Abstract
Lipid nanoparticles (LNPs) are spherical vesicles composed of ionizable lipids that are neutral at physiological pH. Despite their benefits, unmodified LNP drug delivery systems have substantial drawbacks, including a lack of targeted selectivity, a short blood circulation period, and in vivo instability. lipid–polymer hybrid nanoparticles (LPHNPs) are the next generation of nanoparticles, having the combined benefits of polymeric nanoparticles and liposomes. LPHNPs are being prepared from both natural and synthetic polymers with various techniques, including one- or two-step methods, emulsification solvent evaporation (ESE) method, and the nanoprecipitation method. Varieties of LPHNPs, including monolithic hybrid nanoparticles, core–shell nanoparticles, hollow core–shell nanoparticles, biomimetic lipid–polymer hybrid nanoparticles, and polymer-caged liposomes, have been investigated for various drug delivery applications. However, core–shell nanoparticles having a polymeric core surrounded by a highly biocompatible lipid shell are the most commonly explored LPHNPs for the treatment of various diseases. In this review, we will shed light on the composition, methods of preparation, classification, surface functionalization, release mechanism, advantages and disadvantages, patents, and clinical trials of LPHNPs, with an emphasis on core–shell-structured LPHNPs.
1. Introduction
Nanoparticles (NPs) made of either polymers or lipids are widely used for the delivery of therapeutic agents. Polymeric nanocarriers are chiefly categorized as polymeric micelles, polymer–drug conjugates, and polymeric NPs, while lipid-based nanocarriers are distinguished as liposomes, solid lipid nanoparticles (SLNs), and nanostructured lipid vectors [1,2]. Polymeric nanoparticles (PNPs) are currently gaining popularity in biomedical research, possibly due to their numerous attractive properties, including biocompatibility, biodegradability, the ease of processing, and sustained release patterns of incorporated drugs [3]. PNPs are easy to prepare with simple and reproducible synthesis processes, with ample flexibility for chemical modifications [4]. Polymeric NPs usually have low polydispersity and high stability. However, there are certain limitations associated with using polymers as nanocarriers for drug delivery, for instance, the use of harmful organic solvents in the preparation, the expensive synthesis, the scale-up process, the toxicity of degradation products, and the usually low drug loading capacity [5,6]. Moreover, the hydrophobic surface of PNPs is recognized as a foreign material that provokes an immune response and prompts rapid elimination from the body, which limits their use. Furthermore, the limited cellular membrane permeability of PNPs leads to poor transfection efficiency [7,8].
Lipid nanoparticles, similar to PNPs, have piqued the interest of researchers in recent decades and have had remarkable clinical success in delivering drugs, nucleic acids, and vaccines. Lipid nanoparticles offer numerous attractive benefits, including low production costs with an ease of preparation, an improved drug-entrapping efficiency, great biocompatibility, feasibility of scale-up, and targeted delivery. However, they have abridged stability, fast drug release, and excessive polydispersity, which are the major limitations for their widespread use [9,10,11].
To overcome these limitations of PNPs and lipid nanoparticles, a new system called lipid–polymer hybrid nanoparticles (LPHNPs) has been developed owing to the biomimetic and biocompatible advantages of this strategy. LPHNPs take advantage of the benefits of both polymeric and lipid-based systems [12]. LPHNPs are next-generation core–shell nanosystems conceptually formed from a polymer core wrapped by a lipid layer. Despite their widespread attention, they are not yet widely used or pervasive [13]. LPHNPs have three structural features, including (Figure 1):
Figure 1.
General structure of LPHNP composed of a drug-encapsulating polymer core with an outer lipid shell and an outer lipid–PEG layer.
- (i)
- A drug encapsulating polymer core;
- (ii)
- A lipid layer surrounding the polymer core;
- (iii)
- An outer lipid–PEG layer.
The lipid layer acts as a molecular barrier, reducing drug loss during LPHNP formulation and further protecting the core from degradation by blocking water diffusion into the inner core. The outer lipid–PEG layer prolongs the blood circulation of LPHNPs by suppressing the immune response [14].
2. Advantages and Limitations of LPHNPs
LPHNPs combine the benefits of polymeric nanocarriers, such as favorable drug release profiles and surface chemical functionalization or modification; with the benefits of lipid-based nanocarriers, such as improved drug loading capacity and biocompatibility [15,16,17]. Recent research trends indicate that LPHNPs will, for instance, be extremely helpful or productive in the treatment of diseases such as glioblastoma [18]. LPHNPs offer the advantage of being able to select the polymer for a controlled drug release using stimuli-responsive polymers. The outer lipid layer prevents the inner polymeric materials from leaking and seizes the water penetration from the outside to the inside. Such a framework ensures that the formulation is continuously resilient for maximal structural integrity. The lipid-layer coating improves the biocompatibility and stability of NPS upon systemic administration. In comparison to the individual polymer and lipid particles, the LPHNPs have been reported to have a better and longer in vivo efficacy [19]. Although LPHNPs have advantages over PNPs and liposomes, significant drawbacks reduce their translational rate from bench to bedside. It is challenging to optimize the lipid/polymer ratio within NPs [20]. The change in lipid/polymer (L/P) composition during prolonged storage leads to drug leakage. Since phospholipids form the micellar phase while polymers form the nanoparticle phase, this may lead to an increase in the polydispersity, which may result in destabilization, agglomeration, and phase separation. Hydrophilic drug loading into the LPHNP matrix is often limited, which can be overlooked by using the double emulsification method to improve the drug loading characteristics, but it is a time- and energy-consuming method [21,22]. To avoid phase separation, the affinity of the phospholipid to create a monolayer over the polymeric nanoparticle surface must be considered during the phospholipid and polymer selection process. The bulk synthesis of LPHNPs is currently difficult to scale up; nevertheless, a few attempts have been reported, employing microfluidics or multi-inlet vortex reactors [23]. The higher cost of LPHNPs might be due to additional fabrication steps, and the use of both lipids and polymers could incur patient unacceptance [24]. Because of the use of solvents and excipients during fabrication, the environmental impact of LPHNPs synthesis must be carefully considered. The interaction of LPHNPs with plasma proteins must be assayed to examine the modifications required for the pharmacokinetic and pharmacodynamic profiles. The major barrier to gain approval for LPHNPs for human use is the lack of regulatory guidelines [25].
3. LPHNPs Composition and Its Influence
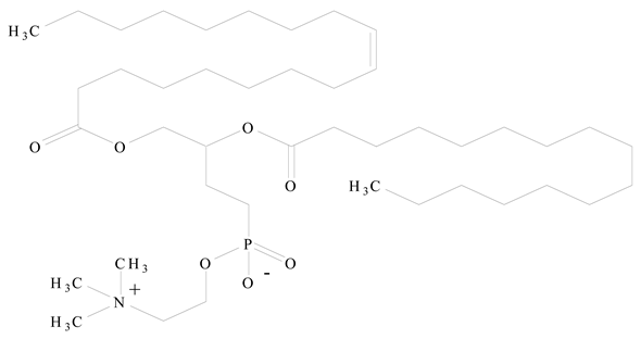
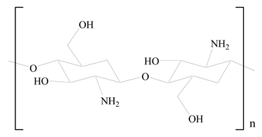
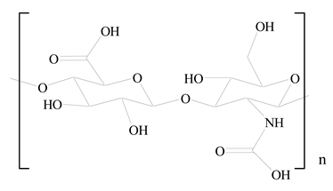
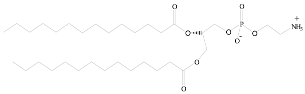
LPHNPs composed of natural, semi-synthetic, and synthetic polymers (i.e., chitosan, PCL, polycaprolactone; PEG, polyethylene glycol; PLA, polylactic acid; PLGA, polylactic-co-glycolic acid; PbAE, poly(β-amino ester); etc.) serve as solid core NPs coated with lipids (i.e., palmitic, myristic, and stearic acids, etc.). The simplest design of LPHNPs has a drug-entrapped hydrophilic or hydrophobic polymer core surrounded by a lipid layer. Lipid shells can be easily modified to obtain the desired surface properties which promotes, for instance, efficient uptake, controlled drug release, and favorable biodistribution. The lipid composition can be easily modified and exploited to expedite the covalent or noncovalent attachment of drugs, ligands, transferrin, antibodies, folic acid, aptamers, and bioactive molecules, including nucleic acids or proteins. Lipid shells have the additional advantage of charged or zwitterionic lipids, which may promote self-assembly of the lipid layers with opposite charges on the polymeric core through electrostatic interactions. Likewise, the uses of the lipophilic core endorse its interaction with the hydrophobic tail domain of the lipids constituting the lipid layer [26]. Table 1 presents the polymers and lipids used in the preparation of LPHNPs.
Table 1.
Commonly used polymers and lipids for the preparation of LPHNPs with their structures.
Polymer aggregation and intrinsic viscosity have a direct influence on the particle size. Higher polymer concentrations yield larger particles, while polymers with a higher intrinsic viscosity produce smaller particles [38]. The surface zeta potential of LPHNPs can be altered by changing the end functional groups on shells (usually PEG). Because surface charges prevent particles from colliding, higher absolute zeta potential values result in more stable NPs in vitro. Dave et al. [39] reported that on increasing the concentration of soy lecithin from 20 mg to 30 mg, the zeta potential of the prepared LPHNPs also increased from 23.4 ± 1.5 mV to 41.5 ± 3.4 mV. Furthermore, the interaction of charge inducer (i.e., stearyl amine, SA) with the lipid surface also alters the zeta potential of formulations. According to immunocompatibility tests, the complement activation is the lowest in hybrid NPs with methoxyl surface groups and the highest in NPs with amine surface groups [40]. An adequate surface charge must be chosen to match the hybrid NPs in vitro stability and in vivo immunocompatibility. The lipid-to-polymer ratio (L/P) had a significant impact on the colloidal stability of hybrid particles. The lipid layer may operate as an electrostatic stabilizer when the lipid-to-polymer L/P ratio is high and the cationic lipid concentration is high. At low L/P and cationic lipid fractions, the partial lipid coating of the polymer core was inadequate to colloidally stabilize the LPHNPs. For example, when the anionic surface of one hybrid molecule core was exposed to the cationic 1,2-dipalmitoyl-3-trimethylammonium-propane, LPHNPs aggregation occurred. Surprisingly, when 1,2-dipalmitoyl-sn-glycero-3-phosphocholine (DPPC) was employed alone, the hybrid NPs were less prone to agglomeration. This is because the DPPC’s zwitterionic structure lowers the possibility of electrostatic interactions [41].
