Switchable Electromagnetically Induced Transparency with Toroidal Mode in a Graphene-Loaded All-Dielectric Metasurface
Abstract
1. Introduction
2. Nanostructure and Calculation Method
3. Properties of Graphene
4. Results and Discussions
4.1. EIT in the All-Dielectric Metasurface
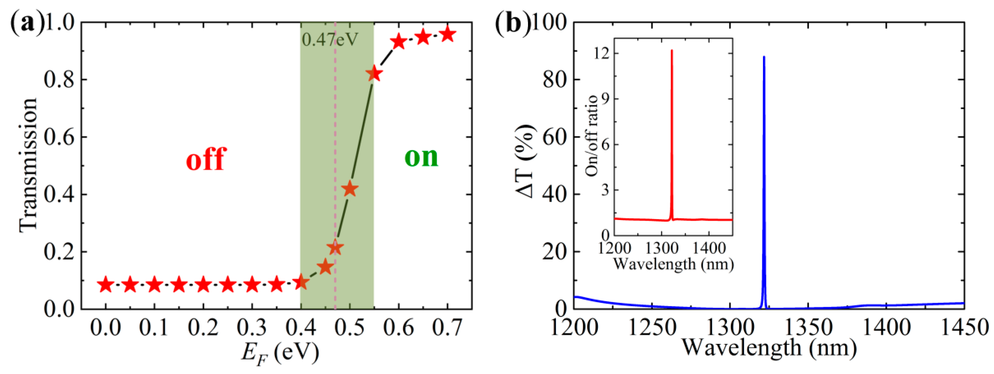
4.2. Transmission Switch
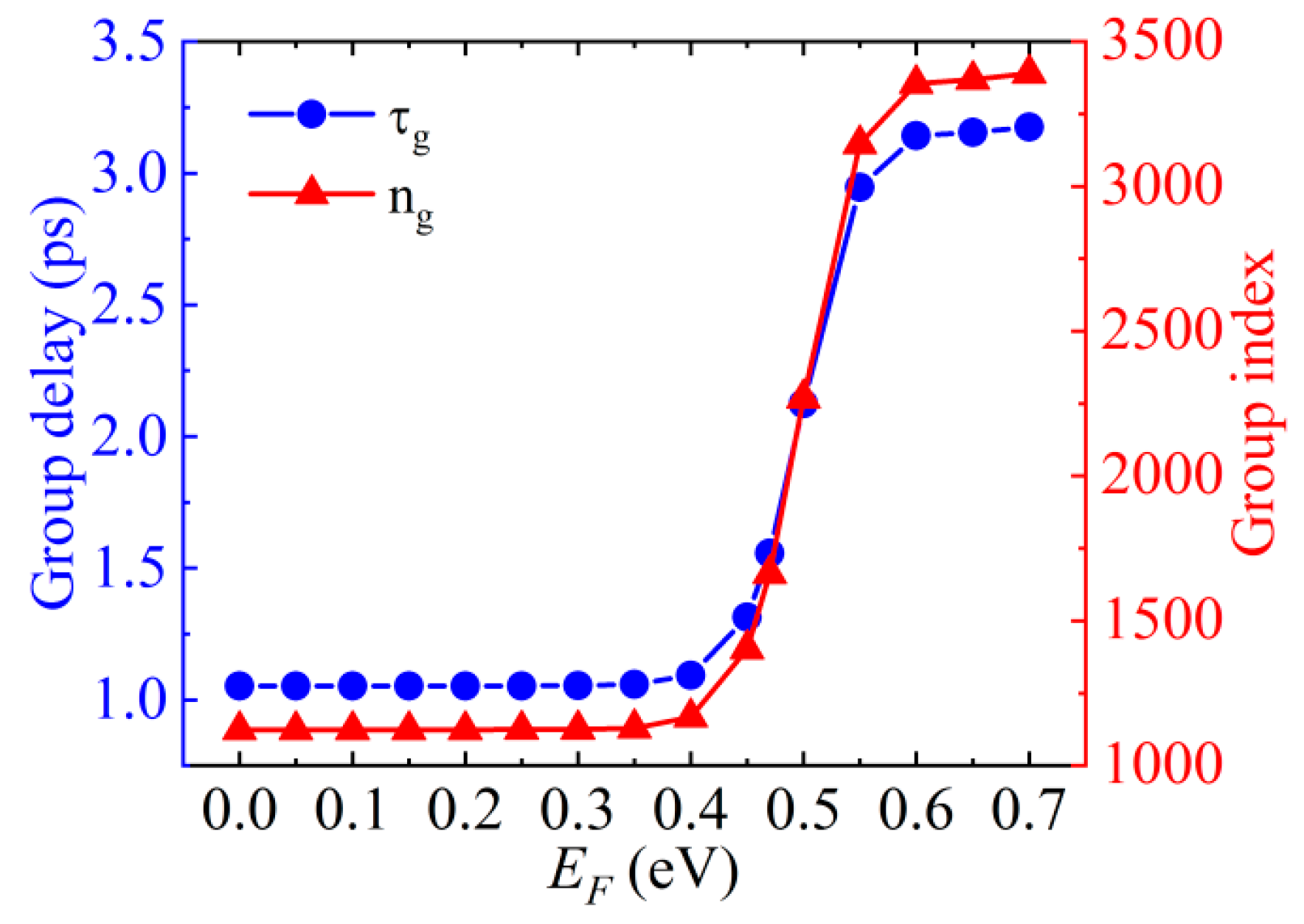
4.3. Modulation of Slow Light
5. Conclusions
Author Contributions
Funding
Conflicts of Interest
References
- Harris, S.E. Electromagnetically Induced Transparency. Phys. Today 1997, 50, 36–42. [Google Scholar] [CrossRef]
- Marcinkevičius, S.; Gushterov, A.; Reithmaier, J.P. Trannsient electromagnetically induced transparency in self-assembled quantum dots. Appl. Phys. Lett. 2008, 92, 041113. [Google Scholar] [CrossRef]
- Papasimakis, N.; Fedotov, V.A.; Zheludev, N.I.; Lrosvirnin, P.S. Metamaterial Analog of Electromagnetically Induced Transparency. Phys. Rev. Lett. 2008, 101, 253903. [Google Scholar] [CrossRef] [PubMed]
- He, J.N.; Wang, J.Q.; Ding, P.; Fan, C.Z.; Arnaut, L.; Liang, E.J. Optical switching based on polarization tunable plasmon-induced transparency in disk/rod hybrid metasurfaces. Plasmonics 2015, 10, 1115–1121. [Google Scholar] [CrossRef]
- Liu, N.; Weiss, T.; Mesch, M.; Langguth, L.; Eigenthaler, U.; Hirscher, M.; Sonnichsen, C.; Giessen, H. Planar Metamaterial Analogue of Electromagnetically Induced Transparency for Plasmonic Sensing. Nano Lett. 2010, 10, 1103–1107. [Google Scholar] [CrossRef]
- Zhang, L.; Tassin, P.; Koschny, T.; Kurter, C.; Anlage, S.M.; Soukoulis, C.M. Large group delay in a microwave metamaterial analog of electromagnetically induced transparency. Appl. Phys. Lett. 2010, 97, 241904. [Google Scholar] [CrossRef]
- Su, H.; Wang, H.; Zhao, H.; Xue, T.; Zhang, J. Liquid-crystal-based electrically tuned electromagnetically induced transparency metasurface switch. Sci. Rep. 2017, 7, 17378. [Google Scholar] [CrossRef]
- Xu, Q.; Su, X.Q.; Ouyang, C.M.; Xu, N.N.; Cao, W.; Zhang, Y.P.; Li, Q.; Hu, C.; Gu, J.Q.; Tian, Z.; et al. Frequency-agile electromagnetically induced transparency analogue in terahertz metamaterials. Opt. Lett. 2016, 41, 4562–4565. [Google Scholar] [CrossRef]
