Collective Migration of Lens Epithelial Cell Induced by Differential Microscale Groove Patterns
Abstract
:1. Introduction
2. Materials and Methods
2.1. Designs of Patterns
2.2. Fabrication of Patterned Substrates
2.3. Cell Culture, Migration Monitoring, and Proliferation Assay
2.4. Fluorescence Imaging
2.5. Scanning Electronic Microscopy Images
2.6. Statistical Analysis
3. Results
3.1. Microgroove Patterns Affect Cell Shape and Orientation
3.2. The Arrangement of F-Actin Depends on the Type of Patterns
3.3. Microgroove Patterns Interfere the Perpendicular Migration of LECs
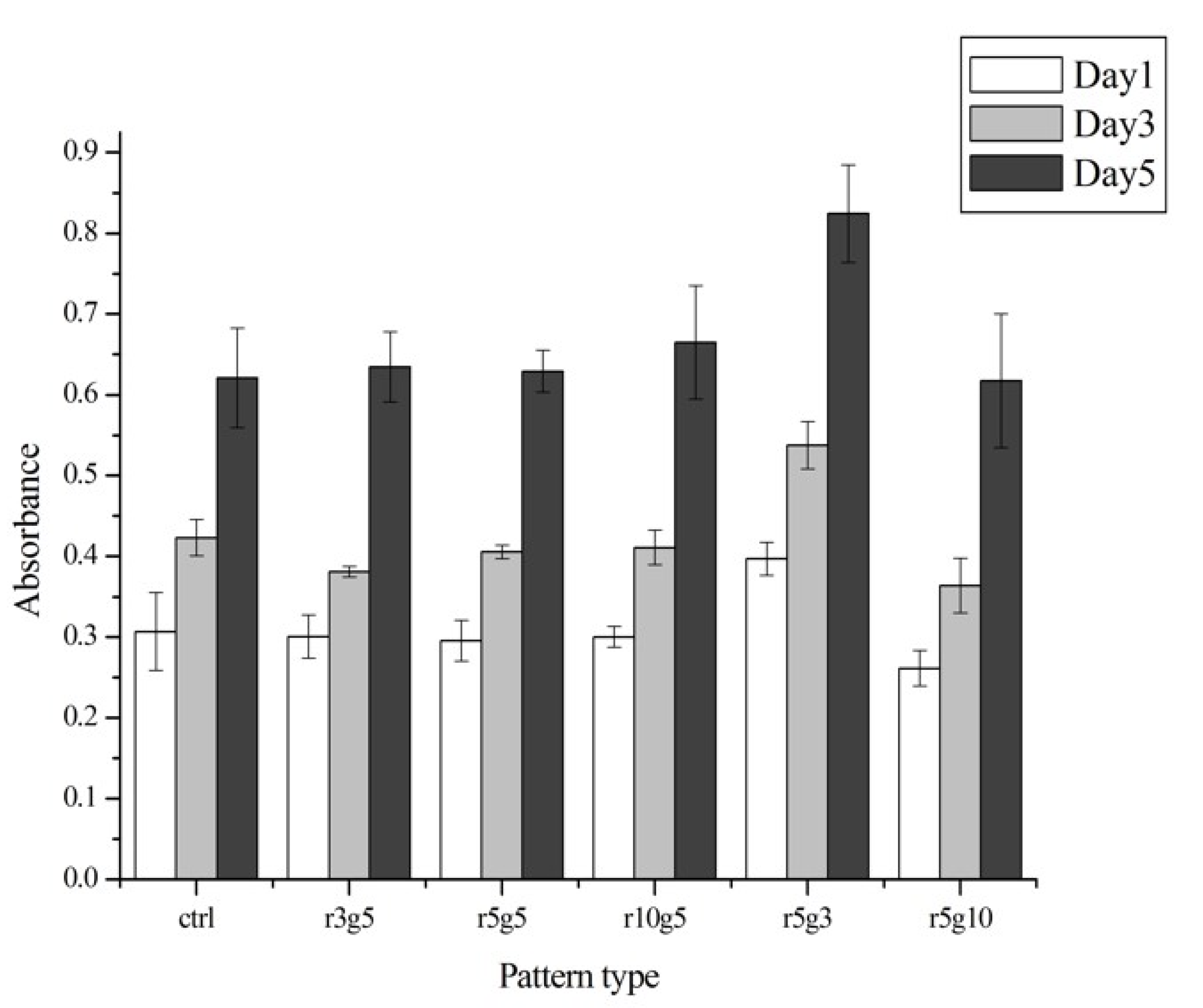
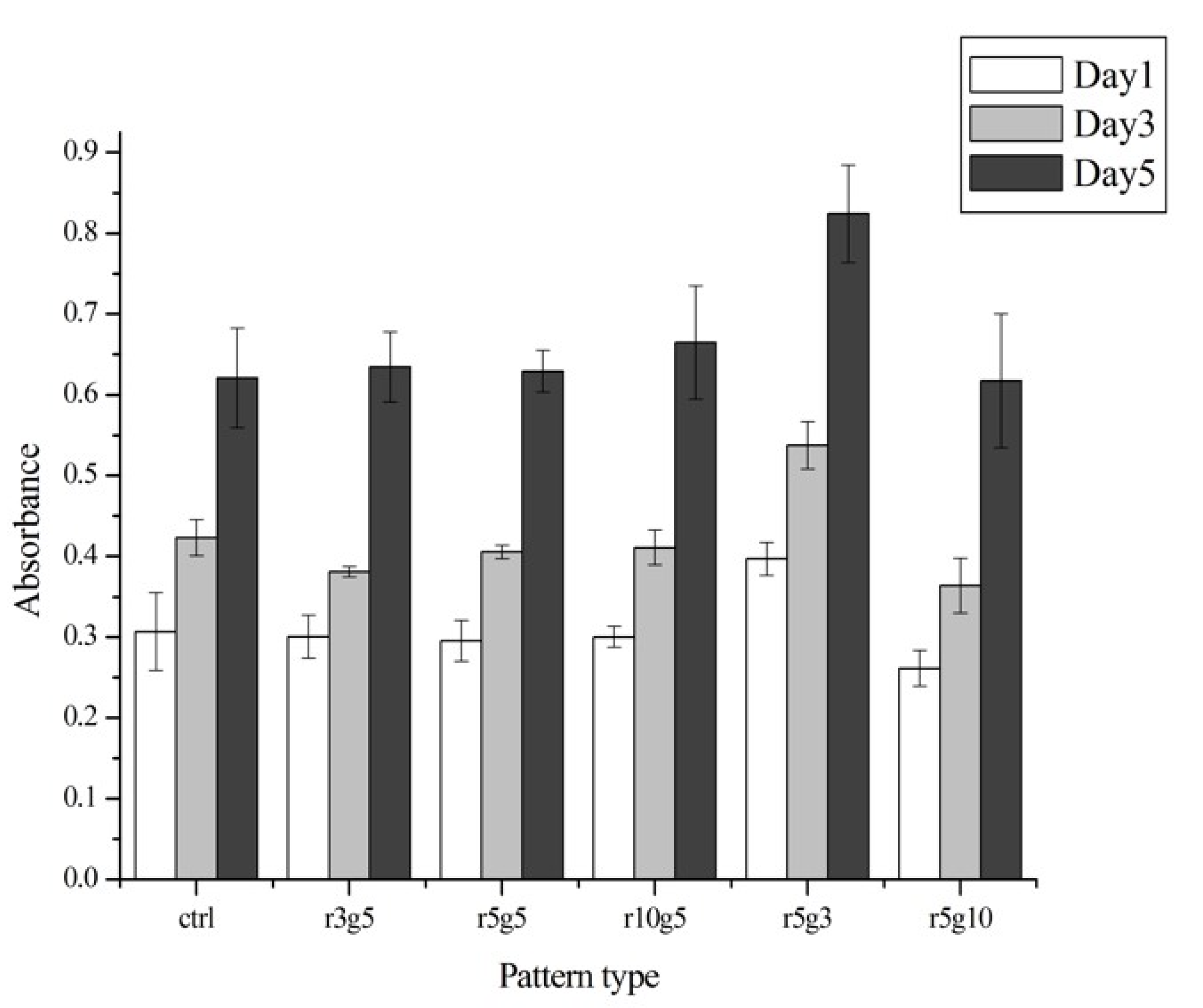
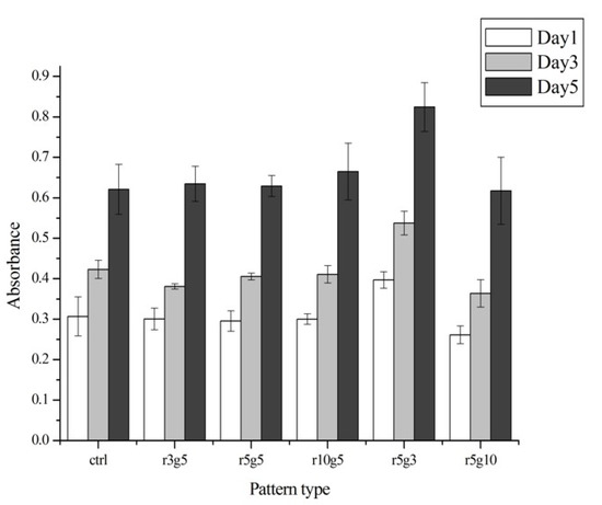
3.4. Proliferation Rate of Certain Pattern Represents Higher Migration Rate
4. Discussion
5. Conclusions
Acknowledgments
Author Contributions
Conflicts of Interest
References
- Group EDPR. Prevalence of cataract and pseudophakia/aphakia among adults in the United States. Archives of Ophthalmology. Arch. Ophthalmol. 2004, 122, 487–494. [Google Scholar]
- Thylefors, B.; Negrel, A.; Pararajasegaram, R.; Dadzie, K. Global data on blindness. Bull. World Health Organ. 1995, 73, 115. [Google Scholar] [PubMed]
- Schaumberg, D.A.; Dana, M.R.; Christen, W.G.; Glynn, R.J. A systematic overview of the incidence of posterior capsule opacification. Ophthalmology 1998, 105, 1213–1221. [Google Scholar] [CrossRef]
- Vasavada, A.; Chauhan, H. Intraocular lens implantation in infants with congenital cataracts. J. Cataract Refract. Surg. 1994, 20, 592–598. [Google Scholar] [CrossRef]
- Awasthi, N.; Guo, S.; Wagner, B. Posterior capsular opacification: A problem reduced but not yet eradicated. Arch. Ophthalmol. 2009, 127, 555–562. [Google Scholar] [CrossRef] [PubMed]
- Ge, J.; Wand, M.; Chiang, R.; Paranhos, A.; Shields, M.B. Long-term effect of Nd: YAG laser posterior capsulotomy on intraocular pressure. Arch. Ophthalmol. 2000, 118, 1334–1337. [Google Scholar] [CrossRef] [PubMed]
