Investigation on Mn3O4 Coated Ru Nanoparticles for Partial Hydrogenation of Benzene towards Cyclohexene Production Using ZnSO4, MnSO4 and FeSO4 as Reaction Additives
Abstract
1. Introduction
2. Materials and Methods
2.1. Chemicals
2.2. Preparation of Catalysts
2.3. Catalytic Experimental Procedure
2.4. Procedure Catalysts Characterization
3. Results and Discussions
3.1. Effect of Coated Mn3O4 Amount
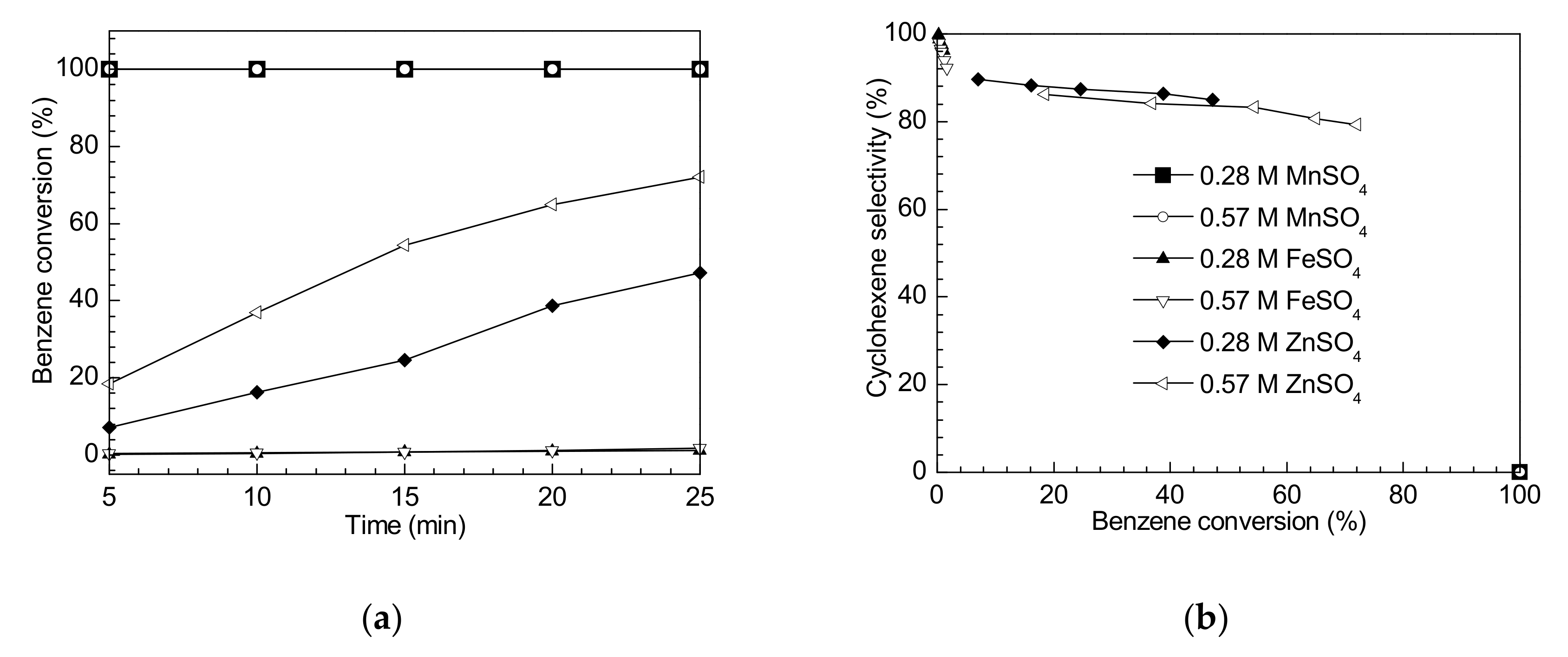
3.2. Effect of Additives
4. Conclusions
Author Contributions
Funding
Conflicts of Interest
References
- Yan, X.H.; Zhang, Q.; Zhu, M.Q.; Wang, Z.B. Selective hydrogenation of benzene to cyclohexene over Ru-Zn/ZrO2 catalysts prepared by a two step impregnation method. J. Mol. Catal. A Chem. 2016, 413, 85–93. [Google Scholar] [CrossRef]
- Gonçalves, A.H.A.; Soares, J.C.S.; Araújo, L.R.R.; Zotin, F.M.Z.; Mendes, F.M.T.; Gaspar, A.B. Surface investigation by X-ray photoelectron spectroscopy of Ru-Zn catalysts for the partial hydrogenation of benzene. Mol. Catal. 2020, 483, 110710. [Google Scholar] [CrossRef]
- Sun, H.J.; Chen, Z.H.; Li, C.G.; Chen, L.X.; Peng, Z.K.; Liu, Z.Y.; Liu, S.C. Selective Hydrogenation of Benzene to Cyclohexene over Ru-Zn Catalysts: Mechanism Investigation on NaOH as a Reaction Additive. Catalysts 2018, 8, 104. [Google Scholar] [CrossRef]
- Sun, H.J.; Chen, Z.H.; Li, C.G.; Chen, L.X.; Li, Y.; Peng, Z.K.; Liu, Z.Y.; Liu, S.C. Selective Hydrogenation of Benzene to Cyclohexene over Monometallic Ru Catalysts: Investigation of ZnO and ZnSO4 as Reaction Additives as Well as Particle Size Effect. Catalysts 2018, 8, 172. [Google Scholar] [CrossRef]
- Sun, H.J.; Chen, Z.H.; Chen, L.X.; Li, H.J.; Peng, Z.K.; Liu, Z.Y.; Liu, S.C. Selective Hydrogenation of Benzene to Cyclohexene over Ru-Zn Catalysts: Investigations on the Effect of Zn Content and ZrO2 as the Support and Dispersant. Catalysts 2018, 8, 513. [Google Scholar] [CrossRef]
- Zhou, G.B.; Dou, R.F.; Bi, H.Z.; Xie, S.H.; Pei, Y.; Fan, K.N.; Qiao, M.H.; Sun, B.; Zong, B.N. Ru nanoparticles on rutile/anatase junction of P25 TiO2: Controlled deposition and synergy in partial hydrogenation of benzene to cyclohexene. J. Catal. 2015, 332, 119–126. [Google Scholar] [CrossRef]