- Samson, Z.L.; MacDonald, K.F.; De Angelis, F.; Gholipour, B.; Knight, K.; Huang, C.C.; Di Fabrizio, E.; Hewak, D.W.; Zheludev, N.I. Metamaterial electro-optic switch of nanoscale thickness. Appl. Phys. Lett. 2010, 96, 143105. [Google Scholar] [CrossRef]
- Fan, Y.C.; Qiao, T.; Zhang, F.L.; Fu, Q.H.; Dong, J.J.; Kong, B.T.; Li, H.Q. An electromagnetic modulator based on electrically controllable metamaterial analogue to electromagnetically induced transparency. Sci. Rep. 2017, 7, 40441. [Google Scholar] [CrossRef]
- Lim, W.X.; Han, S.; Gupta, M.; MacDonald, K.F.; Singh, R. Near-infrared linewidth narrowing in plasmonic Fano-resonant metamaterials via tuning of multipole contributions. Appl. Phys. Lett. 2017, 111, 061104. [Google Scholar] [CrossRef]
- Khorasaninejad, M.; Aieta, F.; Kanhaiya, P.; Kats, M.A.; Genevet, P.; Rousso, D.; Capasso, F. Achromatic metasurface lens at telecommunication wavelengths. Nano Lett. 2015, 15, 5358–5362. [Google Scholar] [CrossRef] [PubMed]
- Zhang, Z.R.; Yang, Q.L.; Gong, M.H.; Chen, M.; Long, Z.W. Metasurface lens with angular modulation for extended depth of focus imaging. Opt. Lett. 2020, 45, 611–614. [Google Scholar] [CrossRef] [PubMed]
- Yang, Y.M.; Kravchenko, I.I.; Briggs, D.P.; Valentine, J. All-dielectric metasurface analogue of electromagnetically induced transparency. Nat. Commun. 2014, 5, 5753. [Google Scholar] [CrossRef]
- Shalaev, M.I.; Sun, J.B.; Tsukernik, A.; Pandey, A.; Nikolskiy, K.; Litchinitser, N.M. High-efficiency all-dielectric metasurfaces for ultracompact beam manipulation in transmission mode. Nano Lett. 2015, 15, 6261–6266. [Google Scholar] [CrossRef]
- Sun, G.H.; Yuan, L.R.; Zhang, Y.; Zhang, X.J.; Zhu, Y.Y. Q-factor enhancement of Fano resonance in all-dielectric metasurfaces by modulating meta-atom interactions. Sci. Rep. 2017, 7, 8128. [Google Scholar] [CrossRef]
- Koshelev, K.; Lepeshov, S.; Liu, M.K.; Bogdanov, A.; Kivshar, Y. Asymmetric Metasurfaces with High-Q Resonances Governed by Bound States in the Continuum. Phys. Rev. Lett. 2018, 121, 193903. [Google Scholar] [CrossRef]