Poly(lactic acid) (PLA) is a biopolymer that has gained more attention because of its both biodegradable and biocompatible nature. Because of its high safety profile, the US Food and Drug Administration (US FDA) has approved it for a variety of purposes. For almost two decades, LP-anchored PLA NPs have been employed to deliver medicines, peptides, and vaccinations [42]. The greater mechanical stability of LPHNPs during storage and in serum is attributed to the polymeric core, which behaves as cytoskeleton and to a PEG-coated lipid layer, which improves blood circulation time in vivo by suppressing the immune system [43]. However, the low cell interaction leads to a poor drug delivery efficiency, which is the major limitation. The problem can be resolved by coating or attaching a site-specific target ligand with an outer lipid layer of NPs to mimic the binding with cell surfaces and deliver the payload. The biomimetic LPHNPs retain both the physicochemical features of the synthetic vehicles and inherit the intrinsic functionalities of the cell membranes [44].
Lipids are amphiphilic or hydrophobic molecules and are present in numerous compounds, including fatty acids, oils, steroids, and waxes. Glycerophospholipids are the most common type of biological membrane component, consisting of a glycerol molecule, a phosphate group (PO42−), and two fatty acids. These phospholipids are broadly used for the surface engineering of PNPs. Phospholipids, including phosphatidylcholine, phosphatidylglycerol, phosphatidylinositol, phosphatidylserine, phosphatidylethanolamine, and phosphatidic acid are less stable in nature. Thus, synthetic lipids have been reported through the modification of the polar and nonpolar regions of the phospholipid molecules. Synthetic phospholipids, including PEGylated phospholipids, 1,2-diacyl-P-O-ethylphosphatidylcholine, etc., are cationic, anionic, neutral, and zwitterionic phospholipids and are often used in biomedical engineering [45]. Both natural and synthetic lipids have been used for the surface anchoring of PNPs. Natural or cell-membrane-derived lipids have the advantages of natural cell surface, natural targeting ability, natural immune-evading property, long circulating half-life, and well-controlled tissue distribution. Synthetic lipids have the advantages of biomimetic surface, controlled drug release, stealth properties, extended circulation, and surface flexibility for targeting functionalization [41].
The lipid-based surface functionalization of PLGA NPs is showing encouraging outcomes in the fabrication of PLGA-based nanomedicines due to their fascinating properties of biocompatibility, biodegradability, ease of treatment, and sustained release. The targeting specificity of PLGA-based nanocarriers can be enhanced by surface engineering with various lipids. This may further improve the physicochemical properties of nanocarriers as well as their NP–cell associations, including cellular membrane permeability, immune responses, and prolonged blood circulation. PLGA-based LPHNPs have been reported to be utilized for drug and gene delivery [46].
4. LPHNP Fabrication Methods
LPHNPs have been prepared traditionally by a simple two-step method, but nowadays, a transformation strategy has been introduced that transitions a two-step LPHNPs preparation to a one-step strategy. The latter technique synchronously uses the self-assembly of polymers and lipids. Owing to their two-in-one structure, these LPHNPs are used for combinatorial drug delivery, especially in oncology. The outer lipid–PEG layer can be tailored in such a fashion to achieve the targeting of anticancer therapy, delivery of nucleic acids, and to be used in diagnostic imaging. Although the fusion mechanism of lipid and polymer is still unclear, methods of LPHNP preparation that utilize different mechanisms of formation are presented in Figure 2 [47].
Figure 2.
Single- and two-step methods for the preparation of LPHNPs.
In the two-step method, the LPHNPs are produced by either directly adding the aqueous polymeric nanoparticle suspension to the dried lipid film or first hydrating the thin lipid film with an aqueous solvent to produce lipid vesicles, and then these lipid vesicles are added to an aqueous preformed nanoparticle suspension [48]. In both methods, the hybrids are assembled by the input of external energy provided via vortexing or through the ultrasonication of the suspension and heating at a temperature beyond the phase transition temperature of the lipid constituent. The prepared hybrid structure is thermodynamically stable via electrostatic, hydrophobic, and van der Waals interactions [49].
In the single-step method, the drug and polymer solution in a water-miscible organic solvent is added to an aqueous medium encompassing lipids or lipid–PEG, with spontaneous homogenization, resulting in self-assembly into a monolayer of lipids surrounding the core. During this stage, PEGylated lipids are also self-assembled, with a lipid moiety clinging to the surface of the polymer core and the PEG chain extending externally toward the aqueous environment [50].
The two-step method has the limitation of formulating PNPs and lipid vesicles separately, which requires more energy and is a more time consuming process. The single-step or one-step method is more prevalent and efficient as lipid vesicles and PNPs are not prerequisites in this method. In this method, the spontaneous self-assembled monolayer formation occurs, surrounding the core to form LPHNPs; therefore, it is a rapid and energy-efficient technique [51].
The emulsification solvent evaporation (ESE) method is another technique for the preparation of LPHNPs. This method is further classified into single and double emulsification methods. In the single ESE method, hydrophobic drugs and polymers dissolved in the oil phase are mixed with an aqueous phase containing lipids under constant agitation to form an oil-in-water (o/w) emulsion. The evaporation of the organic medium simultaneously forms a polymer core surrounded by a lipid layer. As an apparent substitute, the lipid can be dissolved in the oil phase alongside the polymer [52]. For water-soluble formulations, the double ESE method is employed to prepare w/o/w emulsion. In this method, the aqueous drug solution is emulsified in an organic solvent that contains polymers and lipids to form a w/o mixture. The prepared w/o mixture was further emulsified in a lipid–PEG-containing aqueous phase to form a w/o/w emulsion, followed by subsequent oil phase evaporation to produce LPHNPs (Figure 3) [53]. The LPHNPs produced by the double ESE method have certain structural anomalies, including: (1) aqueous core surrounded by a lipid layer; (2) a polymer layer in between; and (3) an outer lipid–PEG shell.
Figure 3.
LPHNPs produced by single and double emulsion-solvent evaporation (ESE) methods.
On the basis of the desired biomedical applications of LPHNPs, a lipid-based surface engineering method is to be chosen, which further depends on the nature of lipid–polymer surface chemistry. For example, the single-step ESE method is used for gene delivery applications, while the conventional two-step top-down approach is required for nanoghost-based surface engineering [54].
Nanoprecipitation technique is another method for the preparation of LPHNPs. This technique utilizes the dispersion of lipids in the aqueous phase followed by the addition of a drug–polymer solution in a water-miscible organic solvent with sonication, stirring, or homogenization. This causes the polymer to precipitate via solvent diffusion, as well as the lipid to self-assemble onto the polymeric nanoparticle interface [55]. The nanoprecipitation approach was used to prepared triptolide (TL)- and paclitaxel (PTX)-loaded LPHNPs for lung cancer treatment [56]. Prepared LPHNPs were approximately 160 nm in size with a 0.2 polydispersity index. Both drugs showed a greater encapsulating efficiency of about 85%, and the in vivo results revealed around a four-fold reduction in tumor volume as compared with the control group (i.e., PTX and TL). The findings indicate synergy as well as a greater efficiency in treating lung cancer. To achieve a homogenous liquid crystalline phase, the temperature must be kept above the gel-to-sol temperature of lipids during the synthesis. The lipid–aqueous phase acts as an anti-solvent (above their transition temperature) toward a dropwise injection of polymer in organic solvent, resulting in the polymer to aggregate and coil, followed by a self-assembly of lipids surrounding the polymeric core.
Lipid/polymer ratio plays an imperative role in the synthesis of LPHNPs. As the phospholipid concentration rises over the critical micelle concentration, liposomes form, while decreasing the L/P ratio causes agglomeration due to the anti-solvent impact of the aqueous phase, which reduces lipid content for interfacial stabilization. Furthermore, the use of PEGylated lipids increases the colloidal stability of hybrid NPs. Because of the steric stabilization provided by PEG chains, the PEGylated lipid increases stability without interfering with drug loading and release.
Numerous LPHNP studies are listed in Table 2, describing the preparation methods of LPHNPs, encapsulating materials, targeting ligands, physicochemical properties, and their applications.
Table 2.
Summary of recent published studies on LPHNPs.
On the basis of structure differences, LPHNPs can be classified as: (i) monolithic hybrid nanosystems, having a polymeric matrix in which lipid molecules are dispersed randomly [44]; (ii) core–shell nanosystems, having a polymeric core surrounded by a highly biocompatible lipid shell [109]; (iii) hollow core–shell NPs, having a hollow inner aqueous core surrounded by an inner polymer layer and cationic and neutral lipid layers [110]; (iv) biomimetic lipid–polymer hybrid nanosystems, having a polymer layer anchored on the surface of liposomes [111]; and (v) polymer-caged liposomes, having a polymer layer surrounded by a biomimetic (Figure 4).
Figure 4.
A graphical representation of different types of LPHNPs.
5. Surface Functionalization of LPHNPs
Surface anchoring is an important and crucial aspect for ameliorating the pharmacokinetics (PKs) and pharmacodynamics (PDs) of LPHNPs. PEGylation of lipids (PEG-lipids) on the outer shell improves blood circulation time but diminishes cell internalization [112,113]. Changing the surface charge, zeta potential, and lipophilicity alters the cell uptake of LPHNPs as well as alters the PK-PD profile of numerous drugs. Surface functionalization imparts target-specific intracellular localization and reduces toxicity. Surface functionalization can be achieved by tethering small molecules, antibodies, cell-penetrating peptides, and aptamers (Figure 5).
