Insights on the Excitation Spectrum of Graphene Contacted with a Pt Skin
Abstract
1. Introduction
2. Experimental Methods
3. Theoretical Model
3.1. Ground State Calculation
3.2. Calculation of an Effective 2D Dielectric Function
3.3. Electron Energy Loss Spectra
4. Results and Discussion
4.1. Ab Initio Results
4.1.1. Dirac Plasmon
4.1.2. Plasmon
4.2. Comparison with Experiments for Plasmon
5. Conclusions
Supplementary Materials
Author Contributions
Funding
Acknowledgments
Conflicts of Interest
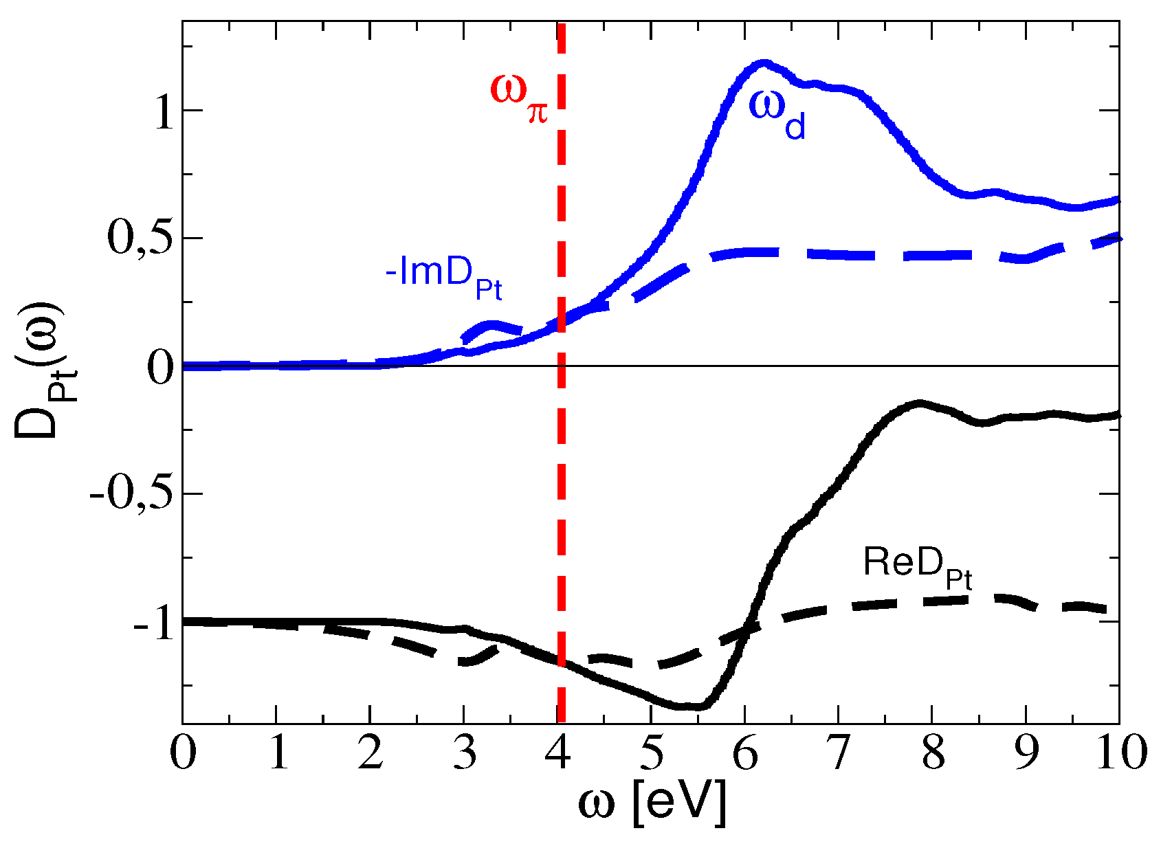
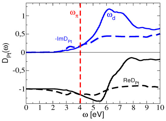
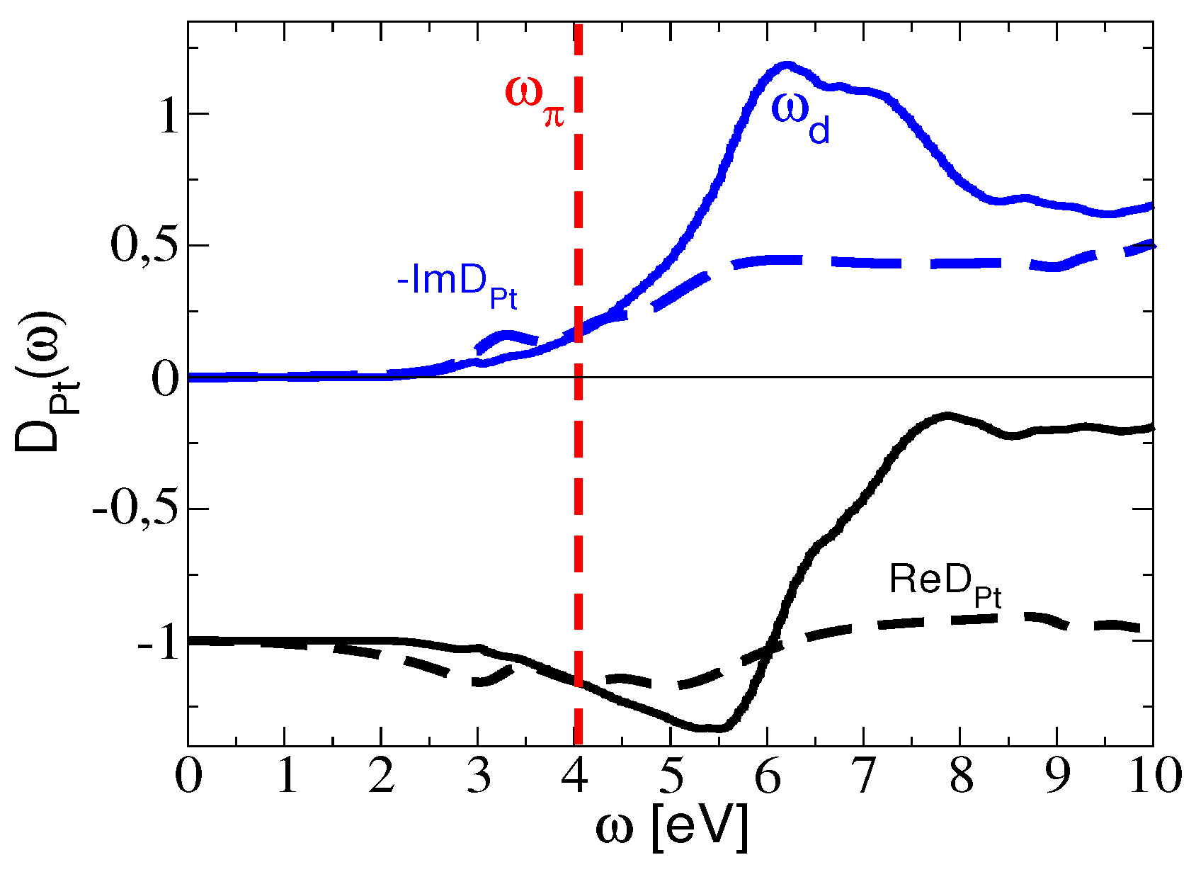
Appendix A. Pt-Skin Surface Response Function DPt
References and Note
- Politano, A.; Marino, A.R.; Formoso, V.; Farias, D.; Miranda, R.; Chiarello, G. Evidence for acoustic-like plasmons on epitaxial graphene on Pt(111). Phys. Rev. B 2011, 84, 033401. [Google Scholar] [CrossRef]
- Crassee, I.; Orlita, M.; Potemski, M.; Walter, A.L.; Ostler, M.; Seyller, T.; Gaponenko, I.; Chen, J.; Kuzmenko, A.B. Intrinsic Terahertz Plasmons and Magnetoplasmons in Large Scale Monolayer Graphene. Nano Lett. 2012, 12, 2470–2474. [Google Scholar] [CrossRef] [PubMed]
- Cupolillo, A.; Ligato, N.; Caputi, L. Low energy two-dimensional plasmon in epitaxial graphene on Ni (111). Surf. Sci. 2013, 608, 88–91. [Google Scholar] [CrossRef]
- Cupolillo, A.; Ligato, N.; Caputi, L.S. Two-dimensional character of the interface-π plasmon in epitaxial graphene on Ni(111). Carbon 2012, 50, 2588–2591. [Google Scholar] [CrossRef]
