Correlation between Crystal Structure, Surface/Interface Microstructure, and Electrical Properties of Nanocrystalline Niobium Thin Films
Abstract
1. Introduction
2. Experimental Details
2.1. Thin Film Fabrication
2.2. Characterization
2.2.1. X-ray Diffraction (XRD)
2.2.2. Scanning Electron Microscopy (SEM)
2.2.3. Atomic Force Microscopy (AFM)
2.2.4. Electrical Properties
3. Results and Discussion
3.1. Crystal Structure, Phase, Growth Mechanism and Lattice Strain
3.1.1. Crystal Structure and Phase Stabilization
3.1.2. Lattice Parameter
3.1.3. Texture
3.1.4. Lattice Strain and Stress
3.2. Surface/Interface Microstructure
3.3. Surface Topography and Morphology
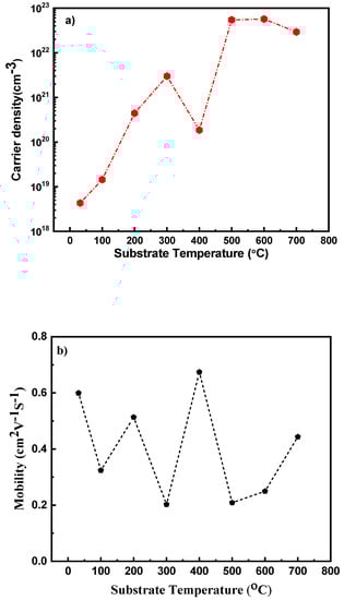
3.4. Electrical Properties
4. Conclusions
Author Contributions
Funding
Acknowledgments
Conflicts of Interest
References
- Almessiere, M.A.; Slimani, Y.; Sertkol, M.; Nawaz, M.; Sadaqat, A.; Baykal, A.; Ercan, I.; Ozcelik, B. Effect of Nb3+ substitution on the structural, magnetic, and optical properties of Co0.5Ni0.5Fe2O4 nanoparticles. Nanomaterials 2019, 9, 430. [Google Scholar] [CrossRef] [PubMed]
- Li, H.F.; Nie, F.L.; Zheng, Y.F.; Cheng, Y.; Wei, S.C. Nanocrystalline Ti49.2Ni50.8 shape memory alloy as orthopaedic implant material with better performance. J. Mater. Sci. Technol. 2019, 35, 2156–2162. [Google Scholar] [CrossRef]
- Li, X.; Huang, B.; Hu, W.; Zhang, Z. Electrical and optical modulation on ferroelectric properties of P (VDF-TrFE) thin film capacitors. J. Mater. Sci. Technol. 2019, 3510, 2194–2199. [Google Scholar] [CrossRef]
- Wong, F.L.; Fung, M.K.; Ng, C.Y.; Ng, A.; Bello, I.; Lee, S.T.; Lee, C.S. Co-sputtered oxide thin film encapsulated organic electronic devices with prolonged lifetime. Thin Solid Films 2011, 520, 1131–1135. [Google Scholar] [CrossRef]
- Rizzo, V.Z.; Mansano, R.D. Electro-optically sensitive diamond-like carbon thin films deposited by reactive magnetron sputtering for electronic device applications. Prog. Org. Coat. 2011, 70, 365–368. [Google Scholar] [CrossRef]
- Ramana, C.V.; Battu, A.; Dubey, P.; Lopez, G.A. Phase-control-enabled enhancement in hydrophilicity and mechanical touchness in nanocrystalline tungsten oxide films for energy related applications. ACS Appl. Nano Mater. 2020, 3, 3264. [Google Scholar] [CrossRef]
- Boschker, J.E.; Markurt, T.; Albrecht, M.; Schwarzkopf, J. Heteropitaxial growth of T–Nb2O5 on SrTiO3. Nanomaterials 2018, 8, 895. [Google Scholar] [CrossRef]
- Satya Prasad, V.V.; Baligidad, R.G.; Gokhale, A.A. Niobium and other high temperature refractory metals for aerospace applications. In Aerospace Materials and Material Technologies; Springer: Berlin, Germany, 2017; pp. 267–288. [Google Scholar] [CrossRef]
- Arora, A.; Rao, V.G. Tungsten heavy alloy for defence applications. Mater. Technol. 2004, 19, 210–215. [Google Scholar] [CrossRef]
- Briant, C.L.; Banerjee, M.K. Refractory Metals and Alloys. Available online: https://www.sciencedirect.com/science/article/pii/B9780128035818025844 (accessed on 29 June 2020).