Figure 5.
The representation of different surface-anchoring possibilities with LPHNPs.
Clawson et al. [114] prepared pH-triggered PEG-shedding LPHNPs. To make the LPHNPs pH sensitive, a lipid-(succinate)-methoxy PEG (mPEG) conjugate was prepared that was highly sensitive to acidic hydrolysis and provided a hydrolyzable PEG stealth layer. The lipid-(succinate)-mPEG conjugate hydrolyzes via diester succinate. The pH sensitivity of the NPs can be adjusted by changing the molar concentration of lipid-(succinate)-mPEG in the lipid shell. The more lipid-(succinate)-mPEG integrated into the particle lipid shell, the more stable the particles are at low pH. Thus, by altering the PEG coating, LPHNPs can be tuned over a wide pH range and this concept can be utilized to add potential functionality to the LPHNPs drug delivery toolkit.
Numerous ligands or targeted moieties improve cellular uptake via receptor-mediated endocytosis within target cells. Folic acid (FA) is widely used as a targeting ligand as it evades the attacks of drugs on normal tissues. FA binds firmly to folate receptors (FRs), which are overexpressed in several human tumors. Wu and colleagues [70] improve the efficiency of LPHNPs by introducing FA onto the surface of LPHNPs and forming folate-targeted lipid–polymer hybrid nanoparticles (FLPNPs). The FLPNPs comprise a PLGA core, a lecithin monolayer, a monomethoxy-poly(ethylene glycol)-S-S-hexadecyl (mPEG-S-S-C16) reduction-sensitive shell, and a covalently bound folic acid ligand. The prepared FLPNPs were used for selectively targeted delivery of doxorubicin (DOX) which suppressed human oral cavity squamous cell carcinoma (KB) cell growth and reduced the toxicity of DOX. FLPNPs showed good stability with rapid disassembly in a simulated cancer cell-reductive environment. Furthermore, an increased DOX accumulation in the solid tumor was reported in an animal tumor model by subcutaneously injecting KB cells (1 × 107 per animal) into the flank region of mice.
In another study, FA-decorated pH-sensitive LPHNPs were utilized for the co-delivery of carboplatin (CBP) and PTX for the treatment of cervical cancer [115]. The formed FA-CBP/PTX-LPNs showed 169.9 ± 5.6 nm particle sizes with a narrow size range of 0.151 ± 0.023. High cellular uptake (66.7 ± 3.1%) with noticeable cell inhibition capacity (23 ± 1.1%) was reported with FA-CBP/PTX-LPNs. Furthermore, FA-CBP/PTX-LPNs revealed pH-sensitive drug release and produced synergistic effects of CBP and PTX on cervical cancer.
Fucose-conjugated nanocarriers open the way for a cure for breast cancer and urge further research [116]. Garg et al. [94] utilized LPHNPs for the co-delivery of methotrexate and aceclofenac, using fucose as a target ligand against MCF-7 and MDA-MB-231 breast cancer cell lines. Prepared fucose-linked LPHNPs have a small particle size (150 nm) with good encapsulation efficiency (85–90%) and drug loading efficiency (10–12%). An improvement in bioavailability (8–10 folds) and the synergism of combinations of drugs led to superior control over tumor growth in the 7,12-dimethylbenz[a] anthracene (DMBA)-induced breast cancer mouse model.
Lipid–polysaccharide surface-modified hybrid NPs were reported by Omar et al. [117] using the nanoprecipitation method for the brain delivery of rivastigmine (Riv). Dextros-cholic acid (DxC) was used as a polysaccharide for the surface modification of lipid–PLGA NPs. Prepared surface-modified LPNs have a size of 111.6 ± 11.4 nm with 92 ± 1.2% an encapsulation efficiency of Riv. The in vivo investigations on albino rats demonstrated that the surface-modified LPNs penetrated the brain more efficiently and quickly than the medication solution. The surface-modified LPNs showed about a five-times higher blood–brain barrier (BBB) penetration than the drug solution. Additionally, the polysaccharide surface modification further improves brain residence time up to 40 h. These results suggested that the lipid–polysaccharide surface-modified hybrid NPs could circumvent the BBB and are predicted to reduce systemic side effects.
Monoclonal antibodies (mAbs) are also used as targeting ligands because they effectively and safely deliver drugs to desired sites; however, a limitation associated with these mAbs is their large hydrodynamic size, which may lead to a significantly increased nonspecific uptake via the reticuloendothelial system (RES) and reduce the NP circulation time. Furthermore, additional limitations of these mAbs include their nonspecific conjugation to NPs (which may result in hindered binding sites of the mAbs) and particle dimerization. The problem can be resolved through the use of small antibody variants, including minibodies, diabodies, and single-chain variable fragments (svFc). Hu et al. [68] synthesized anti-CEA half-antibodies (hAbs) conjugated to LPHNPs via a single-step nanoprecipitation method. The anti-CEA half-antibodies (hAbs) were produced by reducing the disulfide bonds between the heavy chains of the anti-CEA mAbs with a reducing agent. Prepared anti-CEA half-antibody (hAb)-conjugated LPHNPs were extensively characterized, and targeting abilities against pancreatic cancer cells were assayed. The results revealed that the hAb-conjugated lipid–polymer NPs showed an enhanced cancer-killing effect compared to the corresponding plain or unconjugated NPs.
Similar to mAbs, aptamer-functionalized LPHNPs are also used for the co-delivery of cytotoxic agents for treating cancer. Chen and colleagues [118] designed and synthesized aptamer-functionalized curcumin (CUR) and cabazitaxel (CTX)-loaded LPHNPs (APT-CUR/CTXLPNs) for the treatment of prostate cancer (PC). The A10-3.2 aptamer (5′-GGGAGGACGAUGCGGAUCA GCCAUGUUUACGUCACUCCU-spacer-NH2-3′ with 2′-fluoropyrimidines) was used in this study. The prepared APT-CUR/CTXLPNs had a mean particle size of 121.3 ± 4.2 nm and a positive surface charge of 23.5 ± 2.6 mV. APT-CUR/CTX LPHNPs showed a sustained release of CUR and CTX with an improved tumor inhibition efficiency. At a drug ratio of 2:5 (CUR:CTX), aptamer-functionalized APT-CUR/CTX LPHNPs demonstrated good cell inhibition ability, considerable tumor accumulation, and extraordinary tumor inhibition activity.
6. Stimuli-Responsive Drug Release from LPHNPs
LPHNPs illicit the combined release mechanisms of liposomes and polymeric NPs. Liposomes show drug diffusion and partitioning across the phospholipid bilayer toward the aqueous environment, whereas polymeric NPs exhibit surface and bulk erosion followed by drug diffusion. Further, LPHNPs can be designed for site-specific delivery in response to various stimuli like temperature, pH, redox, and magnetic fields (Figure 6).
Figure 6.
Stimuli-responsive drug release approaches utilized for LPHNPs.
For instance, pH-responsive poly(β-amino ester) (PBAE) core–shell NPs coated with lipid polymers (DSPE-PEG2000, FA-DSPE-PEG2000, and lecithin) were prepared (FA/PBAE/DTX-NPs) for the target delivery of docetaxel (DTX) to breast cancer cells, i.e., 4T1 cells. The prepared NPs have uniform particle sizes and excellent physical stability. The in vitro drug release studies showed DTX release on demand at different pHs. The drug release studies at high pH (i.e., pH 7.4 and pH 6.8) showed slower release (60%) as compared to the low pH value (i.e., 90% at pH 5.5). These findings suggested that the acidic environment may stimulate the drug release behavior of FA/PBAE/DTX-NPs within tumor cells. Furthermore, the PBAE tertiary amine group enhanced the endosomal/lysosomal outflow through the proton sponge effect, and ultimately, the rapid release of DTX was observed [119].
Two-component reduction-sensitive LPHNPs (SLPNPs) were prepared from PCL and amphiphilic 1,2-dilauroyl-3-sn-phosphatidylethanolamine (DLPE)-methoxypolyethylene glycol (mPEG) (DLPE-S-S-mPEG) to release doxorubicin in a controlled fashion. Similarly, the other two-component insensitive LPHNPs (ILPNPs) were also prepared from PCL and DLPE-CC-mPEG as controls. The prepared SLPNPs and ILPNPs were around 100–120 nm in diameter with a spherical shape. DOX/SLPNPs and DOX/ILPNPs were both shown to be stable in water and PBS buffer (pH 7.4); however, only DOX/SLPNPs were destabilized under reductive environment, rapidly released DOX to cell nuclei, and exhibited stronger cytotoxicity against cancer cells than DOX/ILPNPs [51].
Photoresponsive techniques are also used to control drug release, either by triggering drug release via the photothermal effects of materials (for example, gold nanorods) or by directly shattering the drug carriers via light irradiation. To create these light-sensitive nanocarriers, the structure should include photochromic groups whose photoreaction might increase polarity and shift the hydrophilic–hydrophobic balance sufficiently to rupture the nanostructure when exposed to light. Yao and colleagues [120] reported a photo-responsive LPHNPs system having a doxorubicin-encapsulated PLGA core coated with a lecithin outer monolayer as an interface and a photo-sensitive layer of a PEG-hexadecyl block polymer with a 2-nitrobenzyl linker with anti-biofouling properties. The photoresponsive polymeric shell triggers drug release under light sensitization. In vitro results showed that the prepared LPHNPs showed excellent light-triggered drug release (76% release with light irradiation versus only 10% release without light irradiation). The confocal microscopy and flow cytometry results also confirmed the light-controlled drug-release behavior of the LPHNs within the cancer cells.