- Jovanović, V.B.; Radović, I.; Borka, D.; Mišković, Z.L. High-energy plasmon spectroscopy of freestanding multilayer graphene. Phys. Rev. B 2011, 84, 155416. [Google Scholar] [CrossRef]
- Ju, L.; Geng, B.; Horng, J.; Girit, C.; Martin, M.; Hao, Z.; Bechtel, H.A.; Liang, X.; Zettl, A.; Shen, Y.R.; et al. Graphene plasmonics for tunable terahertz metamaterials. Nat. Nanotechnol. 2011, 6, 630–634. [Google Scholar] [CrossRef]
- Kinyanjui, M.K.; Kramberger, C.; Pichler, T.; Meyer, J.C.; Wachsmuth, P.; Benner, G.; Kaiser, U. Direct probe of linearly dispersing 2D interband plasmons in a free-standing graphene monolayer. Europhys. Lett. 2012, 97, 57005. [Google Scholar] [CrossRef]
- Cupolillo, A.; Ligato, N.; Caputi, L.S. Plasmon dispersion in quasi-freestanding graphene on Ni(111). Appl. Phys. Lett. 2013, 102, 111609. [Google Scholar] [CrossRef]
- Khomyakov, P.A.; Giovannetti, G.; Rusu, P.C.; Brocks, G.; van Den Brink, J.; Kelly, P.J. First-principles study of the interaction and charge transfer between graphene and metals. Phys. Rev. B 2009, 79, 195425. [Google Scholar] [CrossRef]
- Lazar, P.; Zhang, S.; Šafářová, K.; Li, Q.; Froning, J.P.; Granatier, J.; Hobza, P.; Zbořil, R.; Besenbacher, F.; Dong, M.; et al. Quantification of the Interaction Forces between Metals and Graphene by Quantum Chemical Calculations and Dynamic Force Measurements under Ambient Conditions. ACS Nano 2013, 7, 1646–1651. [Google Scholar] [CrossRef]
