Rapidly-Dissolving Silver-Containing Bioactive Glasses for Cariostatic Applications
Abstract
1. Introduction
2. Results
2.1. Network Connectivity
2.2. Glass Characterization
2.2.1. Particle Size Analysis (PSA)
2.2.2. X-ray Diffraction (XRD)
2.2.3. Differential Scanning Calorimetry (DSC)
2.2.4. Scanning Electron Microscopy–Energy Dispersive X-ray Spectroscopy (SEM–EDX)
2.3. Solubility Studies
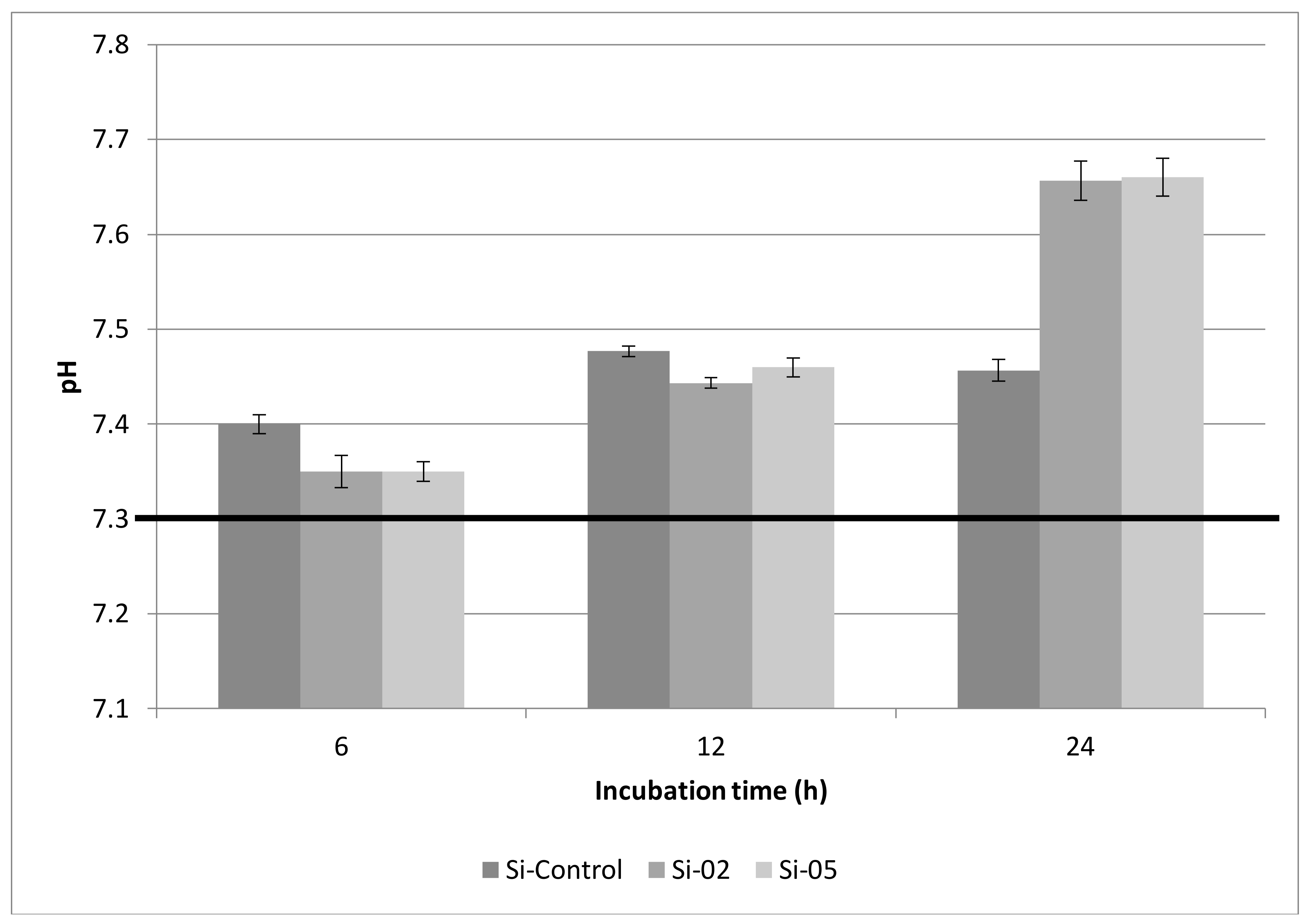
2.3.1. pH Changes
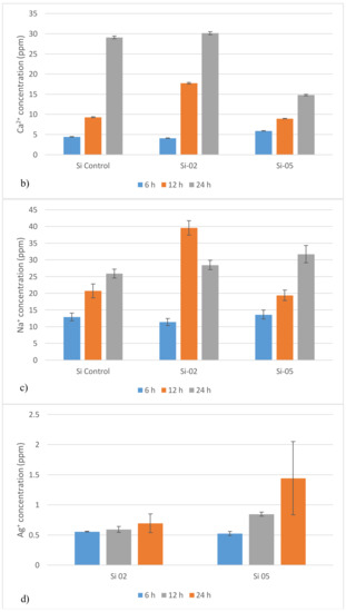
2.3.2. Ion Release Studies
2.4. Antibacterial Studies
2.5. Toothpaste Remineralization Studies
3. Discussion
4. Materials and Methods
4.1. Glass Synthesis
4.1.1. Glass Fabrication
4.1.2. Network Connectivity
4.2. Glass Characterization
4.2.1. Particle Size Analysis (PSA)
4.2.2. X-ray Diffraction (XRD)
4.2.3. Differential Scanning Calorimetry (DSC)
4.2.4. Scanning Electron Microscopy–Energy Dispersive X-ray Spectroscopy (SEM–EDX)
4.3. Solubility Studies
4.3.1. pH Change
4.3.2. Ion Release Studies
4.4. Antibacterial Studies
4.5. Toothpaste Remineralization Studies
4.6. Statistical Analysis
5. Conclusions
- The addition of 0.2 and 0.5 mol % silver oxide to a SiO2–CaO–P2O5–Na2O glass composition at the expense of silica did not cause the glasses to crystallize when fired through the melt-quench method.
- The glasses caused a pH response in Tris buffer solution, raising pH from 7.3 to approximately 7.6. This is invaluable as remineralization and demineralization are pH dependent processes. An acidic environment will promote demineralization, while a more alkaline environment will be more conducive to remineralization. However, an excessive increase in oral pH, typically over 7.5, can cause irritation.
- Ion release profiles were found to be dependent on time and silver content. The network structure of the glass is complex and glass dissolution follows the heterogeneous model, meaning the release of silver occurs in two phases; the first involving alkali ions being replaced with hydronium ions, which varies with the square root of time, while the second is the dissolution of the network, which varies linearly with time.
