Numerical and Experimental Study of the Mechanical Response of Diatom Frustules
Abstract
1. Introduction
2. Materials and Experimental Setup
2.1. Structure Characterization
2.2. Mechanical Characterization
2.3. Finite Element Analysis
3. Results and Discussion
3.1. Structural Characterization
3.2. Mechanical Characterization
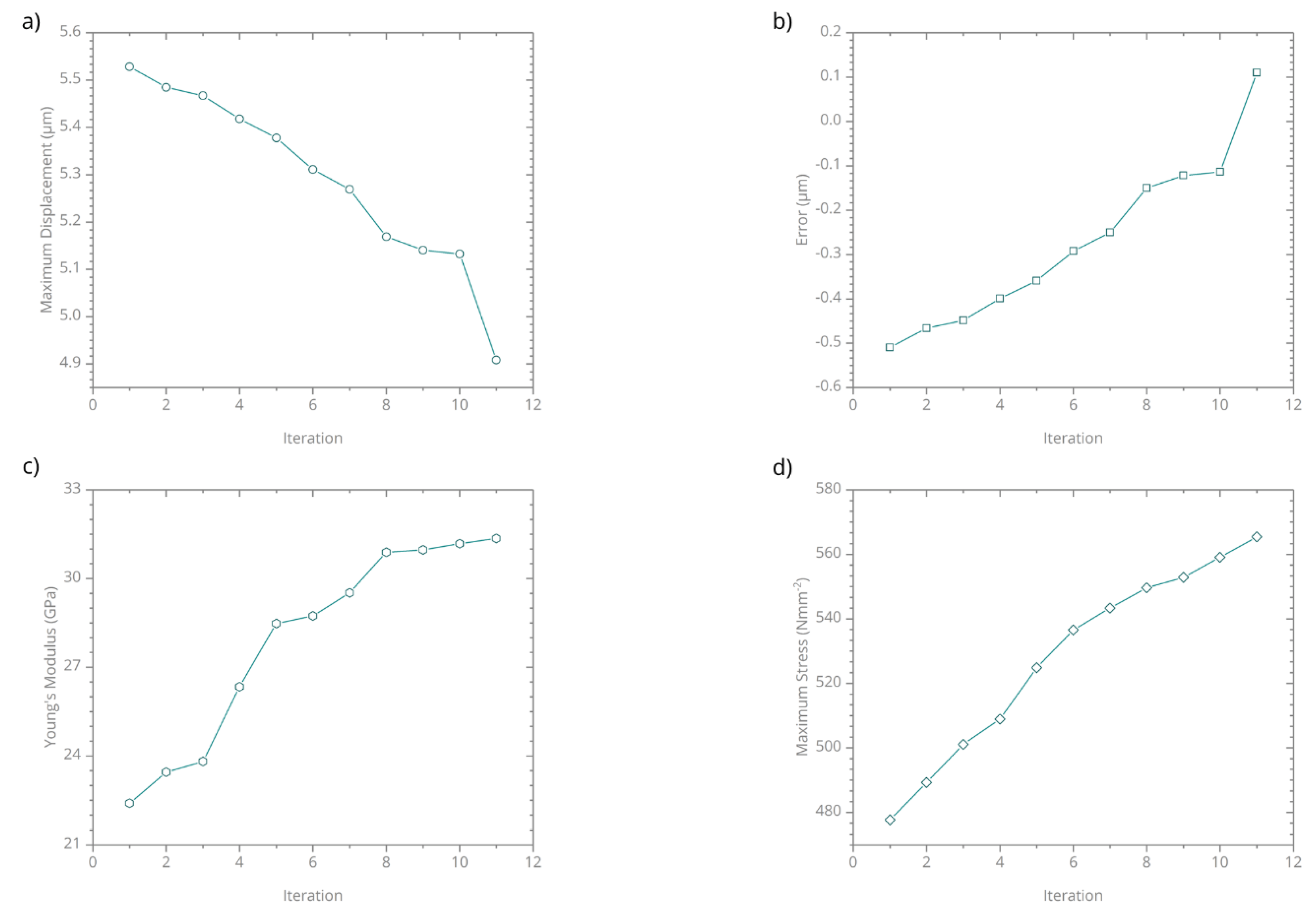
3.3. Finite Element Analysis
4. Conclusions
Author Contributions
Funding
Acknowledgments
Conflicts of Interest
References
- Parker, A.R.; Townley, H.E. Biomimetics of photonic nanostructures. Nat. Nanotechnol. 2007, 2, 347–353. [Google Scholar] [CrossRef] [PubMed]
- Sanchez, C.; Arribart, H.; Giraud Guille, M.M. Biomimetism and bioinspiration as tools for the design of innovative materials and systems. Nat. Mater. 2005, 4, 277–288. [Google Scholar] [CrossRef]
- Milwich, M.; Speck, T.; Speck, O.; Stegmaier, T.; Planck, H. Biomimetics and technical textiles: Solving engineering problems with the help of nature’s wisdom. Am. J. Bot. 2006, 93, 1455–1465. [Google Scholar] [CrossRef] [PubMed]
- Wang, C.; Hwang, D.; Yu, Z.; Takei, K.; Park, J.; Chen, T.; Ma, B.; Javey, A. User-interactive electronic skin for instantaneous pressure visualization. Nat. Mater. 2013, 12, 899–904. [Google Scholar] [CrossRef]
- Wegst, U.G.K.; Bai, H.; Saiz, E.; Tomsia, A.P.; Ritchie, R.O. Bioinspired structural materials. Nat. Mater. 2015, 14, 23–36. [Google Scholar] [CrossRef] [PubMed]
- Sarikaya, M.; Tamerler, C.; Jen, A.K.-Y.; Schulten, K.; Baneyx, F. Molecular biomimetics: Nanotechnology through biology. Nat. Mater. 2003, 2, 577–585. [Google Scholar] [CrossRef] [PubMed]
- Round, F.E.; Crawford, R.M.; Mann, D.G. The diatoms: Biology and morphology of the genera, ix, 747p. Cambridge University Press, 1990. Price £125.00. J. Mar. Biol. Assoc. 1990, 70, 924. [Google Scholar] [CrossRef]
- Losic, D.; Mitchell, J.G.; Voelcker, N.H. Diatomaceous Lessons in Nanotechnology and Advanced Materials. Adv. Mater. 2009, 21, 2947–2958. [Google Scholar] [CrossRef]
- Sumper, M. A Phase Separation Model for the Nanopatterning of Diatom Biosilica. Science 2002, 295, 2430–2433. [Google Scholar] [CrossRef]
- Zgłobicka, I.; Li, Q.; Gluch, J.; Płocińska, M.; Noga, T.; Dobosz, R.; Szoszkiewicz, R.; Witkowski, A.; Zschech, E.; Kurzydłowski, K.J. Visualization of the internal structure of Didymosphenia geminata frustules using nano X-ray tomography. Sci. Rep. 2017, 7, 9086. [Google Scholar] [CrossRef]