- Shichibe, H.; Satake, Y.; Watanabe, K.; Kinjyo, A.; Kunihara, A.; Yamada, Y.; Sasaki, M.; Hayes, W.W.; Manson, J.R. Probing interlayer interactions between graphene and metal substrates by supersonic rare-gas atom scattering. Phys. Rev. B 2015, 91, 155403. [Google Scholar] [CrossRef]
- Kozlov, S.M.; Vines, F.; Gorling, A. Bonding Mechanisms of Graphene on Metal Surfaces. J. Phys. Chem. C 2012, 116, 7360–7366. [Google Scholar] [CrossRef]
- Wintterlin, J.; Bocquet, M.L. Graphene on metal surfaces. Surf. Sci. 2009, 603, 1841–1852. [Google Scholar] [CrossRef]
- Pervan, P.; Lazić, P.; Petrović, M.; Šrut Rakić, I.; Pletikosić, I.; Kralj, M.; Milun, M.; Valla, T. Li adsorption versus graphene intercalation on Ir (111): From quenching to restoration of the Ir surface state. Phys. Rev. B 2015, 92, 245415. [Google Scholar] [CrossRef]
- Halle, J.; Neel, N.; Kroger, J. Filling the Gap: Li-Intercalated Graphene on Ir(111). Phys. Chem. C 2016, 120, 5067–5073. [Google Scholar] [CrossRef]
- Petrović, M.; Šrut Rakić, I.; Runte, S.; Busse, C.; Sadowski, J.T.; Lazić, P.; Pletikosić, I.; Pan, Z.-H.; Milun, M.; Pervan, P.; et al. The mechanism of caesium intercalation of graphene. Nat. Commun. 2013, 4, 2772. [Google Scholar] [CrossRef]
- Tanaka, S.; Petrović, M.; Watanabe, K.; Lazić, P.; Kralj, M.; Sugimoto, T.; Matsumoto, Y. Excitation of surface plasmons in highly-doped graphene by visible light. Unpublished. Manuscript in Preparation.