- Seifried, F.; Leiste, H.; Schwaiger, R.; Ulrich, S.; Seifert, H.J.; Stueber, M. Structure, morphology and selected mechanical properties of magnetron sputtered (Mo, Ta, Nb) thin films on NiTi shape memory alloys. Surf. Coat. Tech. 2018, 347, 379–389. [Google Scholar] [CrossRef]
- Liu, X.; Liu, X.; Wang, H.; Chen, L.; Wang, Z. The fabrication and characterization of nano-SQUIDs based on Nb thin films. J. Phys. C. 2015, 515, 36. [Google Scholar] [CrossRef]
- Sharon, O.; Shaulov, A.; Berger, J.; Sharoni, A.; Yeshurun, Y. Current-induced SQUID behavior of superconducting Nb nano-rings. Sci. Rep. 2016, 6, 28320. [Google Scholar] [CrossRef] [PubMed]
- Schmelz, M.; Matsui, Y.; Stolz, R.; Zakosarenko, V.; Schönau, T.; Anders, S.; Linzen, S.; Itozaki, H.; Meyer, H.G. Investigation of all niobium nano-SQUIDs based on sub-micrometer cross-type Josephson junctions. Supercond. Sci. Technol. 2015, 28, 015004. [Google Scholar] [CrossRef]
- Alcheikh, N.; Xavier, P.; Duchamp, J.M.; Schuster, K.F.; Malhaire, C.; Remaki, B.; Boucher, C.; Mescot, X. Temperature dependence of the electromechanical characteristics of superconducting RF-MEMS switches. Microsyst. Technol. 2015, 21, 301–307. [Google Scholar] [CrossRef]
- Peroz, C.; Villard, C. Flux flow properties of niobium thin films in clean and dirty superconducting limits. Phys. Rev. B 2005, 72, 014515. [Google Scholar] [CrossRef]
- Gontad, B.F.; Lorusso, A.; Panareo, M.; Monteduro, A.G.; Maruccio, G.; Broitman, E.; Perrone, A. Nanomechanical and electrical properties of Nb thin films deposited on Pb substrates by pulsed laser deposition as a new concept photocathode for superconductor cavities. Nucl. Instrum. Meth. A 2015, 804, 132–136. [Google Scholar] [CrossRef][Green Version]
- Annunziata, A.J.; Santavicca, D.F.; Chudow, J.D.; Frunzio, L.; Rooks, M.J.; Frydman, A.; Prober, D.E. Niobium superconducting nanowire single-photon detectors. IEEE Trans. Appl. Supercond. 2009, 19, 327. [Google Scholar] [CrossRef]
- Bagheri, S.; Strohfeldt, N.; Ubl, M.; Berrier, A.; Merker, M.; Richter, G.; Siegel, M.; Giessen, H. Niobium as Alternative Material for Refractory and Active Plasmonics. ACS Photonics 2018, 5, 3298–3304. [Google Scholar] [CrossRef]
- Farag, A.; Ubl, M.; Konzelmann, A.; Hentschel, M.; Giessen, H. Utilizing niobium plasmonic perfect absorbers for tunable near- and mid-IR photodetection. Opt. Express 2019, 27, 25012–25021. [Google Scholar] [CrossRef]
- Wieduwilt, T.; Tuniz, A.; Linzen, S.; Goerke, S.; Dellith, J.; Hübner, U.; Schmidt, M.A. Ultrathin niobium nanofilms on fiber optical tapers—A new route towards low-loss hybrid plasmonic modes. Sci. Rep. 2015, 5, 17060. [Google Scholar] [CrossRef]
- Varma, S.K.; Sanchez, F.; Moncayo, S.; Ramana, C.V. Static and cyclic oxidation of Nb-Cr-V-W-Ta high entropy alloy in air from 600 to 1400 °C. J. Mater. Sci. Technol. 2020, 38, 189–196. [Google Scholar] [CrossRef]
- Shimizu, Y.; Tonooka, K.; Yoshida, Y.; Furuse, M.; Takashima, H. Growth and superconductivity of niobium titanium alloy thin films on strontium titanate (001) single-crystal substrates for superconducting joints. Sci. Rep. 2018, 8, 15135. [Google Scholar] [CrossRef] [PubMed]
- Mousavi, T.; Hong, Z.; Morrison, A.; London, A.; Grant, P.S.; Grovenor, C.; Speller, S.C. A new approach to fabricate superconducting NbTi alloys. Supercond. Sci. Technol. 2017, 30, 94001. [Google Scholar] [CrossRef]
- Li, X.; Cao, W.H.; Tao, X.F.; Ren, L.L.; Zhou, L.Q.; Xu, G.F. Structural and nanomechanical characterization of niobium films deposited by DC magnetron sputtering. Appl. Phys. A 2016, 122, 505. [Google Scholar] [CrossRef]