Redox-responsive LPHNPs are typically intended to release their payload at the tumor site where the concentration of glutathione (GSH) is higher. Wang and colleagues [121] prepared and reported afatinib-loaded, redox-sensitive, Tf-modified LPHNPs (Tf-SS-Afa-LPNs) for selective delivery to lung cancer. The prepared Tf-SS-Afa-LPNs were spherical in shape with a 103.5 ± 4.1 nm particle size and −21.2 ± 2.4 mV zeta potential. The in vitro drug release studies showed an increased afatinib release from 25% to 80% with increasing GSH concentrations from 0.1 to 10 mM, respectively.
Stimuli-responsive drug release by using external magnetic fields is another fascinating technique. Joshy and colleagues [122] prepared and reported NiFe2O4 NPs (NFO)-reinforced LPHNPs (NLPNs) based on the biodegradable polymer PVA/SA encapsulating zidovudine (AZT). Under the influence of magnetic fields, 80% of the AZT was released and only 13% was released without being subjected to magnetic fields after 48 h due to the presence of magnetic NPs (NFO).
7. Patents on LPHNPs
LPHNPs have attracted significant attention owing to their several advantages compared to lipid or polymer NPs. Henceforth, numerous researchers are focusing on translating their research results and are applying to acquire the intellectual property rights. Table 3 presents recently granted patents on LPHNPs.
Table 3.
List of patents granted on LPHNPs for therapeutic applications.
8. Conclusions and Future Perspective
LPHNPs have been reported as a promising nanocarrier class, offering the pharmaceutical benefits and physicochemical characteristics of both polymeric NPs and liposomes. LPHNPs, exhibiting enhanced stability, preventing drug leakage, possessing easy surface functionalization possibilities, and targeting ability, have proven to be profligate carriers, advancing current nanotherapeutics. The surface functionalization of LPHNPs prolongs the blood circulation time, enhances the target specificity, and improves their physicochemical properties as well as their cell associations such as cellular membrane permeability and immune responses. LPHNPs have been reported to successfully deliver siRNA and small molecules individually for cancer therapy while minimizing the toxicity associated with anticancer therapeutics. Although extensive research has been performed in LPHNPs, researchers are advised to focus on exploring the potentially unexplored areas and use the advancements in LPHNPs design to advance the current therapeutics in pharmaceutics. The selection of proper lipid and polymer combinations in the preparation of LPHNPs may improve their performance and long-term stability. Storage stability is another important parameter and decisive factor for their transition from bench to bedside, but it has not yet been established. Furthermore, a global initiative involving researchers, industrial professionals, and the FDA is necessary to address difficulties, bridge the gap, and overcome different impediments to the clinical translation of LPHNPs. To expand the number of products flowing from academic labs to the market, both industry and academia will need to move toward each other and collaborate while keeping regulator expectations in mind.
Author Contributions
Conceptualization, S.J. and K.K.B.; formal analysis, P.K. and J.V.; resources, M.K. and J.M.R.; writing—original draft preparation, A.V., J.V. and S.J.; writing—review and editing, K.K.B. and J.M.R.; supervision, K.K.B.; funding acquisition, K.K.B. and J.M.R. All authors have read and agreed to the published version of the manuscript.
Funding
This work was funded by Business Finland, grant number 1609/31/2021—JASMINE PRO to K.K.B and J.M.R.
Data Availability Statement
Not applicable.
Acknowledgments
This work is part of the activities within the strategic research profiling area of Solutions for Health at Åbo Akademi University (Academy of Finland, # 336355). J.V. acknowledges the funding support provided by National Overseas Scholarship, Ministry of Social Justice and Empowerment, the government of India for her personal PhD scholarship.
Conflicts of Interest
The authors declare no conflict of interest.
References
- Mishra, V.; Bansal, K.K.; Verma, A.; Yadav, N.; Thakur, S.; Sudhakar, K.; Rosenholm, J.M. Solid Lipid Nanoparticles: Emerging Colloidal Nano Drug Delivery Systems. Pharmaceutics 2018, 10, 191. [Google Scholar] [CrossRef]
- Nakmode, D.; Bhavana, V.; Thakor, P.; Madan, J.; Singh, P.K.; Singh, S.B.; Rosenholm, J.M.; Bansal, K.K.; Mehra, N.K. Fundamental Aspects of Lipid-Based Excipients in Lipid-Based Product Development. Pharmaceutics 2022, 14, 831. [Google Scholar] [CrossRef]
- Marzi, M.; Rostami Chijan, M.; Zarenezhad, E. Hydrogels as Promising Therapeutic Strategy for the Treatment of Skin Cancer. J. Mol. Struct. 2022, 1262, 133014. [Google Scholar] [CrossRef]
- Bansal, K.K.; Rosenholm, J.M. Synthetic Polymers from Renewable Feedstocks: An Alternative to Fossil-Based Materials in Biomedical Applications. Ther. Deliv. 2020, 11, 297–300. [Google Scholar] [CrossRef]
- Bansal, K.K.; Kakde, D.; Purdie, L.; Irvine, D.J.; Howdle, S.M.; Mantovani, G.; Alexander, C. New Biomaterials from Renewable Resources—Amphiphilic Block Copolymers from δ-Decalactone. Polym. Chem. 2015, 6, 7196–7210. [Google Scholar] [CrossRef]
- Bansal, K.; Sasso, L.; Makwana, H.; Awwad, S.; Brocchini, S.; Alexander, C. Nanopharmacy: Exploratory Methods for Polymeric Materials; John Wiley & Sons: Wiley-VCH Verlag GmbH & Co. KGaA: Hoboken, NJ, USA, 2017; Volume 1, ISBN 978-3-527-34054-5. [Google Scholar]
- Jain, P.; Vaidya, A.; Jain, R.; Shrivastava, S.; Khan, T.; Jain, A. Ethyl Cellulose Coated Chitosan Microspheres of Metronidazole as Potential Anti-Amoebic Agent. J. Bionanosci. 2017, 11, 599–607. [Google Scholar] [CrossRef]
- Vaidya, A.; Jain, S.; Agrawal, R.K.; Jain, S.K. Pectin–Metronidazole Prodrug Bearing Microspheres for Colon Targeting. J. Saudi Chem. Soc. 2015, 19, 257–264. [Google Scholar] [CrossRef]
- Xu, L.; Wang, X.; Liu, Y.; Yang, G.; Falconer, R.J.; Zhao, C.-X. Lipid Nanoparticles for Drug Delivery. Adv. NanoBiomed Res. 2022, 2, 2100109. [Google Scholar] [CrossRef]
- Attama, A.A.; Momoh, M.A.; Builders, P.F.; Attama, A.A.; Momoh, M.A.; Builders, P.F. Lipid Nanoparticulate Drug Delivery Systems: A Revolution in Dosage Form Design and Development. In Recent Advances in Novel Drug Carrier Systems; IntechOpen: London, UK, 2012; ISBN 978-953-51-0810-8. [Google Scholar]
- Tenchov, R.; Bird, R.; Curtze, A.E.; Zhou, Q. Lipid Nanoparticles─From Liposomes to MRNA Vaccine Delivery, a Landscape of Research Diversity and Advancement. ACS Nano 2021, 15, 16982–17015. [Google Scholar] [CrossRef]
- Teixeira, M.C.; Carbone, C.; Souto, E.B. Beyond Liposomes: Recent Advances on Lipid Based Nanostructures for Poorly Soluble/Poorly Permeable Drug Delivery. Prog. Lipid Res. 2017, 68, 1–11. [Google Scholar] [CrossRef]
- Jampílek, J.; Kráľová, K. Chapter 8—Recent Advances in Lipid Nanocarriers Applicable in the Fight against Cancer**This Chapter Is Sincerely Dedicated to the Memory of Prof. Ervin Wolfram (1923–1985), the Long-Time Head of the Department of Colloid Chemistry and Colloid Technology, the Faculty of Science, Eötvös Loránd University, Budapest, Hungary. In Nanoarchitectonics in Biomedicine; Grumezescu, A.M., Ed.; William Andrew Publishing: Norwich, NY, USA, 2019; pp. 219–294. ISBN 978-0-12-816200-2. [Google Scholar]
- Mendozza, M.; Caselli, L.; Salvatore, A.; Montis, C.; Berti, D. Nanoparticles and Organized Lipid Assemblies: From Interaction to Design of Hybrid Soft Devices. Soft Matter 2019, 15, 8951–8970. [Google Scholar] [CrossRef]
- Lipid Polymer Hybrid Nanoparticles: A Novel Approach for Drug Delivery. IntechOpen. Available online: https://www.intechopen.com/chapters/69735 (accessed on 9 August 2023).