- Schumacher, S.; Wehling, T.; Lazić, P.; Runte, S.; Forster, D.F.; Busse, C.; Petrović, M.; Kralj, M.; Blügel, S.; Atodiresei, N.; et al. The Backside of Graphene: Manipulating Adsorption by Intercalation. Nano Lett. 2013, 13, 5013–5019. [Google Scholar] [CrossRef]
- Cook, B.; Russakoff, A.; Varga, K. Coverage dependent work function of graphene on a Cu (111) substrate with intercalated alkali metals. Appl. Phys. Lett. 2015, 106, 211601. [Google Scholar] [CrossRef]
- Alattas, M.; Schwingenschlogl, U. Quasi-freestanding graphene on Ni(111) by Cs intercalation. Sci. Rep. 2016, 6, 26753. [Google Scholar] [CrossRef]
- Despoja, V.; Novko, D.; Lončarić, I.; Golenić, N.; Marušić, L.; Silkin, V.M. Strong acoustic plasmons in chemically doped graphene induced by a nearby metal surface. Phys. Rev. B 2019, 100, 195401. [Google Scholar] [CrossRef]
- Marušić, L.; Despoja, V. Prediction of measurable two-dimensional plasmons in Li-intercalated graphene LiC2. Phys. Rev. B 2017, 95, 201408R. [Google Scholar] [CrossRef]
- Despoja, V.; Marušić, L. UV-active plasmons in alkali and alkaline-earth intercalated graphene. Phys. Rev. B 2018, 97, 205426. [Google Scholar] [CrossRef]
- Gerislioglu, B.; Ahmadivand, A.; Pala, N. Hybridized plasmons in graphene nanorings for extreme nonlinear optics. Opt. Mater. 2017, 73, 729–735. [Google Scholar] [CrossRef]
- Ahmadivand, A.; Gerislioglu, B.; Timothy Noe, G.; Kumar Mishra, Y. Gated Graphene Enabled Tunable Charge - Current Configurations in Hybrid Plasmonic Metamaterials. ACS Appl. Electron. Mater. 2019, 1, 637–641. [Google Scholar] [CrossRef]
- Ahmadivand, A.; Gerislioglu, B.; Ramezani, Z. Gated graphene island-enabled tunable charge transfer plasmon terahertz metamodulator. Nanoscale 2019, 11, 8091–8095. [Google Scholar] [CrossRef]
- Giovannetti, G.; Khomyakov, P.A.; Brocks, G.; Karpan, V.M.; van den Brink, J.; Kelly, P.J. Doping graphene with metal contacts. Phys. Rev. Lett. 2008, 101, 026803. [Google Scholar] [CrossRef]
- Janthon, P.; Vines, F.; Kozlov, S.M.; Limtrakul, J.; Illas, F. Theoretical assessment of graphene-metal contacts. J. Chem. Phys. 2013, 138, 244701. [Google Scholar] [CrossRef]
- Schultz, B.J.; Jaye, C.; Lysaght, P.S.; Fischer, D.A.; Prendergast, D.; Banerjee, S. On chemical bonding and electronic structure of graphene—metal contacts. Chem. Sci. 2013, 4, 494–502. [Google Scholar] [CrossRef]
- Langer, T.; Forster, D.F.; Busse, C.; Michely, T.; Pfnur, H.; Tegenkamp, C. Sheet plasmons in modulated graphene on Ir(111). New J. Phys. 2011, 13, 053006. [Google Scholar] [CrossRef]
- Nelson, F.J.; Idrobo, J.-C.; Fite, J.D.; Mišković, Z.L.; Pennycook, S.J.; Pantelides, S.T.; Lee, J.U.; Diebold, A.C. Electronic Excitations in Graphene in the 1–50 eV Range: The π and π + σ Peaks Are Not Plasmons. Nano Lett. 2014, 14, 3827–3831. [Google Scholar] [CrossRef] [PubMed]
- Liou, S.C.; Shie, C.-S.; Chen, C.H.; Breitwieser, R.; Pai, W.W.; Guo, G.Y.; Chu, M.-W. π - plasmon dispersion in free-standing graphene by momentum-resolved electron energy-loss spectroscopy. Phys. Rev. B 2015, 91, 045418. [Google Scholar] [CrossRef]
