1. Introduction
Against common belief, mandibular condyle fractures are not that rare, with morbidity rates ranging up to 52%, depending on actual literature sources [
1,
2,
3]. Over the years, there has been a lot of debate about the method that yields better treatment result: surgical or conservative treatment. Wide-spread access to computed tomography and higher awareness of complications that result from the failure to treat this kind of trauma have led to more and more hospitals opting for surgical treatment of such injuries. Achieving proper stabilization through osteosynthesis allows better temporomandibular joint (TMJ) [
4] function to be achieved. Osteosynthesis and the closed approach lead to some bone height loss, reaching 0.3–1.6 mm and 6.9 mm, respectively. Though evidence is limited, TMJ functional capacity restoration achieved following osteosynthesis, which ranges from 63 to 90%. This contrasts with the poor TMJ functional capacity restoration ratios achieved with closed treatment (40%) [
3]. In light of this research, striving for more frequent application of surgical techniques that decrease bone resorption seems warranted.
Each medical center strives to improve the surgical techniques applied and obtain the most satisfactory anatomical and functional effect. There are numerous papers that explore attempts at identifying the best possible access technique, material and shape of plates used for osteosynthesis [
5,
6,
7].
Titanium alloy is a material commonly used for fixations, as its biological interaction profile [
8,
9] allows for its removal after achieving bone union. Obtaining surgical access [
10] to the condylar process is however associated with a number of anatomical difficulties. These usually result in the need for revision surgery within the area of the pre-existing scar. These procedures are often technically demanding, with synechiae that prevent easy access to the anatomical structures constituting one of the contributing factors. This anatomical region also requires the surgeon to work in the direct vicinity of the facial nerve and since scarring reduces visibility and hinders proper identification of anatomical structures, nerve injury is more frequent. This is further complicated by the patients’ reluctance for revision surgery, which they consider unnecessary. Where titanium plates and screws are left inside the body, some patients develop complications, as the material provokes resorption of the surrounding bone. This has been already reported for lag screw fixations [
11,
12,
13], however data is lacking for miniplates used for osteosynthesis in this anatomical region.
Condylar process fractures have constituted the core work of our maxillofacial surgery department, leading to numerous papers being published, focused on bone loss around the screws used for osteosynthesis of high fractures, such as mandibular head fractures. There are limited references that would delve into the issue of post-healing bone loss seen around plates used for mandibular condylar fracture osteosynthesis.
With this in mind, relevant research would pave the way towards improving surgical techniques and allowing to better forecast cases where osteosynthesis plate removal would be required. The purpose of this study is to determine the extent of bone resorption related to fixation material remaining in the body after surgical treatment of extracapsular fractures of the mandibular condylar process.
2. Materials and Methods
2.1. Study Design and Ethical Approval
This retrospective study was conducted at the Department of Maxillofacial Surgery, Medical University of Lodz, Poland, and was approved by the institutional bioethics committee (RNN/125/15/KEW and RNN/738/12/KB). The study was carried out in accordance with the Declaration of Helsinki. Both prospectively and retrospectively treated patients were included based on written informed consent.
2.2. Study Population
The study population comprised 220 patients with a total of 276 fractures involving the base, low neck, or high neck of the mandibular condylar process. Patients were eligible if they had sustained extracapsular condylar fractures treated surgically using open reduction and internal fixation (ORIF).
Exclusion criteria included:
Isolated condylar fractures treated conservatively or with screw fixation only;
Incomplete radiological documentation;
Lack of 12-month postoperative follow-up.
Fracture type and displacement were classified according to Kozakiewicz’s classification [
14]. Patient histories included trauma mechanism, side of injury (unilateral/bilateral), concomitant mandibular or craniofacial fractures, and general trauma history. The most common causes were battery, falls, and bicycle or scooter accidents.
2.3. Surgical Procedure
All patients were treated under general anesthesia with nasotracheal intubation. Open reduction and internal fixation were performed using ACP and XCP miniplates (grade 5 titanium, ChM, Lewickie, Poland) and 2.0 mm self-tapping screws (
Figure 1).