- Peng, Z.K.; Liu, X.; Lin, H.N.; Wang, Z.; Li, Z.J.; Li, B.J.; Liu, Z.Y.; Liu, S.C. Surface engineering on a nanocatalyst: Basic zinc salt nanoclusters improve catalytic performances of Ru nanoparticles. J. Mater. Chem. A 2016, 4, 17694–17703. [Google Scholar] [CrossRef]
- Zhou, G.B.; Pei, Y.; Jiang, Z.; Fan, K.N.; Qiao, M.H.; Sun, B.; Zong, B.N. Doping effects of B in ZrO2 on structural and catalytic properties of Ru/B-ZrO2 catalysts for benzene partial hydrogenation. J. Catal. 2014, 311, 393–403. [Google Scholar] [CrossRef]
- Sun, H.J.; Guo, W.; Zhou, X.L.; Chen, Z.H.; Liu, Z.Y.; Liu, S.C. Process in Ru-based Amorphous Alloy Catalysts for Benzene Selective Hydrogenation to Cyclohexene. Chin. J. Catal. 2011, 32, 1–16. [Google Scholar] [CrossRef]
- Liu, J.L.; Zhu, L.J.; Pei, Y.; Zhuang, J.H.; Li, H.; Li, H.X.; Qiao, M.H.; Fan, K.N. Ce-promoted Ru/SBA-15 catalysts prepared by a “two solvent” impregnation method for selective hydrogenation of benzene to cyclohexene. Appl. Catal. A Gen. 2009, 353, 282–287. [Google Scholar] [CrossRef]
- Liu, H.Z.; Liang, S.G.; Wang, W.T.; Jiang, T.; Han, B.X. The partial hydrogenation of benzene to cyclohexene over Ru-Cu catalyst supported on ZnO. J. Mol. Catal. A Chem. 2011, 341, 35–41. [Google Scholar] [CrossRef]
- Fan, G.Y.; Jiang, W.D.; Wang, J.B.; Li, R.X.; Chen, H.; Li, X.J. Selective hydrogenation of benzene to cyclohexene over RuCoB/γ-Al2O3 without additive. Catal. Commn. 2008, 10, 98–102. [Google Scholar] [CrossRef]
- Sun, H.J.; Li, S.H.; Zhang, Y.X.; Jiang, H.B.; Qu, L.L.; Liu, Z.Y. Selective hydrogenation of benzene to cyclohexene in continuous reaction device with two reaction reactors in serie over Ru-Co-B/ZrO2 catalysts. Chin. J. Catal. 2013, 34, 1482–1488. [Google Scholar] [CrossRef]
- Sun, H.J.; Li, S.H.; Tian, X.Y.; Zhang, Y.X.; Jiang, H.B.; Liu, S.C.; Liu, Z.Y. Selective hydrogenation of benzene to cyclohexene over Ru catalyst modified by the promoter Fe and the reaction modifiers. J. Mol. Catal. (China) 2013, 27, 362–370. [Google Scholar]
- Sun, H.J.; Jiang, H.B.; Li, S.H.; Wang, H.X.; Pan, Y.J.; Dong, Y.Y.; Liu, S.C.; Liu, Z.Y. Selective hydrogenation of benzene to cyclohexene over nanocomposite Ru-Mn/ZrO2 catalyst. Chin. J. Catal. 2013, 34, 684–694. [Google Scholar] [CrossRef]
