Injectable Enzymatically Hardened Calcium Phosphate Biocement
Abstract
1. Introduction
2. Materials and Methods
2.1. Preparation of Cement Mixtures and Cement Pastes
2.2. Characterization Methods
2.2.1. Injectability, pH Measurement and Release of Ions from Cements during Soaking
2.2.2. Compressive Strength, Phase Analysis, Setting Time and Microstructure of CXI Cements
2.2.3. Cytotoxicity of Extracts, Viability Testing and ALP Activity of Osteoblasts, Live/Dead Staining
2.2.4. Gene Expression
3. Results
3.1. XRD and FTIR Analysis
3.2. Microstructure and Particle Morphology in CXI Cements
3.3. Analysis of Ion Release, pH Measurement, Compressive Strength, Setting Time and Injectability
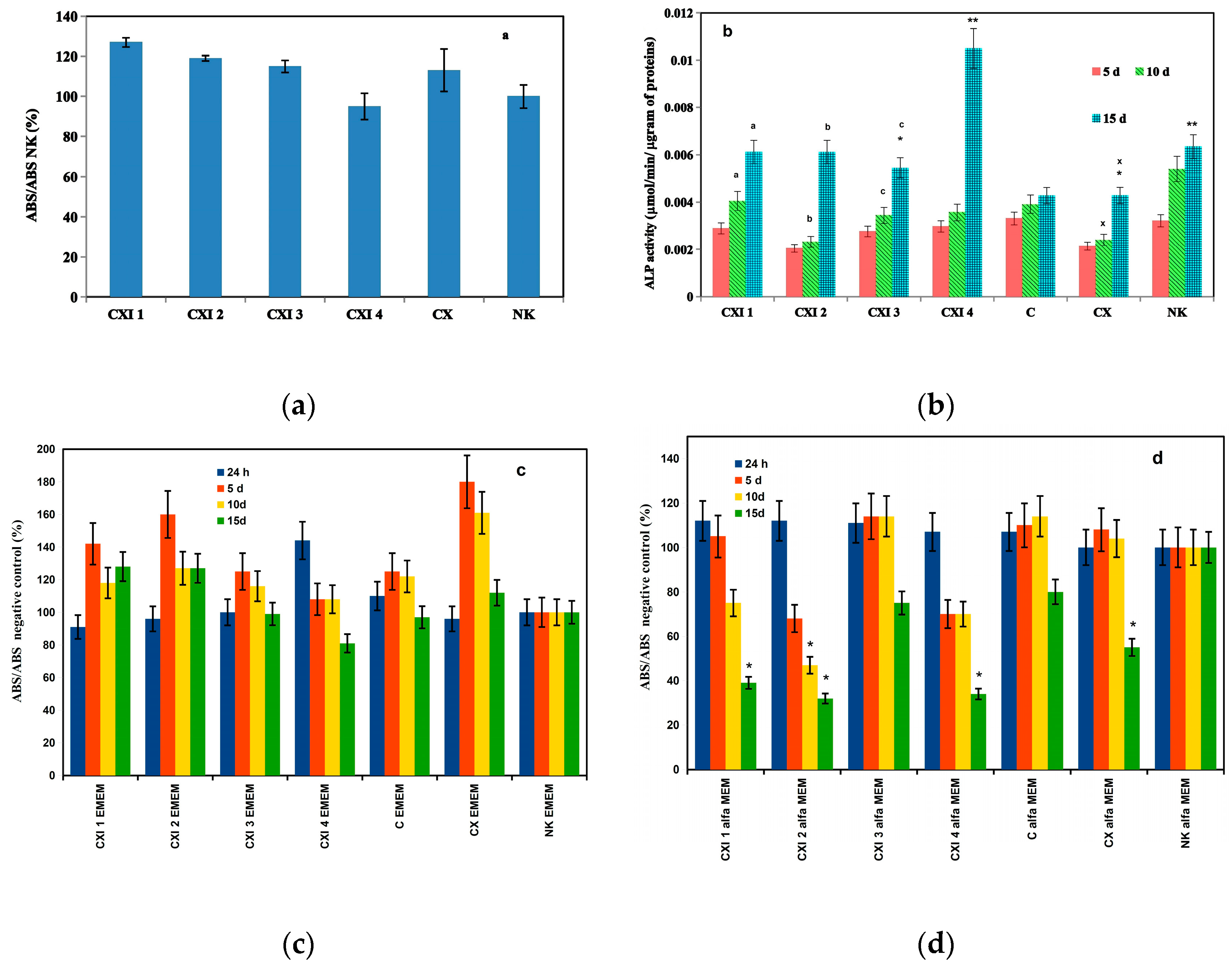
3.4. Evaluation of In Vitro Cytotoxicity of Extracts, Live/Dead Staining and Production of Ca Deposits by Osteoblasts in Extracts, Gene Expression of Markers
4. Discussion
5. Conclusions
Author Contributions
Funding
Acknowledgments
Conflicts of Interest
References
- Kolk, A.; Handschel, J.; Drescher, W.; Rothamel, D.; Kloss, K.; Blessmann, M.; Heiland, M.; Wolff, K.D.; Smeets, R. Current trends and future perspectives of bone substitute materials from space holders to innovative biomaterials. J. Cranio-Maxillofac. Surg. 2012, 40, 706–718. [Google Scholar] [CrossRef]
- Baino, F.; Vitale-Brovarone, C. Bioceramics in ophthalmology. Acta Biomater. 2014, 10, 3372–3397. [Google Scholar] [CrossRef] [PubMed]
- Yao, J.; Ho, A.M. Bone Graft Substitutes in the Treatment of Distal Radius and Upper Limb Injuries. Operative Tech. Orthop. 2009, 19, 77–87. [Google Scholar] [CrossRef]
- Lewis, G. Viscoelastic properties of injectable bone cements for orthopaedic applications: State-of-the-art review. J. Biomed. Mater. Res. Part B Appl. Biomater. 2011, 98B, 171–191. [Google Scholar] [CrossRef] [PubMed]
- Mano, J.F.; Sousa, R.A.; Boesel, L.F.; Neves, N.M.; Reis, R.L. Bioinert, biodegradable and injectable polymeric matrix composites for hard tissue replacement: State of the art and recent developments. Comp. Sci. Technol. 2004, 64, 789–817. [Google Scholar] [CrossRef]
- Ambrosio, L.; Guarino, V.; Sanginario, V.; Torricelli, P.; Fini, M.; Ginebra, M.P.; Planell, J.A.; Giardino, R. Injectable Calcium-Phosphate-Based Composites for Skeletal Bone Treatments. Biomed. Mater. 2012, 7, 024113. [Google Scholar] [CrossRef]
- Zhang, J.; Liu, W.; Gauthier, O.; Sourice, S.; Pilet, P.; Rethore, G.; Khairoun, K.; Bouler, J.M.; Tancret, F.; Weiss, P. A Simple and Effective Approach to Prepare Injectable Macroporous Calcium Phosphate Cement for Bone Repair: Syringe-foaming Using a Viscous Hydrophilic Polymeric Solution. Acta Biomater. 2016, 31, 326–338. [Google Scholar] [CrossRef]