The approach (preauricular or retromandibular) was selected based on fracture location and surgeon preference. For each case, the following intraoperative data were recorded:
Time from injury to surgery;
Duration of the procedurę;
Number and length of screws;
Type of osteosynthesis material.
All patients underwent standardized follow-up and postoperative CT imaging at 12 months.
2.4. Imaging and Measurement Protocol
Computed tomography (CT) was the imaging modality of choice. All scans were analyzed using RadiAnt DICOM Viewer (Medixant, Poznan, Poland;
www.radiantviewer.com, accessed on 1 October 2022) by the same operator, eliminating inter-observer variability.
Evaluation was performed in the bone window (window level = 300 HU; window width = 1500 HU). All measurements were repeated twice by the same operator to ensure consistency.
The following parameters were assessed:
Consolidation in the fracture area;
Bone loss around screws and plates;
Change in mandibular ramus height after 12 months (operated and contralateral sides);
Deformities of the mandibular head.
For each screw, the distance from the screw head to the bone border was measured parallel to the screw axis, immediately postoperatively and at 12-month follow-up. When resorption was observed around several screws, the mean value per plate was calculated. Measurements were taken in the frontal projection. A reference line perpendicular to the posterior border of the mandible was used to standardize orientation between scans.
2.5. Statistical Analysis
Statistical analysis included assessment of variable distribution and regression analysis to determine relationships between quantitative variables. Results were considered statistically significant at p < 0.05. All analyses were performed using Statgraphics Centurion XVI (StarPoint Technologies Inc., The Plains, VA, USA).
3. Results
The most common cause of mandibular condyle fracture was battery and falling from a height equal to at least the patient’s own height, as well as bicycle or scooter accidents. The amount of peri-screw bone resorption does not depend on the reason behind the injury (
Table 1).
The average age of the treated patients was 34.5 ± 15 years, with 18.8% of the subjects female and 81.2% male.