- De Freitas, T.C.; Gonzalez, J.L.; Nascimento, V.P.; Passamani, E.C. The role of the substrate temperature on superconducting properties of sputtered Nb films. Thin Solid Films 2016, 611, 33–38. [Google Scholar] [CrossRef]
- Wang, L.; Zhong, Y.; Li, J.; Cao, W.; Zhong, Q.; Wang, X.; Li, X. Effect of residual gas on structural, electrical and mechanical properties of niobium films deposited by magnetron sputtering deposition. Mater. Res. Express 2018, 5, 46410. [Google Scholar] [CrossRef]
- Banerjee, R.; Sperling, E.A.; Thompson, G.B.; Fraser, H.L.; Bose, S.; Ayyub, P. Lattice expansion in nanocrystalline niobium thin films. Appl. Phys. Lett. 2003, 82, 4250–4252. [Google Scholar] [CrossRef]
- Okolo, B.; Lamparter, P.; Welzel, U.; Mittemeijer, E.J. Stress, texture, and microstructure in niobium thin films sputter deposited onto amorphous substrates. J. Appl. Phys. 2004, 95, 466. [Google Scholar] [CrossRef]
- Hazra, D.; Mondal, M.; Gupta, A.K. Correlation between structural and superconducting properties of nano-granular disordered Nb thin films. J. Phys. C 2009, 469, 268–272. [Google Scholar] [CrossRef]
- Gontad, F.; Lorusso, A.; Solombrino, L.; Koutselas, I.; Vainos, N.; Perrone, A. Growth of niobium thin films on Si substrates by pulsed Nd: YAG laser deposition. J. Mater. Sci. Technol. 2015, 31, 784–789. [Google Scholar] [CrossRef]
- Gontad, F.; Lorusso, A.; Manousaki, A.; Perrone, A. Morphology and structure of Nb thin films grown by pulsed laser deposition at different substrate temperatures. J. Mater. Sci. Technol. 2016, 32, 1192–1196. [Google Scholar] [CrossRef]
- Petrova, H.; Juste, J.P.; Pastoriza-Santos, I.; Hartland, G.V.; Liz-Marzaán, L.M.; Mulvaney, P. On the temperature stability of gold nanorods: Comparison between thermal and ultrafast laser-induced heating. Phys. Chem. Chem. Phys. 2006, 8, 814–821. [Google Scholar] [CrossRef] [PubMed]
- Park, J.H.; Han, S.E.; Nagpal, P.; Norris, D.J. Observation of thermal beaming from tungsten and molybdenum bull’s eyes. ACS Photonics 2016, 3, 494–500. [Google Scholar] [CrossRef]
- Arpin, K.A.; Losego, M.D.; Braun, P.V. Electrodeposited 3D tungsten photonic crystals with enhanced thermal stability. Chem. Mater. 2011, 23, 4783–4788. [Google Scholar] [CrossRef]
- Hasan, D.; Pitchappa, P.; Wang, J.; Wang, T.; Yang, B.; Ho, C.P.; Lee, C. Novel CMOS-compatible Mo–AlN–Mo platform for metamaterial-based Mid-IR absorber. ACS Photonics 2017, 4, 302–315. [Google Scholar] [CrossRef]
- Ohring, M. Materials Science of Thin Films, 2nd ed.; Academic Press: Cambridge, MA, USA, 2002; pp. 184–191. [Google Scholar]
- Cemin, F.; Abadias, G.; Minea, T.; Lundin, D. Tuning high power impulse magnetron sputtering discharge and substrate bias conditions to reduce the intrinsic stress of TiN thin films. Thin Solid Films 2019, 688, 137335. [Google Scholar] [CrossRef]
- Battu, A.K.; Makeswaran, N.; Ramana, C.V. Fabrication, characterization and optimization of high conductivity and high quality nanocrystalline molybdenum thin films. J. Mater. Sci. Technol. 2019, 35, 2734–2741. [Google Scholar] [CrossRef]
- Battu, A.K.; Zade, V.B.; Deemer, E.; Ramana, C.V. Microstructure mechanical property correlation in size controlled nanocrystalline molybdenum films. Adv. Eng. Mater. 2018, 20, 1800496. [Google Scholar] [CrossRef]
- Knorr, D.B.; Tracy, D.P. A review of microstructure in vapor deposited copper thin films. Mater. Chem. Phys. 1995, 41, 206–216. [Google Scholar] [CrossRef]
- Nivedita, L.R.; Pandian, R.; Murugesan, S.; Asokan, K.; Rajendra Kumar, R.T. Phase evolution and magnetic properties of DC sputtered Fe−Ga (Galfenol) thin films with growth temperatures. J. Alloys Compd. 2017, 704, 420–424. [Google Scholar]