- Wang, Z.B.; Zhang, Q.; Lu, X.F.; Chen, S.J.; Liu, C.J. Ru-Zn catalysts for selective hydrogenation of benzene using coprecipitation in low alkalinity. Chin. J. Catal. 2015, 36, 400–407. [Google Scholar] [CrossRef]
- Sun, H.J.; Wang, H.X.; Jiang, H.B.; Li, S.H.; Liu, S.C.; Liu, Z.Y.; Yuan, X.M.; Yang, K.J. Eeffect of (Zn(OH)2)3(ZnSO4)(H2O)5 on the performance of Ru-Zn catalyst for benzene selective hydrogenation to cyclohexene. Appl. Catal. A 2013, 450, 160–168. [Google Scholar] [CrossRef]
- Sun, H.J.; Jiang, H.B.; Dong, Y.Y.; Wang, H.X.; Pan, Y.J.; Liu, S.C.; Tang, M.S.; Liu, Z.Y. Effect of alcohols as additives on the performance of a nano-sized Ru-Zn (2.8%) catalyst for selective hydrogenation of benzene to cyclohexene. Chem. Eng. J. 2013, 218, 415–424. [Google Scholar] [CrossRef]
- Sun, H.J.; Chen, L.X.; Huang, Z.X.; Liu, S.C.; Liu, Z.Y. Particle Size Effect of Ru-Zn Catalysts on Selective Hydrogenation of Benzene to Cyclohexene. Chem. J. Chin. U. 2015, 36, 1969–1976. [Google Scholar]
- Sun, H.J.; Chen, J.J.; Huang, Z.X.; Liu, Z.Y.; Liu, S.C. Selective hydrogenation of benzene to cyclohexene over the nano-sized Ru-Zn catalyst modified by Rrabic gum. Chin. J. Inorg. Chem. 2016, 32, 202–210. [Google Scholar]
- Liao, H.G.; Ouyang, D.H.; Zhang, J.; Xiao, Y.J.; Liu, P.L.; Hao, F.; You, K.Y.; Luo, H.A. Benzene hydrogenation over oxide-modified MCM-41 supported ruthenium-lanthanum catalyst: The influence of zirconia crystal form and surface hydrophilicity. Chem. Eng. J. 2014, 243, 207–216. [Google Scholar] [CrossRef]
- Sun, H.J.; Li, Y.Y.; Li, S.H.; Zhang, Y.X.; Liu, S.C.; Liu, Z.Y.; Ren, B.Z. ZnSO4 and La2O3 as Co-Modifier of the Monoclinic Ru Catalyst for Selective Hydrogenation of Benzene to Cyclohexene. Acta. Phys. Chim. Sin. 2014, 30, 1332–1340. [Google Scholar]
- Sun, H.J.; Chen, L.X.; Li, S.H.; Jiang, H.B.; Zhang, Y.X.; Ren, B.Z.; Liu, Z.Y.; Liu, S.C. Selective hydrogenation of benzene to cyclohexene over monometallicruthenium catalysts in the presence of CeO2 and ZnSO4 as co-modifiers. J. Rare Earths 2013, 31, 1023–1028. [Google Scholar] [CrossRef]