Greater bone loss (p < 0.05) was observed in bilateral fractures of the mandibular condyle (0.86 ± 1.00 mm) and in unilateral (0.33 ± 0.49 mm) fractures. However, as there is an accompanying fracture of the body of the mandible, it seems to have no effect on bone resorption at the condylar fixation (p = 0.548). This does not apply to cases with an accompanying zygoma fracture, where higher resorption rates are reported with condyle osteosynthesis (1.50 ± 00.00 mm; p < 0.05). The presence of an orbital or maxillary fracture does not impact resorption at the condylar fixation site being investigated.
A summary of the collected data is presented in the tables below (
Table 2 and
Table 3).
Using screws and miniplates is the gold standard for treating mandibular condylar process fractures. The number of fixing screws used translates into differences in bone loss around the screw head. The more screws used, the less bone loss observed around the screw head (
p < 0.05) (
Figure 3).
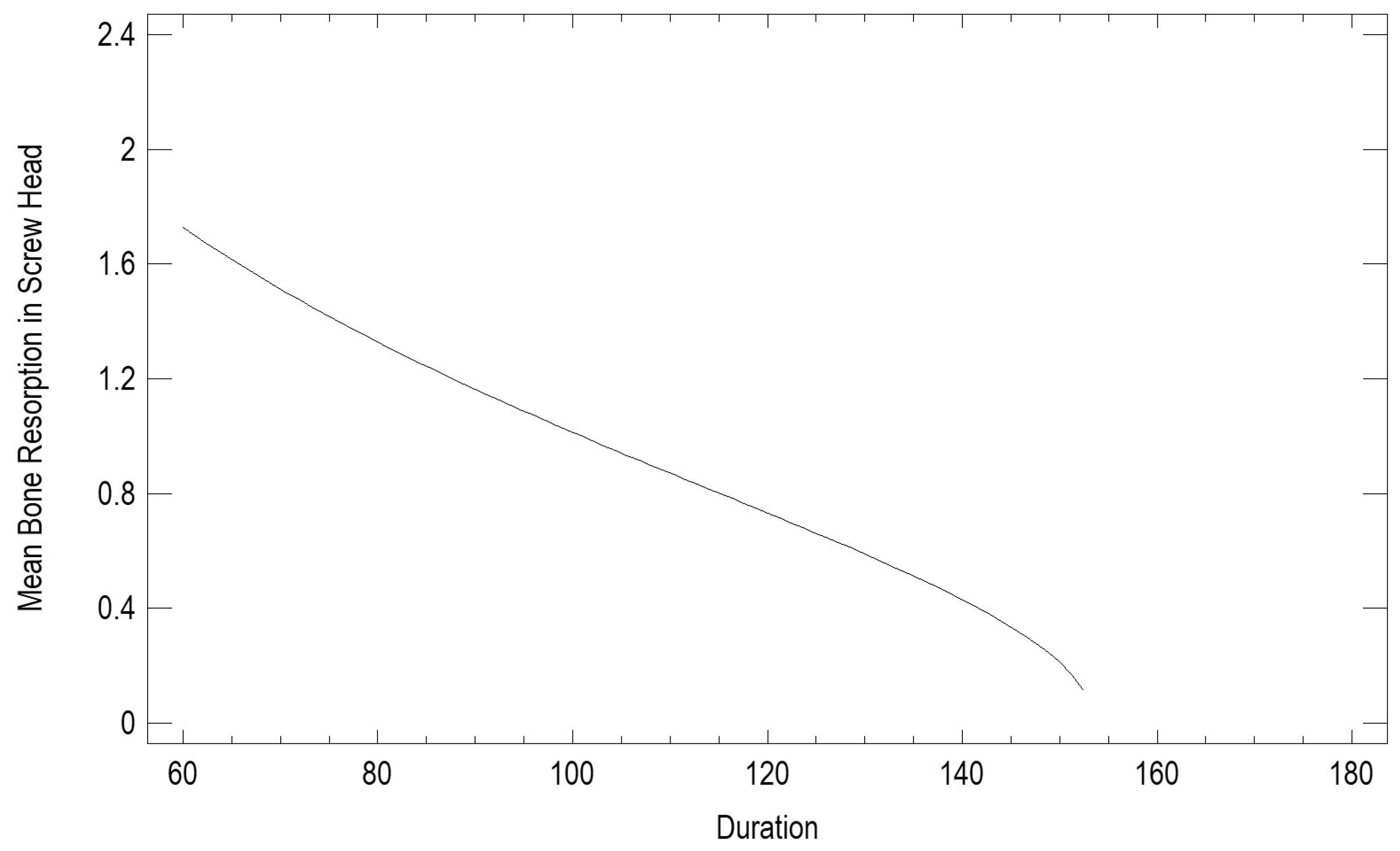
Surgical procedure duration recorded ranged from 60 to 180 min. This variable was found to exert a moderately strong influence on treatment outcomes: short osteosynthesis duration (in minutes) led to greater resorption (in mm) in the screw head area (
p < 0.0001, correlation coefficient 0.59) (
Figure 4).
The impact of the distance from the plate rim to the mandibular head lateral pole (in mm) is presented in
Figure 5. The values recorded ranged from those overlapping with the lateral pole (negative values) to a distance of as much as 20 mm. A statistical evaluation indicated that proximity to the lateral pole is a risk factor (
p < 0.05) for bone resorption at the plate rim (
Figure 5).
There was no relationship between resorption at the screw head and surgical treatment delay (p = 0.208), screw length used (p = 0.098), affected/intact ramus height ratio (p = 0.333). In contrast, a relationship was identified between the distance between the plate rim and the mandibular head lateral pole (p < 0.001), distance between the superior screw to the lateral pole (p < 0.0001), amount of resorption at the plate (p < 0.001), percentage of screw length resorbed (p < 0.0001), height of the ramus 12 months after treatment (p < 0.0001), as well as height of the ramus on the unaffected side after 12 months (p < 0.001), and the average resorption around the heads of the screws used.