- Miri, V.; Jangde, R.K.; Singh, D.; Suresh, P.K. Lipid-Polymer Hybrid Nanoparticles for Topical Drug Delivery System. J. Drug Deliv. Ther. 2023, 13, 113–120. [Google Scholar] [CrossRef]
- Bangera, P.D.; Kara, D.D.; Tanvi, K.; Tippavajhala, V.K.; Rathnanand, M. Highlights on Cell-Penetrating Peptides and Polymer-Lipid Hybrid Nanoparticle: Overview and Therapeutic Applications for Targeted Anticancer Therapy. AAPS PharmSciTech 2023, 24, 124. [Google Scholar] [CrossRef]
- Baghel, Y.S.; Bhattacharya, S. Lipid Polymeric Hybrid Nanoparticles: Formulation Techniques and Effects on Glioblastoma. Pharm. Sci. 2021, 28, 174–193. [Google Scholar] [CrossRef]
- Mukherjee, A.; Waters, A.K.; Kalyan, P.; Achrol, A.S.; Kesari, S.; Yenugonda, V.M. Lipid–Polymer Hybrid Nanoparticles as a next-Generation Drug Delivery Platform: State of the Art, Emerging Technologies, and Perspectives. Int. J. Nanomed. 2019, 14, 1937–1952. [Google Scholar] [CrossRef]
- Sengel-Turk, C.T.; Hascicek, C. Design of Lipid-Polymer Hybrid Nanoparticles for Therapy of BPH: Part I. Formulation Optimization Using a Design of Experiment Approach. J. Drug Deliv. Sci. Technol. 2017, 39, 16–27. [Google Scholar] [CrossRef]
- Chouhan, M.D.; Mujariya, D.R. Design and Development of Lipid Polymer Hybrid Nanoparticles for Combinatorial Drug Delivery. Int. J. Creat. Res. Thoughts 2023, 11, e645. [Google Scholar]
- Rouco, H.; García-García, P.; Évora, C.; Díaz-Rodríguez, P.; Delgado, A. Screening Strategies for Surface Modification of Lipid-Polymer Hybrid Nanoparticles. Int. J. Pharm. 2022, 624, 121973. [Google Scholar] [CrossRef]
- Bokare, A.; Takami, A.; Kim, J.H.; Dong, A.; Chen, A.; Valerio, R.; Gunn, S.; Erogbogbo, F. Herringbone-Patterned 3D-Printed Devices as Alternatives to Microfluidics for Reproducible Production of Lipid Polymer Hybrid Nanoparticles. ACS Omega 2019, 4, 4650–4657. [Google Scholar] [CrossRef]
- Tahir, N.; Madni, A.; Correia, A.; Rehman, M.; Balasubramanian, V.; Khan, M.M.; Santos, H.A. Lipid-Polymer Hybrid Nanoparticles for Controlled Delivery of Hydrophilic and Lipophilic Doxorubicin for Breast Cancer Therapy. Int. J. Nanomed. 2019, 14, 4961–4974. [Google Scholar] [CrossRef]
- Liu, Y.; Li, K.; Pan, J.; Liu, B.; Feng, S.-S. Folic Acid Conjugated Nanoparticles of Mixed Lipid Monolayer Shell and Biodegradable Polymer Core for Targeted Delivery of Docetaxel. Biomaterials 2010, 31, 330–338. [Google Scholar] [CrossRef] [PubMed]
- Wang, Q.; Alshaker, H.; Böhler, T.; Srivats, S.; Chao, Y.; Cooper, C.; Pchejetski, D. Core Shell Lipid-Polymer Hybrid Nanoparticles with Combined Docetaxel and Molecular Targeted Therapy for the Treatment of Metastatic Prostate Cancer. Sci. Rep. 2017, 7, 5901. [Google Scholar] [CrossRef] [PubMed]
- Mieszawska, A.J.; Gianella, A.; Cormode, D.P.; Zhao, Y.; Meijerink, A.; Langer, R.; Farokhzad, O.C.; Fayad, Z.A.; Mulder, W.J.M. Engineering of Lipid-Coated PLGA Nanoparticles with a Tunable Payload of Diagnostically Active Nanocrystals for Medical Imaging. Chem. Commun. 2012, 48, 5835–5837. [Google Scholar] [CrossRef]
- Jain, A.K.; Bataille, C.J.R.; Milhas, S.; Miller, A.; Zhang, J.; Rabbitts, T.H. Immunopolymer Lipid Nanoparticles for Delivery of Macromolecules to Antigen-Expressing Cells. ACS Appl. Bio Mater. 2020, 3, 8481–8495. [Google Scholar] [CrossRef] [PubMed]
- Shao, Y.; Luo, W.; Guo, Q.; Li, X.; Zhang, Q.; Li, J. In Vitro and in Vivo Effect of Hyaluronic Acid Modified, Doxorubicin and Gallic Acid Co-Delivered Lipid-Polymeric Hybrid Nano-System for Leukemia Therapy. Drug Des. Dev. Ther. 2019, 13, 2043–2055. [Google Scholar] [CrossRef]
- Dong, W.; Wang, X.; Liu, C.; Zhang, X.; Zhang, X.; Chen, X.; Kou, Y.; Mao, S. Chitosan Based Polymer-Lipid Hybrid Nanoparticles for Oral Delivery of Enoxaparin. Int. J. Pharm. 2018, 547, 499–505. [Google Scholar] [CrossRef] [PubMed]
- Sailor, G.U.; Ramani, V.D.; Shah, N.; Parmar, G.R.; Gohil, D.; Balaraman, R.; Seth, A. Design of Experiment Approach Based Formulation Optimization of Berberine Loaded Solid Lipid Nanoparticle for Antihyperlipidemic Activity. Indian J. Pharm. Sci. 2021, 83, 204–218. [Google Scholar] [CrossRef]
- Lee, J.-Y.; Yang, H.; Yoon, I.-S.; Kim, S.-B.; Ko, S.-H.; Shim, J.-S.; Sung, S.H.; Cho, H.-J.; Kim, D.-D. Nanocomplexes Based on Amphiphilic Hyaluronic Acid Derivative and Polyethylene Glycol–Lipid for Ginsenoside Rg3 Delivery. J. Pharm. Sci. 2014, 103, 3254–3262. [Google Scholar] [CrossRef]
- Wei, W.; Sun, J.; Guo, X.-Y.; Chen, X.; Wang, R.; Qiu, C.; Zhang, H.-T.; Pang, W.-H.; Wang, J.-C.; Zhang, Q. Microfluidic-Based Holonomic Constraints of SiRNA in the Kernel of Lipid/Polymer Hybrid Nanoassemblies for Improving Stable and Safe In Vivo Delivery. ACS Appl. Mater. Interfaces 2020, 12, 14839–14854. [Google Scholar] [CrossRef]
- Kumar, S.S.D.; Mahesh, A.; Mahadevan, S.; Mandal, A.B. Synthesis and Characterization of Curcumin Loaded Polymer/Lipid Based Nanoparticles and Evaluation of Their Antitumor Effects on MCF-7 Cells. Biochim. Biophys. Acta (BBA)-Gen. Subj. 2014, 1840, 1913–1922. [Google Scholar] [CrossRef]
- Kumar, V.; Chaudhary, H.; Kamboj, A. Development and Evaluation of Isradipine via Rutin-Loaded Coated Solid-Lipid Nanoparticles. Interv. Med. Appl. Sci. 2018, 10, 236–246. [Google Scholar] [CrossRef] [PubMed]
- Gao, L.-Y.; Liu, X.-Y.; Chen, C.-J.; Wang, J.-C.; Feng, Q.; Yu, M.-Z.; Ma, X.-F.; Pei, X.-W.; Niu, Y.-J.; Qiu, C.; et al. Core-Shell Type Lipid/RPAA-Chol Polymer Hybrid Nanoparticles for in Vivo SiRNA Delivery. Biomaterials 2014, 35, 2066–2078. [Google Scholar] [CrossRef] [PubMed]
- Wang, A.Z.; Yuet, K.; Zhang, L.; Gu, F.X.; Huynh-Le, M.; Radovic-Moreno, A.F.; Kantoff, P.W.; Bander, N.H.; Langer, R.; Farokhzad, O.C. ChemoRad Nanoparticles: A Novel Multifunctional Nanoparticle Platform for Targeted Delivery of Concurrent Chemoradiation. Nanomedicine 2010, 5, 361–368. [Google Scholar] [CrossRef]
- Salvador-Morales, C.; Zhang, L.; Langer, R.; Farokhzad, O.C. Immunocompatibility Properties of Lipid–Polymer Hybrid Nanoparticles with Heterogeneous Surface Functional Groups. Biomaterials 2009, 30, 2231–2240. [Google Scholar] [CrossRef] [PubMed]
- Dave, V.; Yadav, R.B.; Kushwaha, K.; Yadav, S.; Sharma, S.; Agrawal, U. Lipid-Polymer Hybrid Nanoparticles: Development & Statistical Optimization of Norfloxacin for Topical Drug Delivery System. Bioact. Mater. 2017, 2, 269–280. [Google Scholar] [CrossRef] [PubMed]
- Valencia, P.M.; Basto, P.A.; Zhang, L.; Rhee, M.; Langer, R.; Farokhzad, O.C.; Karnik, R. Single-Step Assembly of Homogenous Lipid-Polymeric and Lipid-Quantum Dot Nanoparticles Enabled by Microfluidic Rapid Mixing. ACS Nano 2010, 4, 1671–1679. [Google Scholar] [CrossRef] [PubMed]
- Troutier, A.-L.; Delair, T.; Pichot, C.; Ladavière, C. Physicochemical and Interfacial Investigation of Lipid/Polymer Particle Assemblies. Langmuir 2005, 21, 1305–1313. [Google Scholar] [CrossRef]
- Thevenot, J.; Troutier, A.-L.; David, L.; Delair, T.; Ladavière, C. Steric Stabilization of Lipid/Polymer Particle Assemblies by Poly(Ethylene Glycol)-Lipids. Biomacromolecules 2007, 8, 3651–3660. [Google Scholar] [CrossRef]