- Martinez, G.; Ramana, C.V. Microstructure, mechanical and electrical properties of nanocrystalline W−Mo thin films. AIP Adv. 2017, 7, 125201. [Google Scholar] [CrossRef]
- Cullity, B.D.; Stock, S.R. Elements of X-ray Diffraction; Prentice Hall: New York, NY, USA, 2001. [Google Scholar]
- Makeswaran, N.; Battu, A.K.; Deemer, E.; Ramana, C.V. Crystal growth and structure-property optimization of thermally annealed nanocrystalline Ga2O3 films. Cryst. Growth Des. 2020. [Google Scholar] [CrossRef]
- Bhushan, B. Surface Roughness Analysis and Measurement Techniques, Modern Tribology Handbook; CRC Press LLC: Boca Raton, FL, USA, 2001; pp. 48–114. [Google Scholar]
- Sasaki, K.; Zhang, L.; Adzic, R.R. Niobium oxide-supported platinum ultra-low amount electrocatalysts for oxygen reduction. Phys. Chem. Chem. Phys. 2008, 10, 159–167. [Google Scholar] [CrossRef] [PubMed]
- Kalidindi, N.R.; Manciu, F.S.; Ramana, C.V. Crystal structure, phase, and electrical conductivity of nanocrystalline W0.95Ti0.05O3 thin films. ACS Appl. Mater. Interf. 2011, 3, 863–868. [Google Scholar] [CrossRef] [PubMed]
- Leontyev, I.N.; Kuriganova, A.B.; Leontyev, N.G.; Hennet, L.; Rakhmatullin, A.; Smirnova, N.V. Dmitriev, V. Size dependence of the lattice parameters of carbon supported platinum nanoparticles: X-ray diffraction analysis and theoretical considerations. RSC Adv. 2014, 4, 35959. [Google Scholar] [CrossRef]
- Medasani, Y.H.; Park, B.; Vasiliev, I. Theoretical study of the surface energy, stress, and lattice contraction of silver nanoparticles. Phys. Rev. B 2007, 75, 235436. [Google Scholar] [CrossRef]
- Leontyev, I.; Guterman, V.; Pakhomova, E.; Timoshenko, P.; Guterman, A.V.; Zakharchenko, I.; Petin, G.; Dkhil, B. XRD and electrochemical investigation of particle size effects in platinum-cobalt cathode electrocatalysts for oxygen reduction. J. Alloys Compd. 2010, 500, 241–246. [Google Scholar] [CrossRef]
- Sheng, J.; Welzel, U.; Mittemeijer, E.J. Nonmonotonic crystallite-size dependence of the lattice parameter of nanocrystalline nickel. Appl. Phys. Lett. 2010, 97, 153109. [Google Scholar] [CrossRef]
- Kuru, Y.; Wohlschlögel, M.; Welzel, U.; Mittemeijer, E.J. Coexistence of colossal stress and texture gradients in sputter deposited nanocrystalline ultra-thin metal films. Appl. Phys. Lett. 2009, 95, 163112. [Google Scholar] [CrossRef]
- Chattopadhyay, P.P.; Nambissan, P.M.G.; Pabi, S.K.; Manna, I. Polymorphic bcc to fcc transformation of nanocrystalline niobium studied by positron annihilation. Phys. Rev. B 2001, 63, 054107. [Google Scholar] [CrossRef]
- Qi, W.H.; Wang, M.P. Size and shape dependent lattice parameters of metallic nanoparticles. J. Nanopart. Res. 2005, 7, 51–57. [Google Scholar] [CrossRef]
- Fukuhara, M. Lattice expansion of nanoscale compound particles. Phys. Lett. A 2003, 313, 427–430. [Google Scholar] [CrossRef]
- Gamarnik, M.Y. The physical nature of changes of lattice parameters in small particles. Phys. Stat. Sol. 1993, 178, 59–69. [Google Scholar] [CrossRef]
- Iyer, G.; De, D.; Kumar, A.; Pala, R.; Subramaniam, A. Two scale simulation of surface stress in solids and its effects. Appl. Surf. Sci. 2016, 371, 343–348. [Google Scholar] [CrossRef]
- Hofmeister, H.; Thiel, S.; Dubiel, M.; Schurig, E. Synthesis of nanosized silver particles in ion-exchanged glass by electron beam irradiation. Appl. Phys. Lett. 1997, 70, 1694–1696. [Google Scholar] [CrossRef]
- Shyjumon, I.; Gopinadhan, M.; Ivanova, O.; Quaas, M.; Wulff, H.; Helm, C.A.; Hippler, R. Structural deformation, melting point and lattice parameter studies of size selected silver clusters. Eur. Phys. J. D 2006, 37, 409–415. [Google Scholar] [CrossRef]