There was no difference in the amount of bone resorption depending on the different fracture types: basal (0.48 ± 0.69 mm), low-neck (0.00 ± 0.00) and high-neck (1.14 ± 1.31 mm) The amount of resorption with screws is higher (1.12 ± 1.08 mm) in M-type fractures and lower (0.29 ± 0.45 mm) in p-type fractures (p < 0.01).
It was also noted that bone loss around the screw heads after mandibular condylar process ORIF is affected by the approach selected (p < 0.05). The largest loss was recorded with the preauricular approach, reaching approximately 0.74 mm.
Once the approach is chosen and the fracture is repositioned, fixing material selection is important. During the study, it was noted that the smallest average loss was recorded with XCP-type plates, reaching approximately 0.33 mm, straight plates yielded average bone loss of 0.37 mm and ACP plates led to the highest loss, reaching approximately 0.44 mm.
Interestingly, lack of visible fracture consolidation was not associated with increased bone loss around the screw heads. Postoperatively, patients had their occlusion examined, which revealed that it had no impact on bone loss (p = 0.46). Our data indicated that the greatest bone loss was seen in patients who did not achieve stable occlusion conditions due to a small number of teeth and not using dentures (p < 0.05).
It was also noted that in the absence of osteosynthesis there is less atrophy at the screw heads (
Figure 6).
4. Discussion
In line with previous results from other studies, we have identified that the most common reason for mandibular condyle fracture among women is falls, while in men the most common reason is battery. Moreover, females are at risk due to lower bone density [
15]. Fortunately, these are low-energy injuries and generally women are a minority among patients treated for mandibular bone fractures.
A number of papers focus on bone loss around screws used for treating mandibular head fractures [
4,
16]. However, very few have discussed resorption around plates and screws used in lower condylar process fractures. Our findings regarding the relationship between screw number and bone loss correspond partly with those of Neff et al. [
4], who also reported that increased fixation points improve load distribution and reduce cortical stress. Similarly, Kozakiewicz and co-workers [
6] confirmed that plate design and screw configuration influence stability in condylar fractures. In our series, the general trend confirmed that a well-distributed fixation with multiple screws reduces localized bone remodeling, although the correlation remained weak, which aligns with prior biomechanical evidence.
Interestingly, a longer duration of osteosynthesis was associated with lower bone resorption around the screws, which seems counterintuitive. Usually, longer surgery indicates greater technical difficulty and may be seen as a negative factor [
17]. However, in our study, longer procedures probably reflected more careful fracture reduction, more precise plate adaptation, or additional intraoperative verification, which could improve fixation stability and reduce stress on the surrounding bone. This observation contrasts with reports by Tatsumi et al. [
2], where prolonged surgery correlated with increased complication rates. The difference may be due to the use of standardized protocols and stable fixation systems in our cohort.
Osteosynthesis location was found to be related to resorption extent. Based on our findings, factors that induce resorption are not limited to plate insertion on the articular surface or covering the lateral pole of the mandibular head. Even lower osteosyntheses within the mandibular neck entail resorption. Only distant fixation, more than 14 mm away from the lateral pole, ensures no bone resorption at the osteosynthesis site. This finding is consistent with the biomechanical conclusions of Pavlychuk et al. [
18] and Kozakiewicz et al. [
6], who emphasized the importance of avoiding fixation too close to the lateral pole to prevent stress concentration and plate-induced remodeling. These effects likely result from both local mechanical irritation and the shape of the fracture line rather than from the material itself. All of these factors do not affect the destruction of the mandibular head [
19,
20,
21,
22,
23,
24,
25].
We observed that the impact of screw length used on bone loss extent is not considerable, therefore the surgeon should consider fixation stability, as well as bone amount and quality at the planned screw fixation site. Our findings suggest that local bone morphology may influence stress distribution and resorption tendencies, especially in patients with a shorter mandibular ramus.