- Zhao, W.Y.; Ju, D.Q.; Jiang, Y.Y.; Zhan, Q.W. Dipole and quadrupole trapped modes within bi-periodic Silicon particle array realizing three-channel refractive sensing. Opt. Express 2014, 22, 31277–31285. [Google Scholar] [CrossRef]
- Sayanskiy, A.; Kupriianov, A.S.; Xu, S.; Kapitanova, P.; Dmitriev, V.; Khardikov, V.V.; Tuz, V.R. Controlling high-Q trapped modes in polarization-insensitive all-dielectric metasurfaces. Phys. Rev. B 2019, 99, 085306. [Google Scholar] [CrossRef]
- Liang, G.Z.; Hu, X.N.; Yu, X.C.; Shen, Y.D.; Li, L.H.H.; Davies, A.G.; Linfield, E.H.; Liang, H.K.; Zhang, Y.; Yu, S.F.; et al. Integrated terahertz graphene modulator with 100% modulation depth. ACS Photonics 2015, 2, 1559–1566. [Google Scholar] [CrossRef]
- Liu, G.D.; Zhai, X.; Xia, S.X.; Lin, Q.; Zhao, C.J.; Wang, L.L. Toroidal resonance based optical modulator employing hybrid graphene-dielectric metasurface. Opt. Express 2017, 25, 26045–26054. [Google Scholar] [CrossRef] [PubMed]
- Argyropoulos, C. Enhanced transmission modulation based on dielectric metasurfaces loaded with graphene. Opt. Express 2015, 23, 23787–23797. [Google Scholar] [CrossRef] [PubMed]
- Xiao, S.Y.; Liu, T.T.; Zhou, C.B.; Jiang, X.Y.; Cheng, L.; Liu, Y.B.; Li, Z. Strong interaction between graphene and localized hot spots in all-dielectric metasurfaces. J. Phys. D 2019, 52, 385102. [Google Scholar] [CrossRef]
- Tuz, V.; Khardikov, V.V.; Kivshar, Y. All-Dielectric Resonant Metasurfaces with a Strong Toroidal Response. ACS Photonics 2018, 5, 1871–1876. [Google Scholar] [CrossRef]
- Dong, Z.G.; Zhu, J.; Rho, J.; Li, J.Q.; Lu, C.G.; Yin, X.B.; Zhang, X. Optical toroidal dipolar response by an asymmetric double-bar metamaterial. Appl. Phys. Lett. 2012, 101, 144105. [Google Scholar] [CrossRef]
- Ospanova, A.K.; Stenishchev, I.V.; Basharin, A.A. Anapole mode sustaining silicon metamaterials in visible spectral range. Laser Photonics Rev. 2018, 12, 1800005. [Google Scholar] [CrossRef]
- Zhang, Z.R.; Yang, Q.L.; Gong, M.H.; Chen, M.; Long, Z.W. Toroidal dipolar bound state in the continuum and antiferromagnetic in asymmetric metasurface. J. Phys. D 2019, 53, 075106. [Google Scholar] [CrossRef]
- Sayanskiy, A.; Danaeifar, M.; Kapitanova, P.; Miroshnichenko, A.E. All-Dielectric Metalattice with Enhanced Toroidal Dipole Response. Adv. Opt. Mater. 2018, 6, 1800302. [Google Scholar] [CrossRef]