- Si-05 glass exhibited a stronger antibacterial effect than the Si-02 glass, while Si-Control exhibited no antibacterial effect. This stronger antibacterial response was due to the silver content in each composition; while pH changes are caused by all glasses, Si-Control contains no silver. It can be said then that Ag+ is the sole bactericidal factor in the glasses.
- All glasses remineralized lamb dental enamel when incorporated into a dentifrice that the molars were exposed to post a standard in vitro demineralization process. This remineralization effect was more potent than the toothpaste alone, which itself is more effective than deionized water. All compositions contain the same amount of calcium and phosphorous. As these are the constituent elements in HA, it is believed that Ca2+ and PO43− cause the remineralization effect. This section is not mandatory, but can be added to the manuscript if the discussion is unusually long or complex.
- The proposed formulations for the glasses involved higher mole percentages of silver oxide than those synthesized; however, it was determined, upon firing such glasses, that in order for the glass to fully incorporate the silver oxide in its structure, the amount of silver oxide had to be reduced to a maximum of 0.5 mol % Ag2O.
- The amount of silicon ions released after incubating the glass samples was not measured; in future works, silicon ion release is necessary, as this may be useful to explain how the glass network degradation functioned as silica was the backbone the here-in proposed silver-containing glasses.
- Incubation studies in SBF should be performed to evaluate the deposition of calcium phosphate (CaP) on the teeth surface.
- The ion release studies performed in this study show some unexpected results particularly for PO43− and Na+. The non-linear results obtained for Si-02 samples could be due to machine error. Another study will be performed to provide further insight into the ion release of the formulated materials when matured in de-ionized water, SBF and Tris buffer solutions.