- Sun, H.J.; Pan, Y.J.; Jiang, H.B.; Li, S.H.; Zhang, Y.X.; Liu, S.C.; Liu, Z.Y. Effect of transition metals (Cr, Mn, Fe, Co, Ni, Cu and Zn) on the hydrogenation properties of benzene over Ru-based catalyst. Appl. Catal. A Gen. 2013, 464–465, 1–9. [Google Scholar] [CrossRef]
- Sun, H.J.; Dong, Y.Y.; Li, S.H.; Jiang, H.B.; Zhang, Y.X.; Liu, Z.Y.; Liu, S.C. The role of La in improving the selectivity to cyclohexene of Ru catalyst for hydrogenation of benzene. J. Mol. Catal. A Chem. 2013, 368-369, 119–124. [Google Scholar] [CrossRef]
- Sun, H.J.; Pan, Y.J.; Li, S.H.; Zhang, Y.X.; Dong, Y.Y.; Liu, S.C.; Liu, Z.Y. Selective hydrogenation of benzene to cyclohexene over Ce-promoted Ru catalysts. J. Energy Chem. 2013, 22, 710–716. [Google Scholar] [CrossRef]
- Struijk, J.; Moene, R.; Kamp, T.V.D.; Scholten, J.J.F. Partial liquid phase hydrogenation of benzene to cyclohexene over ruthenium catalysts in the presence of an aqueous salt solution II. Influence of various salts on the performance of the catalyst. Appl. Catal. A Gen. 1992, 89, 77–102. [Google Scholar] [CrossRef]
- Liu, J.L.; Zhu, Y.; Liu, J.; Pei, Y.; Li, Z.H.; Li, H.; Li, H.X.; Qiao, M.H.; Fan, K.N. Discrimination of the roles of CdSO4 and ZnSO4 in liquid phase hydrogenation of benzene to cyclohexene. J. Catal. 2009, 268, 100–105. [Google Scholar] [CrossRef]
- Yi, H.; Du, H.Y.; Hu, Y.L.; Yan, H.; Jiang, H.L.; Lu, J.L. Precisely controlled porous alumina overcoating on Pd catalyst by atomic layer deposition: Enhanced selectivity and durability in hydrogenation of 1,3-Butadiene. ACS Catal. 2015, 5, 2735–2739. [Google Scholar] [CrossRef]
- Wang, C.L.; Wang, H.W.; Yao, Q.; Yan, H.; Li, J.J.; Lu, J.L. Precisely applying TiO2 overcoat on supported Au catalysts using atomic layer deposition for understanding the reaction mechanism and improved activity in CO oxidation. J. Phys. Chem. C 2016, 120, 478–486. [Google Scholar] [CrossRef]
- Wu, J.M.; Yang, Y.F.; Chen, J.L. Study on the causes of catalyst inactivation of benzene semi-hydrogenation. Chem. Ind. Eng. Prog. 2003, 22, 295–297. [Google Scholar]
- Sun, H.J.; Qin, H.A.; Huang, Z.X.; Su, M.F.; Li, Y.Y.; Liu, S.C.; Liu, Z.Y. Effect of reaction modifier ZnSO4 and pretreatment on performance of Ru-Zn catalyst for selective hydrogenation of benzene to cyclohexene. Chin. J. Inorg. Chem. 2017, 33, 73–80. [Google Scholar]