- Zhou, C.B.; Li, S.Y.; Wang, Y.; Zhan, M.S. Multiple toroidal dipole Fano resonances of asymmetric dielectric nanohole arrays. Phys. Rev. B 2019, 100, 195306. [Google Scholar] [CrossRef]
- Zhou, C.B.; Li, S.Y.; Fan, M.H.; Wang, X.F.; Xu, Y.L.; Xu, W.W.; Xiao, S.Y.; Hu, M.Z.; Liu, J.T. Optical radiation manipulation of Si-Ge2Sb2Te5 hybrid metasurfaces. Opt. Express 2020, 28, 9690–9701. [Google Scholar] [CrossRef]
- Luo, X.; Li, X.J.; Lang, T.T.; Jing, X.F.; Hong, Z. Excitation of high Q toroidal dipole resonance in an all-dielectric metasurface. Opt. Mater. Express 2020, 10, 358–368. [Google Scholar] [CrossRef]
- Edward, D.P.; Palik, I. Handbook of optical constants of solids; Academic Press: Orlando, FL, USA, 1985; pp. 619–627. [Google Scholar]
- Suk, J.W.; Kitt, A.; Magnuson, C.W.; Hao, Y.; Ahmed, S.; An, J.; Swan, A.K.; Goldberg, B.B.; Ruoff, R.S. Transfer of CVD-grown monolayer graphene onto arbitrary substrates. ACS Nano 2011, 5, 6916–6924. [Google Scholar] [CrossRef]
- Volakis, J.L.; Chatterjee, A.; Kempel, L.C. Finite Element Method Electromagnetics: Antennas, Microwave Circuits, and Scattering Applications; John Wiley & Sons: Hoboken, NJ, USA, 1998; pp. 1–368. [Google Scholar]
- Xiao, S.Y.; Wang, T.; Liu, Y.B.; Xu, C.; Han, X.; Yan, X.C. Tunable light trapping and absorption enhancement with graphene ring arrays. Phys. Chem. Chem. Phys. 2016, 18, 26661–26669. [Google Scholar] [CrossRef] [PubMed]
- Savinov, V.; Fedotov, V.A.; Zheludev, N.I. Toroidal dipolar excitation and macroscopic electromagnetic properties of metamaterials. Phys. Rev. B 2014, 89, 205112. [Google Scholar] [CrossRef]
- Kaelberer, T.; Fedotov, V.A.; Papasimakis, N.; Tsai, D.P.; Zheludev, N.I. Toroidal dipolar response in a metamaterial. Science 2010, 330, 1510–1512. [Google Scholar] [CrossRef] [PubMed]
- Liu, S.D.; Wang, Z.X.; Wang, W.J.; Chen, J.D.; Chen, Z.H. High Q-factor with the excitation of anapole modes in dielectric split nanodisk arrays. Opt. Express 2017, 25, 22375–22387. [Google Scholar] [CrossRef]
- Chen, X.; Fan, W. Tunable Bound States in the Continuum in All-Dielectric Terahertz Metasurfaces. Nanomaterials 2020, 10, 623. [Google Scholar] [CrossRef]