Acknowledgments
Author Contributions
Conflicts of Interest
References
- Selwitz, R.H.; Ismail, A.I.; Pitts, N.B. Dental caries. Lancet 2007, 369, 51–59. [Google Scholar] [CrossRef]
- Lenander-Lumikari, M.; Loimaranta, V. Saliva and Dental Caries. Adv. Dent. Res. 2000, 14, 40–47. [Google Scholar] [CrossRef] [PubMed]
- Casamassimo, P.S.; Thikkurissy, S.; Edelstein, B.L.; Maiorini, E. Beyond the dmft: The human and economic cost of early childhood caries. J. Am. Dent. Assoc. 2009, 140, 650–657. [Google Scholar] [CrossRef] [PubMed]
- Marsh, P.D. Dental plaque as a biofilm: The significance of pH in health and caries. Compend. Contin. Educ. Dent. 2009, 30, 76–78, 80, 83–87; quiz 88, 90. [Google Scholar] [CrossRef] [PubMed]
- Featherstone, J.D.B. Dental caries: A dynamic disease process. Aust. Dent. J. 2008, 53, 286–291. [Google Scholar] [CrossRef] [PubMed]
- Hamba, H.; Nikaido, T.; Inoue, G.; Sadr, A.; Tagami, J. Effects of CPP-ACP with sodium fluoride on inhibition of bovine enamel demineralization: A quantitative assessment using micro-computed tomography. J. Dent. 2011, 39, 405–413. [Google Scholar] [CrossRef] [PubMed]
- Hooper, S.; Seong, J.; Macdonald, E.; Claydon, N.; Hellin, N.; Barker, M.L.; He, T.; West, N.X. A randomised in situ trial, measuring the anti-erosive properties of a stannous-containing sodium fluoride dentifrice compared with a sodium fluoride/potassium nitrate dentifrice. Int. Dent. J. 2014, 64 (Suppl. 1), 35–42. [Google Scholar] [CrossRef] [PubMed]
- Valkenburg, C.; Slot, D.E.; Bakker, E.W.P.; Van der Weijden, F.A. Does dentifrice use help to remove plaque? A systematic review. J. Clin. Periodontol. 2016, 43, 1050–1058. [Google Scholar] [CrossRef] [PubMed]
- Karim, B.F.A.; Gillam, D.G. The Efficacy of Strontium and Potassium Toothpastes in Treating Dentine Hypersensitivity: A Systematic Review. Int. J. Dent. 2013, 2013, 573258. [Google Scholar] [CrossRef] [PubMed]
- Babcock, F.D.; King, J.C.; Jordan, T.H. The reaction of stannous fluoride and hydroxyapatite. J. Dent. Res. 1978, 57, 933–938. [Google Scholar] [CrossRef] [PubMed]
- Schlueter, N.; Duran, A.; Klimek, J.; Ganss, C. Investigation of the effect of various fluoride compounds and preparations thereof on erosive tissue loss in enamel in vitro. Caries Res. 2009, 43, 10–16. [Google Scholar] [CrossRef] [PubMed]
- Ganss, C.; Neutard, L.; von Hinckeldey, J.; Klimek, J.; Schlueter, N. Efficacy of a tin/fluoride rinse: A randomized in situ trial on erosion. J. Dent. Res. 2010, 89, 1214–1218. [Google Scholar] [CrossRef] [PubMed]
- Lynch, R.J.M.; Churchley, D.; Butler, A.; Kearns, S.; Thomas, G.V.; Badrock, T.C.; Cooper, L.; Higham, S.M. Effects of zinc and fluoride on the remineralisation of artificial carious lesions under simulated plaque fluid conditions. Caries Res. 2011, 45, 313–322. [Google Scholar] [CrossRef] [PubMed]
- Hench, L.L.; Splinter, R.J.; Allen, W.C.; Greenlee, T.K. Bonding mechanisms at the interface of ceramic prosthetic materials. J. Biomed. Mater. Res. 1971, 5, 117–141. [Google Scholar] [CrossRef]
