. Nano Lett. 2019, 19, 6166–6172. [Google Scholar] [CrossRef]
- Ouyang, S.H.; You, J.Q.; Nori, F. Cooling a mechanical resonator via coupling to a tunable double quantum dot. Phys. Rev. B Condens. Matter 2008, 79, 075304. [Google Scholar] [CrossRef]
- Brandes, T.; Kramer, B. Spontaneous emission of phonons by coupled quantum dots. Phys. Rev. Lett. 1999, 83, 3021–3024. [Google Scholar] [CrossRef]
- Wilson-Rae, I.; Zoller, P.; Imamoglu, A. Laser cooling of a nanomechanical resonator mode to its quantum ground state. Phys. Rev. Lett. 2004, 92, 075507. [Google Scholar] [CrossRef] [PubMed]
- Li, J.J.; Zhu, K.D. Mechanical vibration-induced coherent optical spectroscopy in a single quantum dot coupled to a nanomechanical resonator. J. Phys. B At. Mol. Phys. 2010, 43, 155504. [Google Scholar] [CrossRef]
- Brandes, T.; Vorrath, T. Adiabatic Transfer of Electrons in Coupled Quantum Dots. Phys. Rev. B 2002, 66, 429–436. [Google Scholar] [CrossRef]
- Tian, L. Cavity cooling of a mechanical resonator in the presence of a two-level-system defect. Phys. Rev. B 2011, 84, 034517. [Google Scholar] [CrossRef]
- Ou-Yang, S.H.; Lam, C.H.; You, J.Q. Shot noise in electron transport through a double quantum dot: A master equation approach. Chin. Phys. B 2010, 19, 195–204. [Google Scholar]
- Burkard, G.; Petta, J.R. Dispersive readout of valley splittings in cavity-coupled silicon quantum dots. Phys. Rev. B 2016, 94, 195305. [Google Scholar] [CrossRef]
- Jiang, C.; Cui, Y.S.; Zhai, Z.Y.; Yu, H.L.; Li, X.W.; Chen, G.B. Tunable slow and fast light in parity-time-symmetric optomechanical systems with phonon pump. Opt. Express 2018, 26, 28834–28847. [Google Scholar] [CrossRef] [PubMed]







Publisher’s Note: MDPI stays neutral with regard to jurisdictional claims in published maps and institutional affiliations. |
© 2021 by the authors. Licensee MDPI, Basel, Switzerland. This article is an open access article distributed under the terms and conditions of the Creative Commons Attribution (CC BY) license (https://creativecommons.org/licenses/by/4.0/).
Share and Cite
Wang, F.; Liu, W.; Wei, Z.; Meng, H.; Liu, H. Flexible Control of Two-Channel Transmission and Group Delay in an Optomechanical System with Double Quantum Dots Driven by External Field. Nanomaterials 2021, 11, 1554. https://doi.org/10.3390/nano11061554
Wang F, Liu W, Wei Z, Meng H, Liu H. Flexible Control of Two-Channel Transmission and Group Delay in an Optomechanical System with Double Quantum Dots Driven by External Field. Nanomaterials. 2021; 11(6):1554. https://doi.org/10.3390/nano11061554
Chicago/Turabian StyleWang, Faqiang, Weici Liu, Zhongchao Wei, Hongyun Meng, and Hongzhan Liu. 2021. "Flexible Control of Two-Channel Transmission and Group Delay in an Optomechanical System with Double Quantum Dots Driven by External Field" Nanomaterials 11, no. 6: 1554. https://doi.org/10.3390/nano11061554
APA StyleWang, F., Liu, W., Wei, Z., Meng, H., & Liu, H. (2021). Flexible Control of Two-Channel Transmission and Group Delay in an Optomechanical System with Double Quantum Dots Driven by External Field. Nanomaterials, 11(6), 1554. https://doi.org/10.3390/nano11061554