- Wachsmuth, P.; Hambach, R.; Benner, G.; Kaiser, U. Plasmon bands in multilayer graphene. Phys. Rev. B 2014, 90, 235434. [Google Scholar] [CrossRef]
- Novko, D.; Despoja, V.; Šunjić, M. Changing character of electronic transitions in graphene: From single-particle excitations to plasmons. Phys. Rev. B 2015, 91, 195407. [Google Scholar] [CrossRef]
- Nazarov, V.U. Electronic excitations in quasi-2D crystals: What theoretical quantities are relevant to experiment. New J. Phys. 2015, 17, 073018. [Google Scholar] [CrossRef]
- Mowbray, D.J.; Segui, S.; Gervasoni, J.; Mišković, Z.L.; Arista, N.R. Plasmon excitations on a single-wall carbon nanotube by external charges: Two-dimensional two-fluid hydrodynamic model. Phys. Rev. B 2010, 82, 035405. [Google Scholar] [CrossRef]
- Choi, W.S.; Seo, S.S.A.; Kim, K.W.; Noh, T.W.; Kim, M.Y.; Shin, S. Dielectric constants of Ir, Ru, Pt, and IrO2: Contributions from bound charges. Phys. Rev. B 2006, 74, 205117. [Google Scholar] [CrossRef]
- Werner, W.S.M.; Glantschnig, K.; Ambrosch-Draxl, C. Optical Constants and Inelastic Electron-Scattering Data for 17 Elemental Metals. J. Phys. Chem. Ref. Data 2009, 38, 1013–1092. [Google Scholar] [CrossRef]
- Politano, A.; Radović, I.; Borka, D.; Mišković, Z.L.; Chiarello, G. Interband plasmons in supported graphene on metal substrates:Theory and experiments. Carbon 2016, 96, 91–97. [Google Scholar] [CrossRef]
- Politano, A.; Chiarello, G. Graphene on Pt3Ni(111): A suitable platform for tunable charge doping, electron - phonon coupling and plasmonic excitations. 2D Mater. 2017, 4, 035003. [Google Scholar] [CrossRef]
- Giannozzi, P.; Baroni, S.; Bonini, N.; Calandra, M.; Car, R.; Cavazzoni, C.; Ceresoli, D.; Chiarotti, G.L.; Cococcioni, M.; Dabo, I.; et al. QUANTUM ESPRESSO: A modular and open-source software project for quantum simulations of materials. J. Phys. Condens. Matter 2009, 21, 395502. [Google Scholar] [CrossRef] [PubMed]
- Giannozzi, P.; Andreussi, O.; Brumme, T.; Bunau, O.; Nardelli, M.B.; Calandra, M.; Car, R.; Cavazzoni, C.; Ceresoli, D.; Cococcioni, M.; et al. Advanced capabilities for materials modelling with Quantum ESPRESSO. J. Phys. Condens. Matter 2017, 29, 465901. [Google Scholar] [CrossRef] [PubMed]
- Troullier, N.; Martins, J.L. Efficient pseudopotentials for plane-wave calculations. Phys. Rev. B 1991, 43, 1993–2006. [Google Scholar] [CrossRef] [PubMed]
- Perdew, J.P.; Burke, K.; Ernzerhof, M. Generalized Gradient Approximation Made Simple. Phys. Rev. Lett. 1996, 77, 3865–3868. [Google Scholar] [CrossRef] [PubMed]
- Monkhorst, H.J.; Pack, J.D. Special points for Brillonin - zone integrations. Phys. Rev. B 1976, 13, 5188–5192. [Google Scholar] [CrossRef]
- Politano, A.; Marino, A.R.; Formoso, V.; Farias, D.; Miranda, R.; Chiarello, G. Quadratic Dispersion and Damping Processes of π Plasmon in Monolayer Graphene on Pt(111). Plasmonics 2012, 7, 369–376. [Google Scholar] [CrossRef]
- In the long-wavelength limit Q ≪ 1/LPt, it is expected that the dynamical response of the Pt-skin slab will behave as if it were a 2D crystal. Indeed, the form factors become limQ→0 α, β = LPtv and the surface response function properly reduces to its 2D counterpart , where is the response function of a Pt 2D sheet.