More severe trauma along with technical difficulties resulting from lower fragments stability seem to explain the greater bone resorptions in bilateral condylar fractures. Greater bone loss is observed when accompanied by a fracture of the zygomatic bone. This observation parallels data from Skroch et al. [
24], who also noted that combined midfacial trauma increases biomechanical stress on the condylar fixation area. An accompanying fracture of the mandibular body or other parts of the facial skeleton, except the zygomatic bone, do not impact bone resorption at the mandibular condyle osteosynthesis site. Given the known influence of bone metabolism on healing, postoperative optimization of calcium and vitamin D levels may be considered in future studies, but should not be inferred directly from the present data.
The finding that cases without full bone healing did not show significant bone loss may seem surprising. One possible explanation is that when the fracture is not completely united, the load is transferred through the fixation system, which keeps some mechanical stress on the bone around the screws and prevents atrophy. It may also mean that the bone in partially mobile fixation areas reacts less with remodeling. However, this result should be interpreted with caution, because a lack of consolidation usually indicates delayed or impaired healing. This contrasts with reports by Smolka et al. [
25], who observed progressive bone loss in unstable or partially healed condylar fractures. The discrepancy may reflect differences in fixation rigidity and postoperative loading conditions.
Notably, the presented bone loss generally does not pose a threat to treatment outcomes, as it does not affect the loss mandibular ramus height. Exceptions here may include resorption observed at the upper rim of miniplates placed near the mandible head lateral pole. This may lead to involvement of the mandibular head in the resorptive process, shortening of the ramus and finally malocclusion. An exceptionally clinically devastating case may be seen in patients with significant bone resorption even on the lateral surface of the condylar process (away from the mandibular head), as this causes greater plate strain and may lead to plate fracture or pull-out of the fixation material due to exceeding the pull-out force for the residual screw fixation length (where the total length is usually only 6 mm). These results are in agreement with findings by Neff and Kolk [
22], indicating that minor peri-screw bone remodeling does not compromise functional recovery when fixation remains stable.
5. Limitations
The main limitation of this study concerns the quality of the CT images presented in the manuscript, which may appear suboptimal due to the image sharing and publishing process. However, the original tomographic datasets used for quantitative measurements were of sufficient diagnostic quality and did not compromise the accuracy or reliability of the analysis. Additionally, this was a single-center study with a retrospective design, which may limit generalizability. Despite these constraints, the large number of analyzed cases and standardized imaging protocol strengthen the validity of the findings.
6. Conclusions
Bone resorption around fixation plates after mandibular condylar process osteosynthesis is influenced mainly by plate position and number of screws. Plates placed within 14 mm of the lateral condylar pole showed significantly greater peri-plate resorption, whereas using approximately nine screws minimized bone loss. These findings can guide surgical planning to improve long-term bone stability after condylar fracture fixation. Future studies should further explore biological contributors and refine optimal plate design.
Author Contributions
Conceptualization, M.K.; methodology, M.K.; software, I.G.; validation, I.G.; formal analysis, I.G.; investigation, I.G.; resources, I.G.; data curation, I.G.; writing—original draft preparation, I.G.; writing—review and editing, I.G.; visualization, I.G.; supervision, M.K.; project administration, M.K.; funding acquisition, M.K. All authors have read and agreed to the published version of the manuscript.
Funding
This research was funded by the Medical University of Lodz, grant number 503/1-138-01/503-11/001.
Institutional Review Board Statement
The study was conducted in accordance with the Declaration of Helsinki and approved by the Institutional Bioethics Committee of the Medical University of Lodz (RNN/125/15/KEW, date of approval: 19 May 2015 and RNN/738/12/KB, date of approval: 20 November 2012) for studies involving humans.
Informed Consent Statement
Informed consent was obtained from all subjects involved in the study.
Data Availability Statement
Acknowledgments
The authors would like to thank Bartosz Bielecki-Kowalski for his valuable contribution in statistical consultation, interpretation of clinical data, and critical review of the manuscript.
Conflicts of Interest
The authors declare no conflicts of interest.