- Struijk, J.; d’Angremond, M.; Lucas-de Regt, W.J.M.; Scholten, J.J.F. Partial liquid phase hydrogenation of benzene to cyclohexene over ruthenium catalysts in the presence of an aqueous salt solution I. Preparation, characterization of the catalyst and study of a number of process variables. Appl. Catal. A Gen. 1992, 83, 263–295. [Google Scholar] [CrossRef]
- Ramírez, A.; Hillebrand, P.; Stellmach, D.; May, M.M.; Bogdanoff, P.; Fiechter, S. Evaluation of MnOx, Mn2O3, and Mn3O4 electrodeposited films for the oxygen evolution reaction of water. J. Phys. Chem. C 2014, 118, 14073–14081. [Google Scholar] [CrossRef]
- Reddy, A.S.; Kim, J. An efficient g-C3N4-decorated CdS-nanoparticle-doped Fe3O4 hybrid catalyst for an enhanced H2 evolution through photoelectrochemical water splitting. Appl. Surf. Sci. 2020, 513, 145836. [Google Scholar] [CrossRef]
- Kötz, R.; Lewerenz, H.J.; Stucki, S. XPS Studies of Oxygen Evolution on Ru and RuO2 Anodes. J. Electrochem. Soc. 1983, 130, 825–828. [Google Scholar] [CrossRef]
- Mazzieri, V.A.; L’Argentière, P.C.; Coloma-Pascual, F.; Fígoli, N.S. Effect of Chlorine on the Properties of Ru/Al2O3. Ind. Eng. Chem. Res. 2003, 42, 2269–2272. [Google Scholar] [CrossRef]








| Sample | BET Surface Area (cm2/g)1 | Pore Volume (cm3/g)1 | Pore Diameter (nm)1 | Ru Crystallite Size (nm)2 |
|---|---|---|---|---|
| Ru | 59 | 0.18 | 10.63 | 3.6 |
| Ru@Mn3O4(0.23) | 57 | 0.20 | 13.74 | 3.9 |
| Ru@Mn3O4 (0.46) | 41 | 0.11 | 10.98 | 4.1 |
| Ru@Mn3O4 (0.57) | 52 | 0.15 | 11.35 | 4.8 |
| Ru@Mn3O4 (0.71) | 47 | 0.17 | 15.79 | 4.4 |
| Ru@Mn3O4 (0.90) | 54 | 0.15 | 11.20 | 4.6 |
| Ru@Mn3O4 (1.09) | 39 | 0.10 | 10.20 | 4.7 |
| Ru@Mn3O4 (3.36) | 27 | 0.07 | 9.48 | 4.6 |
| Ru AH | 56 | 0.16 | 10.44 | 3.7 |
| Ru@Mn3O4 (0.23) AH3 | 56 | 0.15 | 11.03 | 4.2 |
| Ru@Mn3O4 (0.46) AH | 41 | 0.11 | 10.98 | 4.5 |
| Ru@Mn3O4 (0.57) AH | 33 | 0.13 | 15.79 | 4.6 |
| Ru@Mn3O4 (0.71) AH | 30 | 0.13 | 16.92 | 4.8 |
| Ru@Mn3O4 (0.90) AH | 29 | 0.11 | 15.34 | 4.7 |
| Ru@Mn3O4 (1.09) AH | 26 | 0.08 | 12.93 | 4.2 |
| Ru@Mn3O4 (3.36) AH | 14 | 0.03 | 8.72 | 4.7 |
| Catalyst | n(Mn)/n(Ru) (mol/mol)1 | n(Zn)/n(Ru) (mol/mol)1 | n(S)/n(Ru) (mol/mol)1 |
|---|---|---|---|
| Ru AH | 0 | 0.0313 | 0.0026 |