- Crawford, S.A.; Higgins, M.J.; Mulvaney, P.; Wetherbee, R. Nanostructure of the diatom frustule as revealed by atomic force and scanning electron microscopy. J. Phycol. 2001, 37, 543–554. [Google Scholar] [CrossRef]
- Hamm, C.E. The Evolution of Advanced Mechanical Defenses and Potential Technological Applications of Diatom Shells. J. Nanosci. Nanotechnol. 2005, 5, 108–119. [Google Scholar] [CrossRef] [PubMed]
- Aitken, Z.H.; Luo, S.; Reynolds, S.N.; Thaulow, C.; Greer, J.R. Microstructure provides insights into evolutionary design and resilience of Coscinodiscus sp. frustule. Proc. Natl. Acad. Sci. USA 2016, 113, 2017–2022. [Google Scholar] [CrossRef] [PubMed]
- Gordon, R.; Losic, D.; Tiffany, M.A.; Nagy, S.S.; Sterrenburg, F.A.S. The Glass Menagerie: Diatoms for novel applications in nanotechnology. Trends Biotechnol. 2009, 27, 116–127. [Google Scholar] [CrossRef]
- Romann, J.; Valmalette, J.-C.; Røyset, A.; Einarsrud, M.-A. Optical properties of single diatom frustules revealed by confocal microspectroscopy. Opt. Lett. 2015, 40, 740. [Google Scholar] [CrossRef]
- Mcheik, A.; Cassaignon, S.; Livage, J.; Gibaud, A.; Berthier, S.; Lopez, P.J. Optical Properties of Nanostructured Silica Structures from Marine Organisms. Front. Mar. Sci. 2018, 5, 123. [Google Scholar] [CrossRef]
- Yamanaka, S.; Yano, R.; Usami, H.; Hayashida, N.; Ohguchi, M.; Takeda, H.; Yoshino, K. Optical properties of diatom silica frustule with special reference to blue light. J. Appl. Phys. 2008, 103, 074701. [Google Scholar] [CrossRef]
- Gao, H.; Ji, B.; Jager, I.L.; Arzt, E.; Fratzl, P. Materials become insensitive to flaws at nanoscale: Lessons from nature. Proc. Natl. Acad. Sci. USA 2003, 100, 5597–5600. [Google Scholar] [CrossRef]
- Jang, D.; Meza, L.R.; Greer, F.; Greer, J.R. Fabrication and deformation of three-dimensional hollow ceramic nanostructures. Nat. Mater. 2013, 12, 893–898. [Google Scholar] [CrossRef]
- Gibson, L.J.; Ashby, M.F. Cellular Solids: Structure and Properties, 2nd ed.; Cambridge University Press: Cambridge, UK, 1997; ISBN 978-1-139-87832-6. [Google Scholar]
- Gong, S.; Ni, H.; Jiang, L.; Cheng, Q. Learning from nature: Constructing high performance graphene-based nanocomposites. Mater. Today 2017, 20, 210–219. [Google Scholar] [CrossRef]
- Fratzl, P.; Weinkamer, R. Nature’s hierarchical materials. Prog. Mater. Sci. 2007, 52, 1263–1334. [Google Scholar] [CrossRef]
- Zadpoor, A.A. Meta-biomaterials. Biomater. Sci. 2020. [Google Scholar] [CrossRef]
- Sen, D.; Garcia, A.P.; Buehler, M.J. Mechanics of Nano-Honeycomb Silica Structures: Size-Dependent Brittle-to-Ductile Transition. J. Nanomech. Micromech. 2011, 1, 112–118. [Google Scholar] [CrossRef]