- Prabhakar, A.R.; Kumar, S.C. Antibacterial effect of bioactive glass in combination with powdered enamel and dentin. Indian J. Dent. Res. 2010, 21, 30–34. [Google Scholar] [CrossRef] [PubMed]
- Alhalawani, A.M.; Mehrvar, C.; Stone, W.; Waldman, S.D.; Towler, M.R. A novel tantalum-containing bioglass. Part II. Development of a bioadhesive for sternal fixation and repair. Mater. Sci. Eng. C 2017, 71. [Google Scholar] [CrossRef] [PubMed]
- Hench, L.L. Chronology of Bioactive Glass Development and Clinical Applications. New J. Glas. Ceram. 2013, 3, 67–73. [Google Scholar] [CrossRef]
- Greenlee, T.K.; Beckham, C.A.; Crebo, A.R.; Malmorg, J.C. Glass ceramic bone implants. A light microscopic study. J. Biomed. Mater. Res. 1972, 6, 235–244. [Google Scholar] [CrossRef] [PubMed]
- Curzon, M.E. The relation between caries prevalence and strontium concentrations in drinking water, plaque, and surface enamel. J. Dent. Res. 1985, 64, 1386–1388. [Google Scholar] [CrossRef] [PubMed]
- Thuy, T.T.; Nakagaki, H.; Kato, K.; Hung, P.A.; Inukai, J.; Tsuboi, S.; Nakagaki, H.; Hirose, M.N.; Igarashi, S.; Robinson, C. Effect of strontium in combination with fluoride on enamel remineralization in vitro. Arch. Oral Biol. 2008, 53, 1017–1022. [Google Scholar] [CrossRef] [PubMed]
- Mavbogobdato, T. The Preventive Role of Fluorine Against Caries. J. Dent. Res. 1951, 30, 225–228. [Google Scholar] [CrossRef] [PubMed]
- Besinis, A.; De Peralta, T.; Handy, R.D. The antibacterial effects of silver, titanium dioxide and silica dioxide nanoparticles compared to the dental disinfectant chlorhexidine on Streptococcus mutans using a suite of bioassays. Nanotoxicology 2014, 8, 1–16. [Google Scholar] [CrossRef] [PubMed]
- Mohammed, N.R.; Mneimne, M.; Hill, R.G.; Al-Jawad, M.; Lynch, R.J.M.; Anderson, P. Physical chemical effects of zinc on in vitro enamel demineralization. J. Dent. 2014, 42, 1096–1104. [Google Scholar] [CrossRef] [PubMed]
- Kanwal, N.; Brauer, D.S.; Earl, J.; Wilson, R.M.; Karpukhina, N.; Hill, R.G. In-vitro apatite formation capacity of a bioactive glass-containing toothpaste. J. Dent. 2018, 68, 51–58. [Google Scholar] [CrossRef] [PubMed]
- Macon, A.; Valliant, E.; Earl, J.; Jones, J. Bioactivity of toothpaste containing bioactive glass in remineralizing media: Effect of fluoride release from the enzymatic cleavage of monofluorophosphate. Biomed. Glas. 2015, 1, 41–50. [Google Scholar]
- Gendreau, L.; Barlow, A.P.S.; Mason, S.C. Overview of the clinical evidence for the use of NovaMin in providing relief from the pain of dentin hypersensitivity. J. Clin. Dent. 2011, 22, 90–95. [Google Scholar] [PubMed]
- Du Min, Q.; Bian, Z.; Jiang, H.; Greenspan, D.C.; Burwell, A.K.; Zhong, J.; Tai, B.J. Clinical evaluation of a dentifrice containing calcium sodium phosphosilicate (novamin) for the treatment of dentin hypersensitivity. Am. J. Dent. 2008, 21, 210–214. [Google Scholar] [PubMed]
- Gjorgievska, E.S.; Nicholson, J.W.; Slipper, I.J.; Stevanovic, M.M. Remineralization of demineralized enamel by toothpastes: A scanning electron microscopy, energy dispersive X-ray analysis, and three-dimensional stereo-micrographic study. Microsc. Microanal. 2013, 19, 587–595. [Google Scholar] [CrossRef] [PubMed]