- Oh, U.C.; Je, J.H. Effects of strain energy on the preferred orientation of TiN thin films. J. Appl. Phys. 1993, 74, 1692–1696. [Google Scholar] [CrossRef]
- Kajikawa, Y.; Noda, S.; Komiyama, H. Comprehensive perspective on the mechanism of preferred orientation in reactive-sputter-deposited nitrides. J. Vac. Sci. Technol. A 2003, 21, 1943–1954. [Google Scholar] [CrossRef]
- Gall, D.; Kodambaka, S.; Wall, M.A.; Petrov, I.; Greene, J.E. Pathways of atomistic processes on TiN(001) and (111) surfaces during film growth: An ab initio study. J. Appl. Phys. 2003, 93, 9086–9094. [Google Scholar] [CrossRef]
- Foroughi-Abari, A.; Cadien, K.C. Growth, structure and properties of sputtered niobium oxide thin films. Thin Solid Films 2011, 519, 3068–3073. [Google Scholar] [CrossRef]
- Gray, T.; Mann, N.; Whitby, M. Created with Mathematica, Sponsored by Wolfram Research, Inc. Available online: https://periodictable.com/Elements/041/data.html (accessed on 5 December 2019).
- Chelvanathan, P.; Shahahmadi, S.A.; Arith, F.; Sobayel, K.; Aktharuzzaman, M.; Sopian, K.; Alharbi, F.H.; Tabet, N.; Amin, N. Effects of RF magnetron sputtering deposition process parameters on the properties of molybdenum thin films. Thin Solid Films 2017, 638, 213–219. [Google Scholar] [CrossRef]
- Thirumavalavana, S.; Mani, K.; Suresh Sagadevan, S. Studies on Hall Effect and DC Conductivity Measurements of Semiconductor Thin films Prepared by Chemical Bath Deposition (CBD) method. J. Nano. Electron. Phys. 2015, 7, 4024–4028. [Google Scholar]













| Physical Parameter | Set Value |
|---|---|
| Base pressure Sputtering power | 7.5 × 10−5 mTorr 100 W |
| Processing gases | Argon (Ar) |
| Substrates & Details | Silicon (Si) Si single crystal substrates, n-type; Resistivity:1~10 Ω cm Orientation (100) ± 0.5 deg Size: dia 50.8 mm (+/−0.1 mm) Thickness: 0.5 mm (+/−0.05 mm) Surface Roughness: <0.5 nm |
| Deposition temperature (Ts) Variability in Ts (ΔTs) Target-to-substrate distance | 25–700 °C 100 °C 8 cm |
| Total gas flow | 40 sccm (constant) |
| Working pressure Pumping speed Deposition time | 5 mTorr 50 L/s 15 min |
| Film thickness | ~100 nm |
© 2020 by the authors. Licensee MDPI, Basel, Switzerland. This article is an open access article distributed under the terms and conditions of the Creative Commons Attribution (CC BY) license (http://creativecommons.org/licenses/by/4.0/).
Share and Cite
Nivedita, L.R.; Haubert, A.; Battu, A.K.; Ramana, C.V. Correlation between Crystal Structure, Surface/Interface Microstructure, and Electrical Properties of Nanocrystalline Niobium Thin Films. Nanomaterials 2020, 10, 1287. https://doi.org/10.3390/nano10071287
Nivedita LR, Haubert A, Battu AK, Ramana CV. Correlation between Crystal Structure, Surface/Interface Microstructure, and Electrical Properties of Nanocrystalline Niobium Thin Films. Nanomaterials. 2020; 10(7):1287. https://doi.org/10.3390/nano10071287
Chicago/Turabian StyleNivedita, L. R., Avery Haubert, Anil K. Battu, and C. V. Ramana. 2020. "Correlation between Crystal Structure, Surface/Interface Microstructure, and Electrical Properties of Nanocrystalline Niobium Thin Films" Nanomaterials 10, no. 7: 1287. https://doi.org/10.3390/nano10071287
APA StyleNivedita, L. R., Haubert, A., Battu, A. K., & Ramana, C. V. (2020). Correlation between Crystal Structure, Surface/Interface Microstructure, and Electrical Properties of Nanocrystalline Niobium Thin Films. Nanomaterials, 10(7), 1287. https://doi.org/10.3390/nano10071287