- Yeh, M.-K.; Chang, W.-K.; Tai, Y.-J.; Chiang, C.-H.; Hu, C.; Hong, P.-D. The Comparison of Protein-Entrapped Liposomes and Lipoparticles: Preparation, Characterization, and Efficacy of Cellular Uptake. Int. J. Nanomed. 2011, 6, 2403–2417. [Google Scholar] [CrossRef][Green Version]
- Mandal, B.; Bhattacharjee, H.; Mittal, N.; Sah, H.; Balabathula, P.; Thoma, L.A.; Wood, G.C. Core–Shell-Type Lipid–Polymer Hybrid Nanoparticles as a Drug Delivery Platform. Nanomed. Nanotechnol. Biol. Med. 2013, 9, 474–491. [Google Scholar] [CrossRef]
- Wakaskar, R.R. General Overview of Lipid-Polymer Hybrid Nanoparticles, Dendrimers, Micelles, Liposomes, Spongosomes and Cubosomes. J. Drug Target. 2018, 26, 311–318. [Google Scholar] [CrossRef]
- Shah, S.; Famta, P.; Raghuvanshi, R.S.; Singh, S.B.; Srivastava, S. Lipid Polymer Hybrid Nanocarriers: Insights into Synthesis Aspects, Characterization, Release Mechanisms, Surface Functionalization and Potential Implications. Colloid Interface Sci. Commun. 2022, 46, 100570. [Google Scholar] [CrossRef]
- Zhang, L.; Chan, J.M.; Gu, F.X.; Rhee, J.-W.; Wang, A.Z.; Radovic-Moreno, A.F.; Alexis, F.; Langer, R.; Farokhzad, O.C. Self-Assembled Lipid-Polymer Hybrid Nanoparticles: A Robust Drug Delivery Platform. ACS Nano 2008, 2, 1696–1702. [Google Scholar] [CrossRef]
- Krishnamurthy, S.; Vaiyapuri, R.; Zhang, L.; Chan, J.M. Lipid-Coated Polymeric Nanoparticles for Cancer Drug Delivery. Biomater. Sci. 2015, 3, 923–936. [Google Scholar] [CrossRef]
- Dave, V.; Tak, K.; Sohgaura, A.; Gupta, A.; Sadhu, V.; Reddy, K.R. Lipid-Polymer Hybrid Nanoparticles: Synthesis Strategies and Biomedical Applications. J. Microbiol. Methods 2019, 160, 130–142. [Google Scholar] [CrossRef]
- Yang, X.-Z.; Dou, S.; Wang, Y.-C.; Long, H.-Y.; Xiong, M.-H.; Mao, C.-Q.; Yao, Y.-D.; Wang, J. Single-Step Assembly of Cationic Lipid–Polymer Hybrid Nanoparticles for Systemic Delivery of SiRNA. ACS Nano 2012, 6, 4955–4965. [Google Scholar] [CrossRef]
- Zhang, L.-J.; Wu, B.; Zhou, W.; Wang, C.-X.; Wang, Q.; Yu, H.; Zhuo, R.-X.; Liu, Z.-L.; Huang, S.-W. Two-Component Reduction-Sensitive Lipid–Polymer Hybrid Nanoparticles for Triggered Drug Release and Enhanced in Vitro and in Vivo Anti-Tumor Efficacy. Biomater. Sci. 2016, 5, 98–110. [Google Scholar] [CrossRef]
- Yalcin, T.E.; Ilbasmis-Tamer, S.; Takka, S. Antitumor Activity of Gemcitabine Hydrochloride Loaded Lipid Polymer Hybrid Nanoparticles (LPHNs): In Vitro and in Vivo. Int. J. Pharm. 2020, 580, 119246. [Google Scholar] [CrossRef]
- Iqbal, M.; Zafar, N.; Fessi, H.; Elaissari, A. Double Emulsion Solvent Evaporation Techniques Used for Drug Encapsulation. Int. J. Pharm. 2015, 496, 173–190. [Google Scholar] [CrossRef]
- Jelvehgari, M.; Montazam, S.H. Comparison of Microencapsulation by Emulsion-Solvent Extraction/Evaporation Technique Using Derivatives Cellulose and Acrylate-Methacrylate Copolymer as Carriers. Jundishapur J. Nat. Pharm. Prod. 2012, 7, 144–152. [Google Scholar] [CrossRef]
- Jose, C.; Amra, K.; Bhavsar, C.; Momin, M.; Omri, A. Polymeric Lipid Hybrid Nanoparticles: Properties and Therapeutic Applications. Crit. Rev. Ther. Drug Carr. Syst. 2018, 35, 555–588. [Google Scholar] [CrossRef]
- Liu, J.; Cheng, H.; Han, L.; Qiang, Z.; Zhang, X.; Gao, W.; Zhao, K.; Song, Y. Synergistic Combination Therapy of Lung Cancer Using Paclitaxel- and Triptolide-Coloaded Lipid–Polymer Hybrid Nanoparticles. Drug Des. Dev. Ther. 2018, 12, 3199–3209. [Google Scholar] [CrossRef]
- Lee, J.-J.; Lee, S.Y.; Park, J.-H.; Kim, D.-D.; Cho, H.-J. Cholesterol-Modified Poly(Lactide-Co-Glycolide) Nanoparticles for Tumor-Targeted Drug Delivery. Int. J. Pharm. 2016, 509, 483–491. [Google Scholar] [CrossRef]
- Zheng, Y.; Yu, B.; Weecharangsan, W.; Piao, L.; Darby, M.; Mao, Y.; Koynova, R.; Yang, X.; Li, H.; Xu, S.; et al. Transferrin-Conjugated Lipid-Coated PLGA Nanoparticles for Targeted Delivery of Aromatase Inhibitor 7alpha-APTADD to Breast Cancer Cells. Int. J. Pharm. 2010, 390, 234–241. [Google Scholar] [CrossRef]
- Aryal, S.; Hu, C.-M.J.; Zhang, L. Combinatorial Drug Conjugation Enables Nanoparticle Dual-Drug Delivery. Small 2010, 6, 1442–1448. [Google Scholar] [CrossRef]
- Chan, J.M.; Rhee, J.-W.; Drum, C.L.; Bronson, R.T.; Golomb, G.; Langer, R.; Farokhzad, O.C. In Vivo Prevention of Arterial Restenosis with Paclitaxel-Encapsulated Targeted Lipid-Polymeric Nanoparticles. Proc. Natl. Acad. Sci. USA 2011, 108, 19347–19352. [Google Scholar] [CrossRef]
- Dehaini, D.; Fang, R.H.; Luk, B.T.; Pang, Z.; Hu, C.-M.J.; Kroll, A.V.; Yu, C.L.; Gao, W.; Zhang, L. Ultra-Small Lipid–Polymer Hybrid Nanoparticles for Tumor-Penetrating Drug Delivery. Nanoscale 2016, 8, 14411–14419. [Google Scholar] [CrossRef]
- Shi, J.; Xiao, Z.; Votruba, A.R.; Vilos, C.; Farokhzad, O.C. Differentially Charged Hollow Core/Shell Lipid-Polymer-Lipid Hybrid Nanoparticles for Small Interfering RNA Delivery. Angew. Chem. Int. Ed. Engl. 2011, 50, 7027–7031. [Google Scholar] [CrossRef]
- Zhao, P.; Wang, H.; Yu, M.; Liao, Z.; Wang, X.; Zhang, F.; Ji, W.; Wu, B.; Han, J.; Zhang, H.; et al. Paclitaxel Loaded Folic Acid Targeted Nanoparticles of Mixed Lipid-Shell and Polymer-Core: In Vitro and in Vivo Evaluation. Eur. J. Pharm. Biopharm. 2012, 81, 248–256. [Google Scholar] [CrossRef]
- Hu, C.-M.J.; Fang, R.H.; Wang, K.-C.; Luk, B.T.; Thamphiwatana, S.; Dehaini, D.; Nguyen, P.; Angsantikul, P.; Wen, C.H.; Kroll, A.V.; et al. Nanoparticle Biointerfacing by Platelet Membrane Cloaking. Nature 2015, 526, 118–121. [Google Scholar] [CrossRef]
- JC Bose, R.; Lee, S.-H.; Park, H. Lipid Polymer Hybrid Nanospheres Encapsulating Antiproliferative Agents for Stent Applications. J. Ind. Eng. Chem. 2016, 36, 284–292. [Google Scholar] [CrossRef]
- Bose, R.J.C.; Arai, Y.; Ahn, J.C.; Park, H.; Lee, S.-H. Influence of Cationic Lipid Concentration on Properties of Lipid-Polymer Hybrid Nanospheres for Gene Delivery. Int. J. Nanomed. 2015, 10, 5367–5382. [Google Scholar] [CrossRef]
- Aryal, S.; Hu, C.-M.J.; Fang, R.H.; Dehaini, D.; Carpenter, C.; Zhang, D.-E.; Zhang, L. Erythrocyte Membrane-Cloaked Polymeric Nanoparticles for Controlled Drug Loading and Release. Nanomedicine 2013, 8, 1271–1280. [Google Scholar] [CrossRef] [PubMed]
- Hu, Y.; Hoerle, R.; Ehrich, M.; Zhang, C. Engineering the Lipid Layer of Lipid–PLGA Hybrid Nanoparticles for Enhanced in Vitro Cellular Uptake and Improved Stability. Acta Biomater. 2015, 28, 149–159. [Google Scholar] [CrossRef]
- Sengupta, S.; Eavarone, D.; Capila, I.; Zhao, G.; Watson, N.; Kiziltepe, T.; Sasisekharan, R. Temporal Targeting of Tumour Cells and Neovasculature with a Nanoscale Delivery System. Nature 2005, 436, 568–572. [Google Scholar] [CrossRef]
- Wu, B.; Yu, P.; Cui, C.; Wu, M.; Zhang, Y.; Liu, L.; Wang, C.-X.; Zhuo, R.-X.; Huang, S.-W. Folate-Containing Reduction-Sensitive Lipid-Polymer Hybrid Nanoparticles for Targeted Delivery of Doxorubicin. Biomater. Sci. 2015, 3, 655–664. [Google Scholar] [CrossRef]
- Gu, L.; Shi, T.; Sun, Y.; You, C.; Wang, S.; Wen, G.; Chen, L.; Zhang, X.; Zhu, J.; Sun, B. Folate-Modified, Indocyanine Green-Loaded Lipid-Polymer Hybrid Nanoparticles for Targeted Delivery of Cisplatin. J. Biomater. Sci. Polym. Ed. 2017, 28, 690–702. [Google Scholar] [CrossRef]