| Ru@ Mn3O4(0.23) AH2 | 0.0207 | 0.2010 | 0.0149 |
| Ru@ Mn3O4 (0.46) AH | 0.0206 | 0.5085 | 0.0619 |
| Ru@ Mn3O4 (0.57) AH | 0.0213 | 0.8369 | 0.1173 |
| Ru@ Mn3O4 (0.71) AH | 0.0203 | 1.1733 | 0.1844 |
| Ru@ Mn3O4 (0.90) AH | 0.0215 | 1.3726 | 0.2159 |
| Ru@ Mn3O4 (1.09) AH | 0.0213 | 2.1539 | 0.3410 |
| Ru@ Mn3O4 (3.36) AH | 0.0306 | 4.9727 | 0.9117 |
| Additive | n(Mn)/n(Ru) (mol/mol)1 | n(Zn)/n(Ru) (mol/mol)1 | n(Fe)/n(Ru) (mol/mol)1 | n(S)/n(Ru) (mol/mol)1 |
|---|---|---|---|---|
| 0.28 M MnSO4 | 0.5006 | - | - | 0.0503 |
| 0.57 M MnSO4 | 0.4728 | - | - | 0.0507 |
| 0.28 M FeSO4 | 0.0195 | - | 0.4642 | 0.0374 |
| 0.57 M FeSO4 | 0.0172 | - | 0.4681 | 0.0321 |
| 0.28 M ZnSO4 | 0.0222 | 0.4997 | - | 0.0481 |
| 0.57 M ZnSO4 | 0.0207 | 0.2010 | - | 0.0149 |
© 2020 by the authors. Licensee MDPI, Basel, Switzerland. This article is an open access article distributed under the terms and conditions of the Creative Commons Attribution (CC BY) license (http://creativecommons.org/licenses/by/4.0/).
Share and Cite
Liu, X.; Chen, Z.; Sun, H.; Chen, L.; Peng, Z.; Liu, Z. Investigation on Mn3O4 Coated Ru Nanoparticles for Partial Hydrogenation of Benzene towards Cyclohexene Production Using ZnSO4, MnSO4 and FeSO4 as Reaction Additives. Nanomaterials 2020, 10, 809. https://doi.org/10.3390/nano10040809
Liu X, Chen Z, Sun H, Chen L, Peng Z, Liu Z. Investigation on Mn3O4 Coated Ru Nanoparticles for Partial Hydrogenation of Benzene towards Cyclohexene Production Using ZnSO4, MnSO4 and FeSO4 as Reaction Additives. Nanomaterials. 2020; 10(4):809. https://doi.org/10.3390/nano10040809
Chicago/Turabian StyleLiu, Xingai, Zhihao Chen, Haijie Sun, Lingxia Chen, Zhikun Peng, and Zhongyi Liu. 2020. "Investigation on Mn3O4 Coated Ru Nanoparticles for Partial Hydrogenation of Benzene towards Cyclohexene Production Using ZnSO4, MnSO4 and FeSO4 as Reaction Additives" Nanomaterials 10, no. 4: 809. https://doi.org/10.3390/nano10040809
APA StyleLiu, X., Chen, Z., Sun, H., Chen, L., Peng, Z., & Liu, Z. (2020). Investigation on Mn3O4 Coated Ru Nanoparticles for Partial Hydrogenation of Benzene towards Cyclohexene Production Using ZnSO4, MnSO4 and FeSO4 as Reaction Additives. Nanomaterials, 10(4), 809. https://doi.org/10.3390/nano10040809

