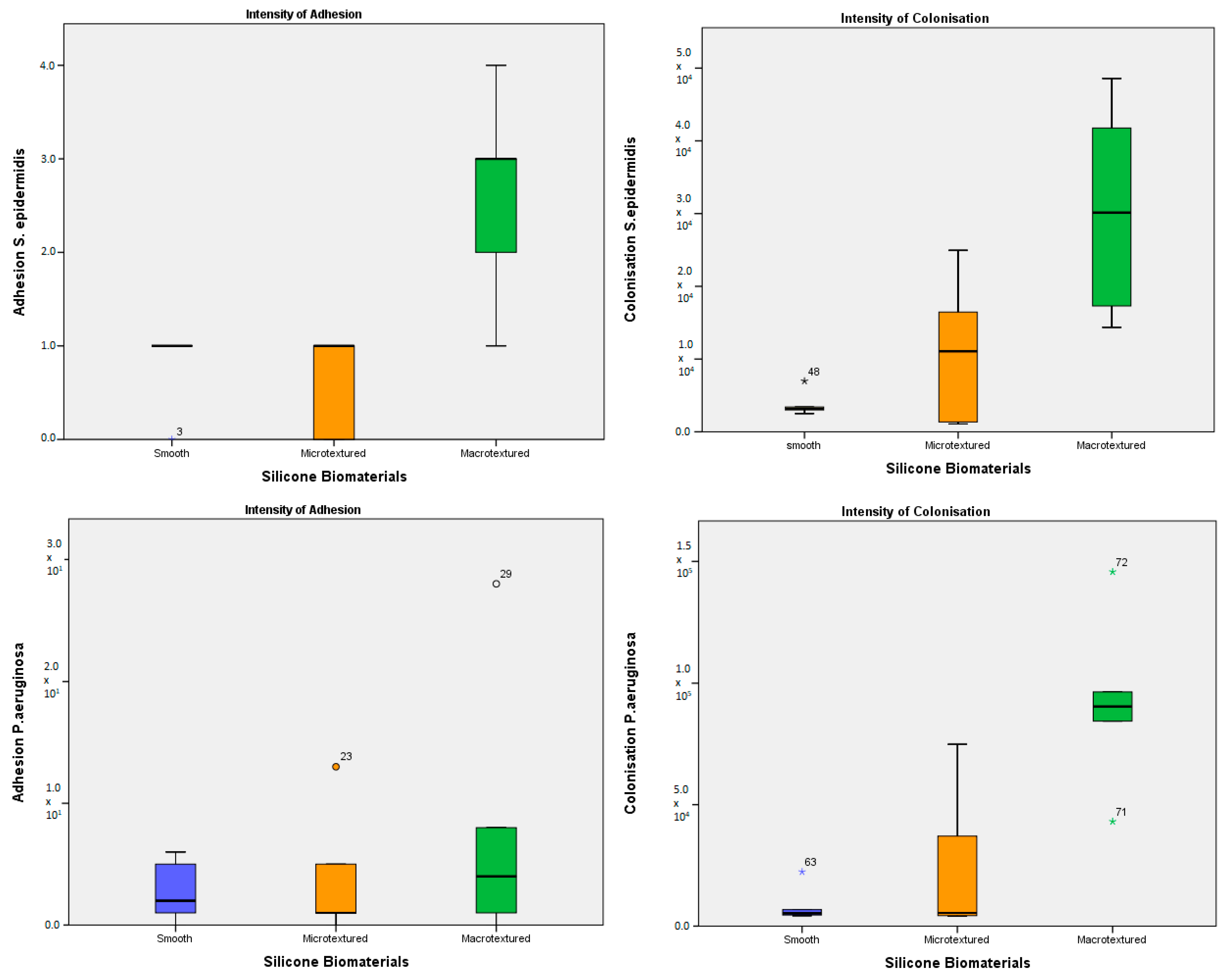
Adhesion and Colonization Intensity of Staphylococcus epidermidis, Pseudomonas aeruginosa, and Candida albicans on Smooth, Micro-Textured, and Macro-Textured Silicone Biomaterials
Abstract
Share and Cite
Jurševičs, K.; Skadiņš, I.; Krasiļņikova, J.; Lece, A.; Šķesters, A.; Jurševičs, E. Adhesion and Colonization Intensity of Staphylococcus epidermidis, Pseudomonas aeruginosa, and Candida albicans on Smooth, Micro-Textured, and Macro-Textured Silicone Biomaterials. J. Funct. Biomater. 2025, 16, 322. https://doi.org/10.3390/jfb16090322
Jurševičs K, Skadiņš I, Krasiļņikova J, Lece A, Šķesters A, Jurševičs E. Adhesion and Colonization Intensity of Staphylococcus epidermidis, Pseudomonas aeruginosa, and Candida albicans on Smooth, Micro-Textured, and Macro-Textured Silicone Biomaterials. Journal of Functional Biomaterials. 2025; 16(9):322. https://doi.org/10.3390/jfb16090322
Chicago/Turabian StyleJurševičs, Kirils, Ingus Skadiņš, Jeļena Krasiļņikova, Anna Lece, Andrejs Šķesters, and Eduards Jurševičs. 2025. "Adhesion and Colonization Intensity of Staphylococcus epidermidis, Pseudomonas aeruginosa, and Candida albicans on Smooth, Micro-Textured, and Macro-Textured Silicone Biomaterials" Journal of Functional Biomaterials 16, no. 9: 322. https://doi.org/10.3390/jfb16090322
APA StyleJurševičs, K., Skadiņš, I., Krasiļņikova, J., Lece, A., Šķesters, A., & Jurševičs, E. (2025). Adhesion and Colonization Intensity of Staphylococcus epidermidis, Pseudomonas aeruginosa, and Candida albicans on Smooth, Micro-Textured, and Macro-Textured Silicone Biomaterials. Journal of Functional Biomaterials, 16(9), 322. https://doi.org/10.3390/jfb16090322