- Jahn, C.; Emke, M. Long-term elevation of intraocular pressure after neodymium: YAG laser posterior capsulotomy. Ophthalmologica 1996, 210, 85–89. [Google Scholar] [CrossRef] [PubMed]
- Nishi, O. Posterior capsule opacificationPart 1: Experimental investigations. J Cataract Refract. Surg. 1999, 25, 106–117. [Google Scholar] [CrossRef]
- Nishi, O.; Nishi, K. Preventing posterior capsule opacification by creating a discontinuous sharp bend in the capsule. J. Cataract Refract. Surg. 1999, 25, 521–526. [Google Scholar] [CrossRef]
- Iwase, T.; Nishi, Y.; Oveson, B.C.; Jo, Y.-J. Hydrophobic versus double-square-edged hydrophilic foldable acrylic intraocular lens: Effect on posterior capsule opacification. J. Cataract Refract. Surg. 2011, 37, 1060–1068. [Google Scholar] [CrossRef] [PubMed]
- Kaufman, P.L.; Levin, L.A.; Alm, A.; Nilsson, S.F.; Ver Hoeve, J. Adler’s Physiology of the Eye, 11th ed.; Elsevier Health Sciences: Amsterdam, Netherlands, 2011. [Google Scholar]
- Brunette, D. The effects of implant surface topography on the behavior of cells. Int J Oral Maxillofac Implants. 1988, 3, 1–44. [Google Scholar]
- Curtis, A.; Wilkinson, C. Topographical control of cells. Biomaterials 1997, 18, 1573–1583. [Google Scholar]
- Martinez, E.; Engel, E.; Planell, J.; Samitier, J. Effects of artificial micro-and nano-structured surfaces on cell behaviour. Ann Anat. 2009, 191, 126–135. [Google Scholar] [CrossRef] [PubMed]
- Rørth, P. Collective cell migration. Ann. Rev. Cell Dev. 2009, 25, 407–429. [Google Scholar] [CrossRef] [PubMed]
- Teixeira, A.I.; Abrams, G.A.; Bertics, P.J.; Murphy, C.J.; Nealey, P.F. Epithelial contact guidance on well-defined micro-and nanostructured substrates. J Cell Sci. 2003, 116, 1881–1892. [Google Scholar] [CrossRef] [PubMed]