- Kasuya, A.; Sobajima, S.; Kinoshita, M. In vivo degradation and new bone formation of calcium phosphate cement–gelatin powder composite related to macroporosity after in situ gelatin degradation. J. Orthop. Res. 2012, 30, 1103–1111. [Google Scholar] [CrossRef]
- Thein-Han, W.; Liu, J.; Xu, H.K. Calcium phosphate cement with biofunctional agents and stem cell seeding for dental and craniofacial bone repair. Dent. Mater. 2012, 28, 1059–1070. [Google Scholar] [CrossRef] [PubMed]
- Fernandez-Yague, M.A.; Abbah, S.A.; McNamara, L.; Zeugolis, D.I.; Pandit, A.; Biggs, M.J. Biomimetic approaches in bone tissue engineering: Integrating biological and physicomechanical strategies. Adv. Drug Deliv. Rev. 2015, 84, 1–29. [Google Scholar] [CrossRef] [PubMed]
- Fellah, B.H.; Weiss, P.; Gauthier, O.; Rouillon, T.; Pilet, P.; Daculsi, G.; Layrolle, P. Bone repair using a new injectable self-crosslinkable bone substitute. J. Orthop. Res. 2006, 24, 628–635. [Google Scholar] [CrossRef] [PubMed]
- Kovach, I.; Kosmella, S.; Prietzel, C.; Bagdahn, C.; Koetz, J. Nano-porous calcium phosphate balls. Colloids Surf. B Biointerfaces 2015, 132, 246–252. [Google Scholar] [CrossRef] [PubMed]
- Kruppke, B.; Farack, J.; Wagner, A.S.; Beckmann, S.; Heinemann, C.; Glenske, K.; Rößler, S.; Wiesmann, H.P.; Wenisch, S.; Hanke, T. Gelatine Modified Monetite as a Bone Substitute Material: An in Vitro Assessment of Bone Biocompatibility. Acta Biomater. 2016, 32, 275–285. [Google Scholar] [CrossRef] [PubMed]
- Huang, Z.; Feng, Q.; Yub, B.; Li, S. Biomimetic properties of an injectable chitosan/nano-hydroxyapatite/collagen composite. Mater. Sci. Eng. C 2011, 31, 683–687. [Google Scholar] [CrossRef]
- Becherán-Marón, L.; Peniche, C.; Argüelles-Monal, W. Study of the interpolyelectrolyte reaction between chitosan and alginate: Influence of alginate composition and chitosan molecular weight. Int. J. Biol. Macrom. 2004, 34, 127–133. [Google Scholar] [CrossRef]
- Volodko, A.V.; Davydova, V.N.; Glazunov, V.P.; Likhatskaya, G.M.; Yermak, I.M. Influence of structural features of carrageenan on the formation of polyelectrolyte complexes with chitosanInternational. J. Biol. Macromol. 2016, 84, 434–441. [Google Scholar] [CrossRef]
- Sreeram, K.J.; Shrivastava, H.Y.; Nair, B.U. Studies on the nature of interaction of iron(III) with alginates. Biochim. Biophys. Acta 2004, 1670, 121–125. [Google Scholar] [CrossRef]