- Zheng, M.; Gong, P.; Zheng, C.; Zhao, P.; Luo, Z.; Ma, Y.; Cai, L. Lipid-Polymer Nanoparticles for Folate-Receptor Targeting Delivery of Doxorubicin. J. Nanosci. Nanotechnol. 2015, 15, 4792–4798. [Google Scholar] [CrossRef]
- Yang, Z.; Luo, X.; Zhang, X.; Liu, J.; Jiang, Q. Targeted Delivery of 10-Hydroxycamptothecin to Human Breast Cancers by Cyclic RGD-Modified Lipid-Polymer Hybrid Nanoparticles. Biomed. Mater. 2013, 8, 025012. [Google Scholar] [CrossRef]
- Gao, F.; Zhang, J.; Fu, C.; Xie, X.; Peng, F.; You, J.; Tang, H.; Wang, Z.; Li, P.; Chen, J. IRGD-Modified Lipid-Polymer Hybrid Nanoparticles Loaded with Isoliquiritigenin to Enhance Anti-Breast Cancer Effect and Tumor-Targeting Ability. Int. J. Nanomed. 2017, 12, 4147–4162. [Google Scholar] [CrossRef]
- Shi, K.; Zhou, J.; Zhang, Q.; Gao, H.; Liu, Y.; Zong, T.; He, Q. Arginine-Glycine-Aspartic Acid-Modified Lipid-Polymer Hybrid Nanoparticles for Docetaxel Delivery in Glioblastoma Multiforme. J. Biomed. Nanotechnol. 2015, 11, 382–391. [Google Scholar] [CrossRef] [PubMed]
- Hasan, W.; Chu, K.; Gullapalli, A.; Dunn, S.S.; Enlow, E.M.; Luft, J.C.; Tian, S.; Napier, M.E.; Pohlhaus, P.D.; Rolland, J.P.; et al. Delivery of Multiple SiRNAs Using Lipid-Coated PLGA Nanoparticles for Treatment of Prostate Cancer. Nano Lett. 2012, 12, 287–292. [Google Scholar] [CrossRef] [PubMed]
- Palange, A.L.; Di Mascolo, D.; Carallo, C.; Gnasso, A.; Decuzzi, P. Lipid-Polymer Nanoparticles Encapsulating Curcumin for Modulating the Vascular Deposition of Breast Cancer Cells. Nanomedicine 2014, 10, 991–1002. [Google Scholar] [CrossRef]
- Su, X.; Wang, Z.; Li, L.; Zheng, M.; Zheng, C.; Gong, P.; Zhao, P.; Ma, Y.; Tao, Q.; Cai, L. Lipid–Polymer Nanoparticles Encapsulating Doxorubicin and 2′-Deoxy-5-Azacytidine Enhance the Sensitivity of Cancer Cells to Chemical Therapeutics. Mol. Pharm. 2013, 10, 1901–1909. [Google Scholar] [CrossRef] [PubMed]
- Wang, G.; Wang, Z.; Li, C.; Duan, G.; Wang, K.; Li, Q.; Tao, T. RGD Peptide-Modified, Paclitaxel Prodrug-Based, Dual-Drugs Loaded, and Redox-Sensitive Lipid-Polymer Nanoparticles for the Enhanced Lung Cancer Therapy. Biomed. Pharmacother. 2018, 106, 275–284. [Google Scholar] [CrossRef]
- Guo, P.; Buttaro, B.A.; Xue, H.Y.; Tran, N.T.; Wong, H.L. Lipid-Polymer Hybrid Nanoparticles Carrying Linezolid Improve Treatment of Methicillin-Resistant Staphylococcus Aureus (MRSA) Harbored inside Bone Cells and Biofilms. Eur. J. Pharm. Biopharm 2020, 151, 189–198. [Google Scholar] [CrossRef]
- Bakar-Ates, F.; Ozkan, E.; Sengel-Turk, C.T. Encapsulation of Cucurbitacin B into Lipid Polymer Hybrid Nanocarriers Induced Apoptosis of MDAMB231 Cells through PARP Cleavage. Int. J. Pharm. 2020, 586, 119565. [Google Scholar] [CrossRef]
- Ai, X.; Duan, Y.; Zhang, Q.; Sun, D.; Fang, R.H.; Liu-Bryan, R.; Gao, W.; Zhang, L. Cartilage-Targeting Ultrasmall Lipid-Polymer Hybrid Nanoparticles for the Prevention of Cartilage Degradation. Bioeng. Transl. Med. 2021, 6, e10187. [Google Scholar] [CrossRef]
- Fraix, A.; Conte, C.; Gazzano, E.; Riganti, C.; Quaglia, F.; Sortino, S. Overcoming Doxorubicin Resistance with Lipid–Polymer Hybrid Nanoparticles Photoreleasing Nitric Oxide. Mol. Pharm. 2020, 17, 2135–2144. [Google Scholar] [CrossRef]
- Sengel-Turk, C.T.; Alcigir, M.E.; Ekim, O.; Bakar-Ates, F.; Hascicek, C. Clinicopathological and Immunohistochemical Evaluation of Lonidamine-Entrapped Lipid–Polymer Hybrid Nanoparticles in Treatment of Benign Prostatic Hyperplasia: An Experimental Rat Model. Eur. J. Pharm. Biopharm. 2020, 157, 211–220. [Google Scholar] [CrossRef]
- Yang, P.; Zhang, L.; Wang, T.; Liu, Q.; Wang, J.; Wang, Y.; Tu, Z.; Lin, F. Doxorubicin and Edelfosine Combo-Loaded Lipid-Polymer Hybrid Nanoparticles for Synergistic Anticancer Effect Against Drug-Resistant Osteosarcoma. Onco Targets Ther. 2020, 13, 8055–8067. [Google Scholar] [CrossRef] [PubMed]
- Hamdi, M.; Abdel-Bar, H.M.; Elmowafy, E.; Al-Jamal, K.T.; Awad, G.A.S. An Integrated Vitamin E-Coated Polymer Hybrid Nanoplatform: A Lucrative Option for an Enhanced in Vitro Macrophage Retention for an Anti-Hepatitis B Therapeutic Prospect. PLoS ONE 2020, 15, e0227231. [Google Scholar] [CrossRef] [PubMed]
- Thakur, N.S.; Mandal, N.; Patel, G.; Kirar, S.; Reddy, Y.N.; Kushwah, V.; Jain, S.; Kalia, Y.N.; Bhaumik, J.; Banerjee, U.C. Co-Administration of Zinc Phthalocyanine and Quercetin via Hybrid Nanoparticles for Augmented Photodynamic Therapy. Nanomedicine 2021, 33, 102368. [Google Scholar] [CrossRef] [PubMed]
- Jadon, R.S.; Sharma, M. Docetaxel-Loaded Lipid-Polymer Hybrid Nanoparticles for Breast Cancer Therapeutics. J. Drug Deliv. Sci. Technol. 2019, 51, 475–484. [Google Scholar] [CrossRef]
- Du, M.; Ouyang, Y.; Meng, F.; Zhang, X.; Ma, Q.; Zhuang, Y.; Liu, H.; Pang, M.; Cai, T.; Cai, Y. Polymer-Lipid Hybrid Nanoparticles: A Novel Drug Delivery System for Enhancing the Activity of Psoralen against Breast Cancer. Int. J. Pharm. 2019, 561, 274–282. [Google Scholar] [CrossRef] [PubMed]
- Yalcin, T.E.; Ilbasmis-Tamer, S.; Takka, S. Development and Characterization of Gemcitabine Hydrochloride Loaded Lipid Polymer Hybrid Nanoparticles (LPHNs) Using Central Composite Design. Int. J. Pharm. 2018, 548, 255–262. [Google Scholar] [CrossRef]
- Li, Y.; Wu, H.; Yang, X.; Jia, M.; Li, Y.; Huang, Y.; Lin, J.; Wu, S.; Hou, Z. Mitomycin C-Soybean Phosphatidylcholine Complex-Loaded Self-Assembled PEG-Lipid-PLA Hybrid Nanoparticles for Targeted Drug Delivery and Dual-Controlled Drug Release. Mol. Pharm. 2014, 11, 2915–2927. [Google Scholar] [CrossRef]
- Jain, A.; Sharma, G.; Kushwah, V.; Garg, N.K.; Kesharwani, P.; Ghoshal, G.; Singh, B.; Shivhare, U.S.; Jain, S.; Katare, O.P. Methotrexate and Beta-Carotene Loaded-Lipid Polymer Hybrid Nanoparticles: A Preclinical Study for Breast Cancer. Nanomedicine 2017, 12, 1851–1872. [Google Scholar] [CrossRef]
- Ayad, C.; Libeau, P.; Lacroix-Gimon, C.; Ladavière, C.; Verrier, B. LipoParticles: Lipid-Coated PLA Nanoparticles Enhanced In Vitro MRNA Transfection Compared to Liposomes. Pharmaceutics 2021, 13, 377. [Google Scholar] [CrossRef]
- Garg, N.K.; Tyagi, R.K.; Sharma, G.; Jain, A.; Singh, B.; Jain, S.; Katare, O.P. Functionalized Lipid–Polymer Hybrid Nanoparticles Mediated Codelivery of Methotrexate and Aceclofenac: A Synergistic Effect in Breast Cancer with Improved Pharmacokinetics Attributes. Mol. Pharm. 2017, 14, 1883–1897. [Google Scholar] [CrossRef]
- Pang, J.; Xing, H.; Sun, Y.; Feng, S.; Wang, S. Non-Small Cell Lung Cancer Combination Therapy: Hyaluronic Acid Modified, Epidermal Growth Factor Receptor Targeted, PH Sensitive Lipid-Polymer Hybrid Nanoparticles for the Delivery of Erlotinib plus Bevacizumab. Biomed. Pharmacother. 2020, 125, 109861. [Google Scholar] [CrossRef] [PubMed]
- Fu, Q.; Wang, J.; Liu, H. Chemo-Immune Synergetic Therapy of Esophageal Carcinoma: Trastuzumab Modified, Cisplatin and Fluorouracil Co-Delivered Lipid-Polymer Hybrid Nanoparticles. Drug Deliv. 2020, 27, 1535–1543. [Google Scholar] [CrossRef] [PubMed]