- Dávila, L.P.; Leppert, V.J.; Bringa, E.M. The mechanical behavior and nanostructure of silica nanowires via simulations. Scr. Mater. 2009, 60, 843–846. [Google Scholar] [CrossRef]
- Silva, E.C.C.M.; Tong, L.; Yip, S.; Van Vliet, K.J. Size Effects on the Stiffness of Silica Nanowires. Small 2006, 2, 239–243. [Google Scholar] [CrossRef] [PubMed]
- Losic, D.; Pillar, R.J.; Dilger, T.; Mitchell, J.G.; Voelcker, N.H. Atomic force microscopy (AFM) characterisation of the porous silica nanostructure of two centric diatoms. J. Porous Mater. 2007, 14, 61–69. [Google Scholar] [CrossRef]
- Gutiérrez, A.; Guney, M.G.; Fedder, G.K.; Dávila, L.P. The role of hierarchical design and morphology in the mechanical response of diatom-inspired structures via simulation. Biomater. Sci. 2018, 6, 146–153. [Google Scholar] [CrossRef]
- Lu, J.; Sun, C.; Wang, Q.J. Mechanical Simulation of a Diatom Frustule Structure. J. Bionic Eng. 2015, 12, 98–108. [Google Scholar] [CrossRef]
- Subhash, G.; Yao, S.; Bellinger, B.; Gretz, M.R. Investigation of Mechanical Properties of Diatom Frustules Using Nanoindentation. J. Nanosci. Nanotechnol. 2005, 5, 50–56. [Google Scholar] [CrossRef]
- Yao, S.; Subhash, G.; Maiti, S. Analysis of Nanoindentation Response of Diatom Frustules. J. Nanosci. Nanotechnol. 2007, 7, 4465–4472. [Google Scholar] [CrossRef]
- Almqvist, N.; Delamo, Y.; Smith, B.L.; Thomson, N.H.; Bartholdson, A.; Lal, R.; Brzezinski, M.; Hansma, P.K. Micromechanical and structural properties of a pennate diatom investigated by atomic force microscopy. J. Microsc. 2001, 202, 518–532. [Google Scholar] [CrossRef] [PubMed]
- Boyd, S.K. Image-Based Finite Element Analysis. In Advanced Imaging in Biology and Medicine; Sensen, C.W., Hallgrímsson, B., Eds.; Springer: Berlin/Heidelberg, Germany, 2009; pp. 301–318. ISBN 978-3-540-68992-8. [Google Scholar]
- Petit, C.; Meille, S.; Maire, E. Cellular solids studied by x-ray tomography and finite element modeling—A review. J. Mater. Res. 2013, 28, 2191–2201. [Google Scholar] [CrossRef]
- Chen, L.; Weng, D.; Du, C.; Wang, J.; Cao, S. Contribution of frustules and mucilage trails to the mobility of diatom Navicula sp. Sci. Rep. 2019, 9, 7342. [Google Scholar] [CrossRef] [PubMed]
- Xing, Y.; Yu, L.; Wang, X.; Jia, J.; Liu, Y.; He, J.; Jia, Z. Characterization and analysis of Coscinodiscus genus frustule based on FIB-SEM. Prog. Nat. Sci. Mater. Int. 2017, 27, 391–395. [Google Scholar] [CrossRef]