References
- Bielecki-Kowalski, B.; Kozakiewicz, M. Clinico-anatomical classification of the processus condylaris mandibulae for traumatological purposes. Ann. Anat. 2021, 234, 151616. [Google Scholar] [CrossRef]
- Tatsumi, H.; Matsuda, Y.; Toda, E.; Okui, T.; Okuma, S.; Kanno, T. Postoperative Complications Following Open Reduction and Rigid InternalFixation of Mandibular CondylarFracture Using the HighPerimandibular Approach. Healthcare 2023, 11, 1294. [Google Scholar]
- Kolk, A.; Scheunemann, L.-M.; Grill, F.; Stimmer, H.; Wolff, K.-D.; Neff, A. Prognostic factors for long-term results after condylar head fractures: A comparative study of non-surgical treatment versus open reduction and osteosynthesis. J. Cranio-Maxillofac. Surg. 2020, 48, 1138–1145. [Google Scholar]
- Neff, A.; Kolk, A.; Meschke, F.; Deppe, H.; Horch, H.H. Kleinfragmentschrauben vs. Plattenosteosynthese bei Gelenkwalzenfrakturen. Vergleich funktioneller Ergebnisse mit MRT und Achsiographie [Small fragment screws vs. plate osteosynthesis in condylar head fractures]. Mund Kiefer Gesichtschir. 2005, 9, 80–88. [Google Scholar] [CrossRef]
- Lauer, G.; Haim, D.; Proff, P.; Richter, G.; Pradel, W.; Fanghänel, J.; Pilling, E.; Gedrange, T.; Mai, R. Plate osteosynthesis of the mandibular condyle. Ann. Anat. 2007, 189, 412–417. [Google Scholar] [CrossRef]
- Kozakiewicz, M.; Okulski, J.; Krasowski, M.; Konieczny, B.; Zielinski, R. Which of 51 PlateDesigns Can Most Stably Fixate theFragments in a Fracture of theMandibular Condyle Base? J. Clin. Med. 2023, 12, 4508. [Google Scholar] [CrossRef] [PubMed]
- Çimen, E.; Önder, M.E.; Cambazoglu, M.; Birant, E. Comparison of Different Fixation Types Used in Unilateral MandibularCondylar Fractures. J. Craniofac. Surg. 2016, 27, 1277–1281. [Google Scholar] [CrossRef] [PubMed]
- Zalewska, A.; Antonowicz, B.; Szulimowska, J.; Zieniewska-Siemieńczuk, I.; Leśniewska, B.; Borys, J.; Zięba, S.; Kostecka-Sochoń, P.; Żendzian-Piotrowska, M.; Lo Giudice, R.; et al. Mitochondrial Redox Balance of Fibroblasts Exposed to Ti-6Al-4V Microplates Subjected to Different Types of Anodizing. Int. J. Mol. Sci. 2023, 24, 12896. [Google Scholar] [CrossRef]
- Wozniak, L.; Ratajczak-Wrona, W.; Borys, J.; Antonowicz, B.; Nowak, K.; Bortnik, P.; Jablonska, E. Levels of Biological Markers of Nitric Oxide in Serum of Patients with Mandible Fractures. J. Clin. Med. 2021, 10, 2832. [Google Scholar] [CrossRef] [PubMed]
- Sikora, M.; Chęciński, M.; Chlubek, D. Retro-Auricular Approach to the Fractures of the Mandibular Condyle: A Systematic Review. J. Clin. Med. 2021, 10, 230. [Google Scholar] [CrossRef]
- Herbert, T.J.; Fisher, W.E. Management of the fractured scaphoid using a new bone screw. J. Bone Jt. Surg. Br. 1984, 66, 114–123. [Google Scholar]
- Kolk, A.; Neff, A. Long-term results of ORIF of condylar head fractures of the mandible: A prospective 5-year follow-up study of small-fragment positional-screw osteosynthesis (SFPSO). J Craniomaxillofac. Surg. 2015, 43, 452–461. [Google Scholar]
- Silvennoinen, U.; Iizuka, T.; Pernu, H.; Oikarinen, K. Surgical treatment of condylar process fractures using axial anchor screw fixation: A preliminary follow-up study. J. Oral Maxillofac. Surg. 1995, 53, 884–894. [Google Scholar] [CrossRef]