- Lawrence, B.D.; Pan, Z.; Rosenblatt, M.I. Silk film topography directs collective epithelial cell migration. PLoS ONE 2012, 7, e50190. [Google Scholar] [CrossRef] [PubMed]
- Jeon, H.; Hidai, H.; Hwang, D.J.; Healy, K.E.; Grigoropoulos, C.P. The effect of micronscale anisotropic cross patterns on fibroblast migration. Biomaterials 2010, 31, 4286–4295. [Google Scholar] [CrossRef] [PubMed]
- Huber, F.; Schnauß, J.; Rönicke, S.; Rauch, P.; Müller, K.; Fütterer, C.; Käs, J. Emergent complexity of the cytoskeleton: From single filaments to tissue. Adv. Phys. 2013, 62, 1–112. [Google Scholar] [CrossRef] [PubMed]
- Mattila, P.K.; Lappalainen, P. Filopodia: Molecular architecture and cellular functions. Nat. Rev. Mol. Cell Biol. 2008, 9, 446–454. [Google Scholar] [CrossRef] [PubMed]
- Ridley, A.J. Rho GTPases and cell migration. J. Cell Sci. 2001, 114, 2713–2722. [Google Scholar] [PubMed]
- Abercrombie, M.; Heaysman, J.E.; Pegrum, S.M. The locomotion of fibroblasts in culture: IV. Electron microscopy of the leading lamella. Exp. Cell Res. 1971, 67, 359–367. [Google Scholar] [CrossRef]
- Cramer, L.P.; Siebert, M.; Mitchison, T.J. Identification of novel graded polarity actin filament bundles in locomoting heart fibroblasts: Implications for the generation of motile force. J. Cell Biol. 1997, 136, 1287–1305. [Google Scholar] [CrossRef] [PubMed]
- Heath, J.P.; Holifield, B.F. On the mechanisms of cortical actin flow and its role in cytoskeletal organisation of fibroblasts. Symp. Soc. Exp. Biol. 1993, 47, 35–56. [Google Scholar] [PubMed]
- Ponti, A.; Machacek, M.; Gupton, S.; Waterman-Storer, C.; Danuser, G. Two distinct actin networks drive the protrusion of migrating cells. Science 2004, 305, 1782–1786. [Google Scholar] [CrossRef] [PubMed]
- Friedl, P.; Wolf, K. Plasticity of cell migration: A multiscale tuning model. J. Cell Biol. 2010, 188, 11–19. [Google Scholar] [CrossRef] [PubMed]