- Wang, X.J.; Meng, H.Y.; Deng, S.Y.; Lao, C.D.; Wei, Z.C.; Wang, F.H.; Tan, C.G.; Huang, X. Hybrid Metal Graphene-Based Tunable Plasmon-Induced Transparency in Terahertz Metasurface. Nanomaterials 2019, 9, 385. [Google Scholar] [CrossRef]
- Fleischhauer, M.; Imamoglu, A.; Marangos, J.P. Electromagnetically induced transparency: Optics in coherent media. Rev. Mod. Phys. 2005, 77, 633–673. [Google Scholar] [CrossRef]
- Wang, J.Q.; Yuan, B.H.; Fan, C.Z.; He, J.N.; Ding, P.; Xue, Q.Z.; Liang, E.J. A novel planar metamaterial design for electromagnetically induced transparency and slow light. Opt. Express 2013, 21, 25159–25166. [Google Scholar] [CrossRef]
- Sun, D.; Wu, Z.K.; Divin, C.; Li, X.B.; Berger, C.; de Heer, W.A.; First, P.N.; Norris, T.B. Ultrafast Relaxation of Excited Dirac Fermions in Epitaxial Graphene Using Optical Differential Transmission Spectroscopy. Phys. Rev. Lett. 2008, 101, 157402. [Google Scholar] [CrossRef] [PubMed]








© 2020 by the authors. Licensee MDPI, Basel, Switzerland. This article is an open access article distributed under the terms and conditions of the Creative Commons Attribution (CC BY) license (http://creativecommons.org/licenses/by/4.0/).
Share and Cite
Sun, G.; Peng, S.; Zhang, X.; Zhu, Y. Switchable Electromagnetically Induced Transparency with Toroidal Mode in a Graphene-Loaded All-Dielectric Metasurface. Nanomaterials 2020, 10, 1064. https://doi.org/10.3390/nano10061064
Sun G, Peng S, Zhang X, Zhu Y. Switchable Electromagnetically Induced Transparency with Toroidal Mode in a Graphene-Loaded All-Dielectric Metasurface. Nanomaterials. 2020; 10(6):1064. https://doi.org/10.3390/nano10061064
Chicago/Turabian StyleSun, Guanghou, Sheng Peng, Xuejin Zhang, and Yongyuan Zhu. 2020. "Switchable Electromagnetically Induced Transparency with Toroidal Mode in a Graphene-Loaded All-Dielectric Metasurface" Nanomaterials 10, no. 6: 1064. https://doi.org/10.3390/nano10061064
APA StyleSun, G., Peng, S., Zhang, X., & Zhu, Y. (2020). Switchable Electromagnetically Induced Transparency with Toroidal Mode in a Graphene-Loaded All-Dielectric Metasurface. Nanomaterials, 10(6), 1064. https://doi.org/10.3390/nano10061064