- Kozakiewicz, M. Classification proposal for fractures of the processus condylaris mandibulae. Clin. Oral Investig. 2019, 23, 485–491. [Google Scholar] [CrossRef]
- Miyake, M.; Oda, Y.; Iwanari, S.; Kudo, I.; Igarashi, T.; Honda, K.; Shinoda, K.; Sairenji, E. A case of osteoporosis with bilateral defects in the mandibular processes. J. Nihon Univ. Sch. Dent. 1995, 37, 108–114. [Google Scholar] [CrossRef] [PubMed][Green Version]
- Johner, J.P.; Essig, H.; Neff, A.; Wagner, M.E.H.; Blumer, M.; Gander, T. Volumetric Evaluated Bone Resorption After Open Reduction and Internal Fixation of Condylar Head Fractures of the Mandible. J. Oral Maxillofac. Surg. 2021, 79, 1902–1913. [Google Scholar] [CrossRef] [PubMed]
- Borys, J.; Maciejczyk, M.; Antonowicz, B.; Krętowski, A.; Sidun, J.; Domel, E.; Dąbrowski, J.R.; Ładny, J.R.; Morawska, K.; Zalewska, A. Glutathione Metabolism, Mitochondria Activity, and Nitrosative Stress in Patients Treated for Mandible Fractures. J. Clin. Med. 2019, 8, 127. [Google Scholar] [CrossRef] [PubMed]
- Pavlychuk, T.; Chernogorskyi, D.; Chepurnyi, Y.; Neff, A.; Kopchak, A. Biomechanical evaluation of type p condylar head osteosynthesis using conventional small-fragment screws reinforced by a patient specific two-component plate. Head Face Med. 2020, 16, 25. [Google Scholar] [CrossRef]
- Abdel-Galil, K.; Loukota, R. Fractures of the mandibular condyle: Evidence base and current concepts of management. Br. J. Oral Maxillofac. Surg. 2010, 48, 520–526. [Google Scholar] [CrossRef]
- Kozakiewicz, M.; Gabryelczak, I.; Bielecki-Kowalski, B. Clinical Evaluation of Magnesium Alloy Osteosynthesis in the Mandibular Head. Materials 2022, 15, 711. [Google Scholar] [CrossRef]
- Neff, A.; Cornelius, C.P.; Rasse, M.; Torre, D.D.; Audigé, L. The Comprehensive AOCMF Classification System: Condylar Process Fractures—Level 3 Tutorial. Craniomaxillofac. Trauma. Reconstr. 2014, 7, S44–S58. [Google Scholar]
- Neff, A.; Kolk, A.; Neff, F.; Horch, H.H. Operative vs. konservative Therapie diakapitulärer und hoher Kollumluxationsfrakturen. Vergleich mit MRT und Achsiographie. Mund-Kiefer-Gesichtschirurgie 2002, 6, 66–73. [Google Scholar]
- Rasse, M. Diakapitulare frakturen der mandibula. Eine neue operationsmethode und erste ergebnisse. Z Stomatol. 1993, 90, 413–428. [Google Scholar]
- Skroch, L.; Fischer, I.; Meisgeier, A.; Kozolka, F.; Apitzsch, J.; Neff, A. Condylar remodeling after osteosynthesis of fractures of the condylar head or close to the temporomandibular joint. J. Cranio-Maxillofac. Surg. 2020, 48, 413–420. [Google Scholar] [CrossRef] [PubMed]
- Smolka, W.; Cornelius, C.P.; Lechler, C. Resorption behaviour of the articular surface dome and functional outcome after open reduction and internal fixation of mandibular condylar head fractures using small-fragment positional screws. J. Cranio-Maxillofac. Surg. 2018, 46, 1953–1959. [Google Scholar] [CrossRef] [PubMed]
| Disclaimer/Publisher’s Note: The statements, opinions and data contained in all publications are solely those of the individual author(s) and contributor(s) and not of MDPI and/or the editor(s). MDPI and/or the editor(s) disclaim responsibility for any injury to people or property resulting from any ideas, methods, instructions or products referred to in the content. |