- Kim, J.S.; Kuk, E.; Yu, K.N.; Kim, J.-H.; Park, S.J.; Lee, H.J.; Kim, S.H.; Park, Y.K.; Park, Y.H.; Hwang, C.-Y.; et al. Corrigendum to “Antimicrobial effects of silver nanoparticles” [Nanomed Nanotechnol Biol Med. 2007;1:95-101]. Nanomed. Nanotechnol. Biol. Med. 2014, 10, e1119. [Google Scholar] [CrossRef]
- Kwakye-Awuah, B.; Williams, C.; Kenward, M.A.; Radecka, I. Antimicrobial action and efficiency of silver-loaded zeolite X. J. Appl. Microbiol. 2008, 104, 1516–1524. [Google Scholar] [CrossRef] [PubMed]
- Mijnendonckx, K.; Leys, N.; Mahillon, J.; Silver, S.; Van Houdt, R. Antimicrobial silver: Uses, toxicity and potential for resistance. Biometals 2013, 26, 609–621. [Google Scholar] [CrossRef] [PubMed]
- Payami, R.; Ghorbanpour, M.; Parchehbaf Jadid, A. Antibacterial silver-doped bioactive silica gel production using molten salt method. J. Nanostructure Chem. 2016, 6, 215–221. [Google Scholar] [CrossRef]
- Valappil, S.P.; Knowles, J.C.; Wilson, M. Effect of Silver-Doped Phosphate-Based Glasses on Bacterial Biofilm Growth. Appl. Environ. Microbiol. 2008, 74, 5228–5230. [Google Scholar] [CrossRef] [PubMed]
- Feng, Q.L.; Wu, J.; Chen, G.Q.; Cui, F.Z.; Kim, T.N.; Kim, J.O. A mechanistic study of the antibacterial effect of silver ions on Escherichia coli and Staphylococcus aureus. J. Biomed. Mater. Res. 2000, 52, 662–668. [Google Scholar] [CrossRef]
- Kim, T.N.; Feng, Q.L.; Kim, J.O.; Wu, J.; Wang, H.; Chen, G.C.; Cui, F.Z. Antimicrobial effects of metal ions (Ag+, Cu2+, Zn2+) in hydroxyapatite. J. Mater. Sci. Mater. Med. 1998, 9, 129–134. [Google Scholar] [CrossRef] [PubMed]
- Holt, K.B.; Bard, A.J. Interaction of Silver(I) Ions with the Respiratory Chain of Escherichia coli: An Electrochemical and Scanning Electrochemical Microscopy Study of the Antimicrobial Mechanism of Micromolar Ag+. Biochemistry 2005, 44, 13214–13223. [Google Scholar] [CrossRef] [PubMed]
- Lok, C.-N.; Ho, C.-M.; Chen, R.; He, Q.-Y.; Yu, W.-Y.; Sun, H.; Tam, P.K.-H.; Chiu, J.-F.; Che, C.-M. Proteomic Analysis of the Mode of Antibacterial Action of Silver Nanoparticles. J. Proteome Res. 2006, 5. [Google Scholar] [CrossRef] [PubMed]
- Schreurs, W.J.; Rosenberg, H. Effect of silver ions on transport and retentionEscherichia coli Escherichia coli. J. Bacteriol. 1982, 152, 7–13. [Google Scholar] [PubMed]
- Hill, R.G.; Brauer, D.S. Predicting the bioactivity of glasses using the network connectivity or split network models. J. Non. Cryst. Solids 2011, 357, 3884–3887. [Google Scholar] [CrossRef]
- O’Donnell, M.D.; Watts, S.J.; Law, R.V.; Hill, R.G. Effect of P2O5 content in two series of soda lime phosphosilicate glasses on structure and properties—Part II: Physical properties. J. Non. Cryst. Solids 2008, 354, 3561–3566. [Google Scholar] [CrossRef]
- Young, R.A. Implications of atomic substitutions and other structural details in apatites. J. Dent. Res. 1974, 53, 193–203. [Google Scholar] [CrossRef] [PubMed]