- Iranzo, D.A.; Nanot, S.; Dias, E.J.C.; Epstein, I.; Peng, C.; Efetov, D.K.; Lundeberg, M.B.; Parret, R.; Osmond, J.; Hong, J.-Y.; et al. Probing the ultimate plasmon confinement limits with a van der Waals heterostructure. Science 2018, 360, 291–295. [Google Scholar] [CrossRef]
- Novko, D.; Šunjić, M.; Despoja, V. Optical absorption and conductivity in quasi-two-dimensional crystals from first principles: Application to graphene. Phys. Rev. B 2016, 93, 125413. [Google Scholar] [CrossRef]
- Pitarke, J.M.; Nazarov, V.U.; Silkin, V.M.; Chulkov, E.V.; Zaremba, E.; Echenique, P.M. Theory of acoustic surface plasmons. Phys. Rev. B 2004, 70, 205403. [Google Scholar] [CrossRef]
- Diaconescu, B.; Pohl, K.; Vattuone, L.; Savio, L.; Hofmann, P.; Silkin, V.M.; Pitarke, J.M.; Chulkov, E.V.; Echenique, P.M.; Farías, D.; et al. Low-energy acoustic plasmons at metal surfaces. Nature 2007, 448, 57–59. [Google Scholar] [CrossRef]
- Silkin, V.M.; Pitarke, J.M.; Chulkov, E.V.; Diaconescu, B.; Pohl, K.; Vattuone, L.; Savio, L.; Hofmann, P.; Farías, D.; Rocca, M.; et al. Band structure effects on the Be(0001) acoustic surface plasmon energy dispersion. Phys. Stat. Sol. 2008, 205, 1307–1311. [Google Scholar] [CrossRef]
- Fei, Z.; Andreev, G.O.; Bao, W.; Zhang, L.M.; McLeod, A.S.; Wang, C.; Stewart, M.K.; Zhao, Z.; Dominguez, G.; Thiemens, M.; et al. Infrared Nanoscopy of Dirac Plasmons at the Graphene—SiO2 Interface. Nano Lett. 2011, 11, 4701–4705. [Google Scholar] [CrossRef] [PubMed]
- Yan, H.; Low, T.; Zhu, W.; Wu, Y.; Freitag, M.; Li, X.; Guinea, F.; Avouris, P.; Xia, F. Damping pathways of mid-infrared plasmons in graphene nanostructures. Nat. Photonics 2013, 7, 394–399. [Google Scholar] [CrossRef]
- Lu, J.; Loh, K.P.; Huang, H.; Chen, W.; Wee, A.T.S. Plasmon dispersion on epitaxial graphene studied using high-resolution electron energy-loss spectroscopy. Phys. Rev. B 2009, 80, 113410. [Google Scholar] [CrossRef]
- Kuhnke, K.; Becker, R.; Epple, M.; Kern, K. C60 Exciton Quenching near Metal Surfaces. Phys. Rev. Lett. 1997, 79, 3246–3249. [Google Scholar] [CrossRef]
- Despoja, V.; Novko, D.; Dekanić, K.; Šunjić, M.; Marušić, L. Two-dimensional and π plasmon spectra in pristine and doped graphene. Phys. Rev. B 2013, 87, 075447. [Google Scholar] [CrossRef]
- Yang, L.; Deslippe, J.; Park, C.-H.; Cohen, M.L.; Louie, S.G. Excitonic effects on the optical response of graphene and bilayer graphene. Phys. Rev. Lett. 2009, 103, 186802. [Google Scholar] [CrossRef]
- Mak, K.F.; Ju, L.; Wang, F.; Heinz, T.F. Optical spectroscopy of graphene: From the far infrared to the ultraviolet. Solid State Commun. 2012, 152, 1341–1349. [Google Scholar] [CrossRef]
- Eberlein, T.; Bangert, U.; Nair, R.R.; Jones, R.; Gass, M.; Bleloch, A.L.; Novoselov, K.S.; Geim, A.; Briddon, P.R. Plasmon spectroscopy of free-standing graphene films. Phys. Rev. B 2008, 77, 233406. [Google Scholar] [CrossRef]
- Baud, S.; Ramseyer, C.; Bihlmayer, G.; Blugel, S.; Barreteau, C.; Desjonqueres, M.C.; Spanjaard, D.; Bernstein, N. Comparative study of ab initio and tight-binding electronic structure calculations applied to platinum surfaces. Phys. Rev. B 2004, 70, 235423. [Google Scholar] [CrossRef]





© 2020 by the authors. Licensee MDPI, Basel, Switzerland. This article is an open access article distributed under the terms and conditions of the Creative Commons Attribution (CC BY) license (http://creativecommons.org/licenses/by/4.0/).
Share and Cite
Despoja, V.; Radović, I.; Politano, A.; Mišković, Z.L. Insights on the Excitation Spectrum of Graphene Contacted with a Pt Skin. Nanomaterials 2020, 10, 703. https://doi.org/10.3390/nano10040703
Despoja V, Radović I, Politano A, Mišković ZL. Insights on the Excitation Spectrum of Graphene Contacted with a Pt Skin. Nanomaterials. 2020; 10(4):703. https://doi.org/10.3390/nano10040703
Chicago/Turabian StyleDespoja, Vito, Ivan Radović, Antonio Politano, and Zoran L. Mišković. 2020. "Insights on the Excitation Spectrum of Graphene Contacted with a Pt Skin" Nanomaterials 10, no. 4: 703. https://doi.org/10.3390/nano10040703
APA StyleDespoja, V., Radović, I., Politano, A., & Mišković, Z. L. (2020). Insights on the Excitation Spectrum of Graphene Contacted with a Pt Skin. Nanomaterials, 10(4), 703. https://doi.org/10.3390/nano10040703