- Li, A.; Yang, F.; Xin, J.; Bai, X. An Efficient and Long-Acting Local Anesthetic: Ropivacaine-Loaded Lipid-Polymer Hybrid Nanoparticles for the Control of Pain. Int. J. Nanomed. 2019, 14, 913–920. [Google Scholar] [CrossRef]
- Shafique, M.; Ur Rehman, M.; Kamal, Z.; Alzhrani, R.M.; Alshehri, S.; Alamri, A.H.; Bakkari, M.A.; Sabei, F.Y.; Safhi, A.Y.; Mohammed, A.M.; et al. Formulation Development of Lipid Polymer Hybrid Nanoparticles of Doxorubicin and Its In-Vitro, in-Vivo and Computational Evaluation. Front. Pharmacol. 2023, 14, 1025013. [Google Scholar] [CrossRef] [PubMed]
- Tang, S.; Li, Y. Sorafenib-Loaded Ligand-Functionalized Polymer-Lipid Hybrid Nanoparticles for Enhanced Therapeutic Effect Against Liver Cancer. J. Nanosci. Nanotechnol. 2019, 19, 6866–6871. [Google Scholar] [CrossRef] [PubMed]
- Khan, M.M.; Madni, A.; Torchilin, V.; Filipczak, N.; Pan, J.; Tahir, N.; Shah, H. Lipid-Chitosan Hybrid Nanoparticles for Controlled Delivery of Cisplatin. Drug Deliv. 2019, 26, 765–772. [Google Scholar] [CrossRef]
- Nair, R.; Kumar, A.C.; Priya, V.K.; Yadav, C.M.; Raju, P.Y. Formulation and Evaluation of Chitosan Solid Lipid Nanoparticles of Carbamazepine. Lipids Health Dis. 2012, 11, 72. [Google Scholar] [CrossRef]
- Tezgel, Ö.; Szarpak-Jankowska, A.; Arnould, A.; Auzély-Velty, R.; Texier, I. Chitosan-Lipid Nanoparticles (CS-LNPs): Application to SiRNA Delivery. J. Colloid Interface Sci. 2018, 510, 45–56. [Google Scholar] [CrossRef]
- Saeed, R.M.; Abdullah, M.; Ahram, M.; Taha, M.O. Novel Ellipsoid Chitosan-Phthalate Lecithin Nanoparticles for SiRNA Delivery. Front. Bioeng. Biotechnol. 2021, 9, 695371. [Google Scholar] [CrossRef]
- Wong, H.L.; Bendayan, R.; Rauth, A.M.; Wu, X.Y. Simultaneous Delivery of Doxorubicin and GG918 (Elacridar) by New Polymer-Lipid Hybrid Nanoparticles (PLN) for Enhanced Treatment of Multidrug-Resistant Breast Cancer. J. Control. Release 2006, 116, 275–284. [Google Scholar] [CrossRef]
- Zhang, L.; Zhu, D.; Dong, X.; Sun, H.; Song, C.; Wang, C.; Kong, D. Folate-Modified Lipid-Polymer Hybrid Nanoparticles for Targeted Paclitaxel Delivery. Int. J. Nanomed. 2015, 10, 2101–2114. [Google Scholar] [CrossRef]
- Monirinasab, H.; Asadi, H.; Rostamizadeh, K.; Esmaeilzadeh, A.; Khodaei, M.; Fathi, M. Novel Lipid-Polymer Hybrid Nanoparticles for SiRNA Delivery and IGF-1R Gene Silencing in Breast Cancer Cells. J. Drug Deliv. Sci. Technol. 2018, 48, 96–105. [Google Scholar] [CrossRef]
- Liu, Y.; Jiang, Z.; Hou, X.; Xie, X.; Shi, J.; Shen, J.; He, Y.; Wang, Z.; Feng, N. Functional Lipid Polymeric Nanoparticles for Oral Drug Delivery: Rapid Mucus Penetration and Improved Cell Entry and Cellular Transport. Nanomedicine 2019, 21, 102075. [Google Scholar] [CrossRef]
- Parvez, S.; Yadagiri, G.; Gedda, M.R.; Singh, A.; Singh, O.P.; Verma, A.; Sundar, S.; Mudavath, S.L. Modified Solid Lipid Nanoparticles Encapsulated with Amphotericin B and Paromomycin: An Effective Oral Combination against Experimental Murine Visceral Leishmaniasis. Sci. Rep. 2020, 10, 12243. [Google Scholar] [CrossRef] [PubMed]
- Rozenberg, B.A.; Tenne, R. Polymer-Assisted Fabrication of Nanoparticles and Nanocomposites. Prog. Polym. Sci. 2008, 33, 40–112. [Google Scholar] [CrossRef]
- Ghosh Chaudhuri, R.; Paria, S. Core/Shell Nanoparticles: Classes, Properties, Synthesis Mechanisms, Characterization, and Applications. Chem. Rev. 2012, 112, 2373–2433. [Google Scholar] [CrossRef] [PubMed]
- Lee, S.-M.; Nguyen, S.T. Smart Nanoscale Drug Delivery Platforms from Stimuli-Responsive Polymers and Liposomes. Macromolecules 2013, 46, 9169–9180. [Google Scholar] [CrossRef]
- Nosova, A.S.; Koloskova, O.O.; Nikonova, A.A.; Simonova, V.A.; Smirnov, V.V.; Kudlay, D.; Khaitov, M.R. Diversity of PEGylation Methods of Liposomes and Their Influence on RNA Delivery. Med. Chem. Commun. 2019, 10, 369–377. [Google Scholar] [CrossRef]
- Suk, J.S.; Xu, Q.; Kim, N.; Hanes, J.; Ensign, L.M. PEGylation as a Strategy for Improving Nanoparticle-Based Drug and Gene Delivery. Adv. Drug Deliv. Rev. 2016, 99, 28–51. [Google Scholar] [CrossRef]
- Clawson, C.; Ton, L.; Aryal, S.; Fu, V.; Esener, S.; Zhang, L. Synthesis and Characterization of Lipid–Polymer Hybrid Nanoparticles with PH-Triggered Poly(Ethylene Glycol) Shedding. Langmuir 2011, 27, 10556–10561. [Google Scholar] [CrossRef]
- Wang, J. Combination Treatment of Cervical Cancer Using Folate-Decorated, PH-Sensitive, Carboplatin and Paclitaxel Co-Loaded Lipid-Polymer Hybrid Nanoparticles. Drug Des. Dev. Ther. 2020, 14, 823–832. [Google Scholar] [CrossRef] [PubMed]
- Garg, N.K.; Singh, B.; Kushwah, V.; Tyagi, R.K.; Sharma, R.; Jain, S.; Katare, O.P. The Ligand (s) Anchored Lipobrid Nanoconstruct Mediated Delivery of Methotrexate: An Effective Approach in Breast Cancer Therapeutics. Nanomed. Nanotechnol. Biol. Med. 2016, 12, 2043–2060. [Google Scholar] [CrossRef]
- Omar, S.H.; Osman, R.; Mamdouh, W.; Abdel-Bar, H.M.; Awad, G.A.S. Bioinspired Lipid-Polysaccharide Modified Hybrid Nanoparticles as a Brain-Targeted Highly Loaded Carrier for a Hydrophilic Drug. Int. J. Biol. Macromol. 2020, 165, 483–494. [Google Scholar] [CrossRef] [PubMed]
- Yougan, C.; Yuanyuan, D.; Chenyao, Z.; Congming, X. Anti Prostate Cancer Therapy: Aptamer-Functionalized, Curcumin and Cabazitaxel Co-Delivered, Tumor Targeted Lipid-Polymer Hybrid Nanoparticles. Biomed. Pharmacother. 2020, 127, 110181. [Google Scholar]
- Zhang, H.; Dong, S.; Zhang, S.; Li, Y.; Li, J.; Dai, Y.; Wang, D. PH-Responsive Lipid Polymer Hybrid Nanoparticles (LPHNs) Based on Poly (β-Amino Ester) as a Promising Candidate to Resist Breast Cancers. J. Drug Deliv. Sci. Technol. 2021, 61, 102102. [Google Scholar] [CrossRef]
- Yao, C.; Wu, M.; Zhang, C.; Lin, X.; Wei, Z.; Zheng, Y.; Zhang, D.; Zhang, Z.; Liu, X. Photoresponsive Lipid-Polymer Hybrid Nanoparticles for Controlled Doxorubicin Release. Nanotechnology 2017, 28, 255101. [Google Scholar] [CrossRef]
- Wang, J.; Su, G.; Yin, X.; Luo, J.; Gu, R.; Wang, S.; Feng, J.; Chen, B. Non-Small Cell Lung Cancer-Targeted, Redox-Sensitive Lipid-Polymer Hybrid Nanoparticles for the Delivery of a Second-Generation Irreversible Epidermal Growth Factor Inhibitor—Afatinib: In Vitro and in Vivo Evaluation. Biomed. Pharmacother. 2019, 120, 109493. [Google Scholar] [CrossRef]
- Joshy, K.S.; Augustine, R.; Mayeen, A.; Alex, S.M.; Hasan, A.; Thomas, S.; Chi, H. NiFe2O4/Poly(Ethylene Glycol)/Lipid–Polymer Hybrid Nanoparticles for Anti-Cancer Drug Delivery. New J. Chem. 2020, 44, 18162–18172. [Google Scholar] [CrossRef]
Disclaimer/Publisher’s Note: The statements, opinions and data contained in all publications are solely those of the individual author(s) and contributor(s) and not of MDPI and/or the editor(s). MDPI and/or the editor(s) disclaim responsibility for any injury to people or property resulting from any ideas, methods, instructions or products referred to in the content. |
© 2023 by the authors. Licensee MDPI, Basel, Switzerland. This article is an open access article distributed under the terms and conditions of the Creative Commons Attribution (CC BY) license (https://creativecommons.org/licenses/by/4.0/).