- Deliormanlı, A.M. Size-dependent degradation and bioactivity of borate bioactive glass. Ceram. Int. 2013, 39, 8087–8095. [Google Scholar] [CrossRef]
- Mneimne, M.; Hill, R.G.; Bushby, A.J.; Brauer, D.S. High phosphate content significantly increases apatite formation of fluoride-containing bioactive glasses. Acta Biomater. 2011, 7, 1827–1834. [Google Scholar] [CrossRef] [PubMed]
- Brauer, D.S.; Mneimne, M.; Hill, R.G. Fluoride-containing bioactive glasses: Fluoride loss during melting and ion release in tris buffer solution. J. Non. Cryst. Solids 2011, 357, 3328–3333. [Google Scholar] [CrossRef]
- O’Donnell, M.D.; Watts, S.J.; Hill, R.G.; Law, R.V. The effect of phosphate content on the bioactivity of soda-lime-phosphosilicate glasses. J. Mater. Sci. Mater. Med. 2009, 20, 1611–1618. [Google Scholar] [CrossRef] [PubMed]
- Alhalawani, A.M.F.; Towler, M.R. The effect of ZnO↔Ta2O5 substitution on the structural and thermal properties of SiO2-ZnO-SrO-CaO-P2O5 glasses. Mater. Charact. 2016, 114, 218–224. [Google Scholar] [CrossRef]
- Alhalawani, A.M.F.; Towler, M.R. A novel tantalum-containing bioglass. Part I. Structure and solubility. Mater. Sci. Eng. C 2017, 72, 202–211. [Google Scholar] [CrossRef] [PubMed]
- Cerruti, M.G.; Greenspan, D.; Powers, K. An analytical model for the dissolution of different particle size samples of Bioglass® in TRIS-buffered solution. Biomaterials 2005, 26, 4903–4911. [Google Scholar] [CrossRef] [PubMed]
- El-Kady, A.M.; Ali, A.F.; Rizk, R.A.; Ahmed, M.M. Synthesis, characterization and microbiological response of silver doped bioactive glass nanoparticles. Ceram. Int. 2012, 38, 177–188. [Google Scholar] [CrossRef]
- Kim, J.S.; Kuk, E.; Yu, K.N.; Kim, J.-H.; Park, S.J.; Lee, H.J.; Kim, S.H.; Park, Y.K.; Park, Y.H.; Hwang, C.-Y.; et al. Antimicrobial effects of silver nanoparticles. Nanomed. Nanotechnol. Biol. Med. 2007, 3, 95–101. [Google Scholar] [CrossRef] [PubMed]
- Vale, G.C.; Tabchoury, C.P.M.; Del Bel Cury, A.A.; Tenuta, L.M.A.; ten Cate, J.M.; Cury, J.A. APF and dentifrice effect on root dentin demineralization and biofilm. J. Dent. Res. 2011, 90, 77–81. [Google Scholar] [CrossRef] [PubMed]
- Zantner, C.; Beheim-Schwarzbach, N.; Neumann, K.; Kielbassa, A.M. Surface microhardness of enamel after different home bleaching procedures. Dent. Mater. 2007, 23, 243–250. [Google Scholar] [CrossRef] [PubMed]
- Chen, H.-P.; Chang, C.-H.; Liu, J.-K.; Chuang, S.-F.; Yang, J.-Y. Effect of fluoride containing bleaching agents on enamel surface properties. J. Dent. 2008, 36, 718–725. [Google Scholar] [CrossRef] [PubMed]
- Buzalaf, M.A.R.; Hannas, A.R.; Magalhaes, A.C.; Rios, D.; Honorio, H.M.; Delbem, A.C.B. pH-cycling models for in vitro evaluation of the efficacy of fluoridated dentifrices for caries control: Strengths and limitations. J. Appl. Oral Sci. 2010, 18, 316–334. [Google Scholar] [CrossRef] [PubMed]
- Yap, A.U.; Lye, K.W.; Sau, C.W. Surface characteristics of tooth-colored restoratives polished utilizing different polishing systems. Oper. Dent. 1997, 22, 260–265. [Google Scholar] [PubMed]
- Arends, J.; Ten Cate, J.M. Tooth enamel remineralization. J. Cryst. Growth 1981, 53, 135–147. [Google Scholar] [CrossRef]