- Gutu, T.; Wu, J.; Jeffreys, C.; Chang, C.-H.; Rorrer, G.; Jiao, J. Dual Beam Focused Ion Beam and Transmission Electron Microscopies of Nanoscale Sectioned Diatom Frustules. MAM 2007, 13. [Google Scholar] [CrossRef]
- Zglobicka, I.; Chmielewska, A.; Topal, E.; Kutukova, K.; Gluch, J.; Krüger, P.; Kilroy, C.; Swieszkowski, W.; Kurzydlowski, K.J.; Zschech, E. 3D Diatom–Designed and Selective Laser Melting (SLM) Manufactured Metallic Structures. Sci. Rep. 2019, 9, 19777. [Google Scholar] [CrossRef]
- Radon, J. On the determination of functions from their integral values along certain manifolds. IEEE Trans. Med. Imaging 1986, 5, 170–176. [Google Scholar] [CrossRef]
- Topal, E.; Liao, Z.; Löffler, M.; Gluch, J.; Zhang, J.; Feng, X.; Zschech, E. Multi-scale X-ray tomography and machine learning algorithms to study MoNi4 electrocatalysts anchored on MoO2 cuboids aligned on Ni foam. BMC Mater. 2020, 2, 5. [Google Scholar] [CrossRef]
- Topal, E.; Markus, L.; Zschech, E. Deep learning-based inaccuracy compensation in reconstruction of high resolution XCT data. Sci. Rep. 2020. [Google Scholar] [CrossRef]
- Simpleware ScanIP; Synopsys, Inc.: Mountain View, CA, USA, 2019.
- ANSYS SpaceClaim; ANSYS, Inc.: Canonsburg, PA, USA, 2019.
- ANSYS; ANSYS, Inc.: Canonsburg, PA, USA, 2019.











© 2020 by the authors. Licensee MDPI, Basel, Switzerland. This article is an open access article distributed under the terms and conditions of the Creative Commons Attribution (CC BY) license (http://creativecommons.org/licenses/by/4.0/).
Share and Cite
Topal, E.; Rajendran, H.; Zgłobicka, I.; Gluch, J.; Liao, Z.; Clausner, A.; Kurzydłowski, K.J.; Zschech, E. Numerical and Experimental Study of the Mechanical Response of Diatom Frustules. Nanomaterials 2020, 10, 959. https://doi.org/10.3390/nano10050959
Topal E, Rajendran H, Zgłobicka I, Gluch J, Liao Z, Clausner A, Kurzydłowski KJ, Zschech E. Numerical and Experimental Study of the Mechanical Response of Diatom Frustules. Nanomaterials. 2020; 10(5):959. https://doi.org/10.3390/nano10050959
Chicago/Turabian StyleTopal, Emre, Harishankaran Rajendran, Izabela Zgłobicka, Jürgen Gluch, Zhongquan Liao, André Clausner, Krzysztof Jan Kurzydłowski, and Ehrenfried Zschech. 2020. "Numerical and Experimental Study of the Mechanical Response of Diatom Frustules" Nanomaterials 10, no. 5: 959. https://doi.org/10.3390/nano10050959
APA StyleTopal, E., Rajendran, H., Zgłobicka, I., Gluch, J., Liao, Z., Clausner, A., Kurzydłowski, K. J., & Zschech, E. (2020). Numerical and Experimental Study of the Mechanical Response of Diatom Frustules. Nanomaterials, 10(5), 959. https://doi.org/10.3390/nano10050959