- Choi, C.K.; Vicente-Manzanares, M.; Zareno, J.; Whitmore, L.A.; Mogilner, A.; Horwitz, A.R. Actin and α-actinin orchestrate the assembly and maturation of nascent adhesions in a myosin II motor-independent manner. Nat. Cell Biol. 2008, 10, 1039–1050. [Google Scholar] [CrossRef] [PubMed]
- Gardel, M.L.; Schneider, I.C.; Aratyn-Schaus, Y.; Waterman, C.M. Mechanical integration of actin and adhesion dynamics in cell migration. Ann. Rev. Cell Dev. Biol. 2010, 26, 315–333. [Google Scholar] [CrossRef] [PubMed]
- Chaudhuri, P.K.; Pan, C.Q.; Low, B.C.; Lim, C.T. Topography induces differential sensitivity on cancer cell proliferation via Rho-ROCK-Myosin contractility. Sci. Rep. 2016, 6, 19672. [Google Scholar] [CrossRef] [PubMed]






© 2017 by the authors. Licensee MDPI, Basel, Switzerland. This article is an open access article distributed under the terms and conditions of the Creative Commons Attribution (CC BY) license (http://creativecommons.org/licenses/by/4.0/).
Share and Cite
Kwon, C.; Kim, Y.; Jeon, H. Collective Migration of Lens Epithelial Cell Induced by Differential Microscale Groove Patterns. J. Funct. Biomater. 2017, 8, 34. https://doi.org/10.3390/jfb8030034
Kwon C, Kim Y, Jeon H. Collective Migration of Lens Epithelial Cell Induced by Differential Microscale Groove Patterns. Journal of Functional Biomaterials. 2017; 8(3):34. https://doi.org/10.3390/jfb8030034
Chicago/Turabian StyleKwon, Chunga, Youngjun Kim, and Hojeong Jeon. 2017. "Collective Migration of Lens Epithelial Cell Induced by Differential Microscale Groove Patterns" Journal of Functional Biomaterials 8, no. 3: 34. https://doi.org/10.3390/jfb8030034
APA StyleKwon, C., Kim, Y., & Jeon, H. (2017). Collective Migration of Lens Epithelial Cell Induced by Differential Microscale Groove Patterns. Journal of Functional Biomaterials, 8(3), 34. https://doi.org/10.3390/jfb8030034