- Hill, R. An alternative view of the degradation of bioglass. J. Mater. Sci. Lett. 1996, 15, 1122–1125. [Google Scholar] [CrossRef]
- Baltzer, N.; Copponnex, T. Precious Metals for Biomedical Applications, 1st ed.; Elsevier: Amsterdam, The Netherlands, 2014. [Google Scholar]
- Avila, M.; Ojcius, D.M.; Yilmaz, O. The oral microbiota: Living with a permanent guest. DNA Cell Biol. 2009, 28, 405–411. [Google Scholar] [CrossRef] [PubMed]
- De Sousa Barbosa, R.P.; Pereira-Cenci, T.; da Silva, W.M.; Coelho-de-Souza, F.H.; Demarco, F.F.; Cenci, M.S. Effect of cariogenic biofilm challenge on the surface hardness of direct restorative materials in situ. J. Dent. 2012, 40, 359–363. [Google Scholar] [CrossRef] [PubMed]









| Glass | NM | NF |
|---|---|---|
| Si-Control | 1.314 | 1.314 |
| Si-02 | 1.309 | 1.315 |
| Si-05 | 1.302 | 1.317 |
| Glass | d10 | d50 | d90 |
|---|---|---|---|
| Si-Control | 2.29 | 4.22 | 9.31 |
| Si-02 | 2.29 | 4.31 | 10.33 |
| Si-05 | 2.38 | 5.11 | 12.73 |
| Glass | Tg (°C) | Tc (°C) |
|---|---|---|
| Si-Control | 610 ± 12 | 838 ± 17 |
| Si-02 | 618 ± 12 | 848 ± 17 |
| Si-05 | 620 ± 12 | 826 ± 17 |
| Element | Si-Control | Si-02 | Si-05 |
|---|---|---|---|
| O | 50.6 | 54.8 | 54.7 |
| Si | 29.0 | 25.9 | 24.9 |
| Na | 10.3 | 10.3 | 10.6 |
| Ca | 7.60 | 6.60 | 6.77 |
| P | 2.50 | 2.03 | 2.03 |
| Ag | 0 | 0.3 | 0.97 |
| Treatment | After Demineralization | 6 h after Brushing | 12 h after Brushing | 24 h after Brushing |
|---|---|---|---|---|
| DI Water | 73% | 51% | 43% | 39% |
| TP | 79% | 52% | 47% | 39% |
| TP + Si-Control | 84% | 64% | 43% | 36% |
| TP + Si-02 | 83% | 58% | 37% | 34% |
| TP + Si-05 | 86% | 53% | 37% | 32% |
| Glass | SiO2 | CaO | P2O5 | Na2O | Ag2O |
|---|---|---|---|---|---|
| Si-Control | 70 | 12 | 3 | 15 | 0 |
| Si-02 | 69.8 | 12 | 3 | 15 | 0.2 |
| Si-05 | 69.5 | 12 | 3 | 15 | 0.5 |
© 2018 by the authors. Licensee MDPI, Basel, Switzerland. This article is an open access article distributed under the terms and conditions of the Creative Commons Attribution (CC BY) license (http://creativecommons.org/licenses/by/4.0/).
Share and Cite
Rodriguez, O.; Alhalawani, A.; Arshad, S.; Towler, M.R. Rapidly-Dissolving Silver-Containing Bioactive Glasses for Cariostatic Applications. J. Funct. Biomater. 2018, 9, 28. https://doi.org/10.3390/jfb9020028
Rodriguez O, Alhalawani A, Arshad S, Towler MR. Rapidly-Dissolving Silver-Containing Bioactive Glasses for Cariostatic Applications. Journal of Functional Biomaterials. 2018; 9(2):28. https://doi.org/10.3390/jfb9020028
Chicago/Turabian StyleRodriguez, Omar, Adel Alhalawani, Saad Arshad, and Mark R. Towler. 2018. "Rapidly-Dissolving Silver-Containing Bioactive Glasses for Cariostatic Applications" Journal of Functional Biomaterials 9, no. 2: 28. https://doi.org/10.3390/jfb9020028
APA StyleRodriguez, O., Alhalawani, A., Arshad, S., & Towler, M. R. (2018). Rapidly-Dissolving Silver-Containing Bioactive Glasses for Cariostatic Applications. Journal of Functional Biomaterials, 9(2), 28. https://doi.org/10.3390/jfb9020028