- Sakamoto, A.; Qi, P.; Ohba, S.; Ohta, S.; Hara, Y.; Ogawa, T.; Tomokiyo, M.; Sasaki, A.; Takizawa, H.; Mochizuki, M.; et al. Bone regeneration by calcium phosphate-loaded carboxymethyl cellulose nonwoven sheets in canine femoral condyle defects. J. Biomed. Mater. Res. Part B 2019, 107B, 1516–1521. [Google Scholar] [CrossRef]
- Grosfeld, E.C.; Hoekstra, J.W.M.; Herber, R.P.; Ulrich, D.J.O.; Jansen, J.A.; van den Beucken, J.J.P. Long-term biological performance of injectable and degradable calcium phosphate cement. Biomed. Mater. 2017, 12, 015009. [Google Scholar] [CrossRef]
- Kobayashi, H.; Fujishiro, T.; Belkoff, S.M.; Kobayashi, N.; Turner, A.S.; Seim, H.B.; Zitelli, J.; Hawkins, M.; Bauer, T.W. Long-term evaluation of a calcium phosphate bone cement with carboxymethyl cellulose in a vertebral defect model. J. Biomed. Mater. Res. 2009, 88A, 880–888. [Google Scholar] [CrossRef]
- Chen, W.C.; Ju, C.P.; Wang, J.C.; Hung, C.C.; Lin, J.H.C. Brittle and ductile adjustable cement derived from calcium phosphate cement/polyacrylic acid composites. Dent. Mater. 2008, 24, 1616–1622. [Google Scholar] [CrossRef] [PubMed]
- Graf, E.; Eaton, J.W. Antioxidant functions of phytic acid. Free Radic. Biol. Med. 1990, 8, 61–69. [Google Scholar] [CrossRef]
- Fuster, J.M.B.; Cortes, S.P.; Bestard, J.P.; Freixedas, F. Plant phosphates, phytate and pathological calcifications in chronic kidney disease. Nefrologia 2017, 37, 20–28. [Google Scholar]
- Szkudelski, T. Phytic acid-its influence on organism. J. Anim. Feed. Sci. 1997, 6, 427–438. [Google Scholar] [CrossRef]
- Shibutani, T.; Heersche, J.N.M. Effect of medium pH on osteoclast activity and osteoclast formation in cultures of dispersed rabbit osteoclasts. J. Bone Miner. Res. 1993, 8, 331–336. [Google Scholar] [CrossRef] [PubMed]
- Koutsoukos, P.G.; Amjad, Z.; Nancollas, G.H. The influence of phytate and phosphonate on the crystal growth of fluorapatite and hydroxyapatite. J. Colloid. Int. Sci. 1981, 82, 599–605. [Google Scholar] [CrossRef]
- Christel, T.; Christ, S.; Barralet, J.E.; Groll, J.; Gbureck, U. Chelate Bonding Mechanism in a Novel Magnesium Phosphate Bone Cement. J. Am. Ceram. Soc. 2015, 98, 694–697. [Google Scholar] [CrossRef]
- Medvecky, L.; Stulajterova, R.; Giretova, M.; Sopcak, T.; Molcanova, Z.; Koval, K. Enzymatically hardened calcium phosphate biocement with phyticacid addition. J. Mater. Sci. Mater. Med. 2020, 31, 54. [Google Scholar] [CrossRef]
- Wyss, M.; Pasamontes, L.; Friedlein, A.; Remy, R.; Tessier, M.; Kronenberger, A.; Middendorf, A.; Lehmann, M.; Schnoebelen, L.; Rothlisberger, U.; et al. Biophysical Characterization of Fungal Phytases (myo-Inositol Hexakisphosphate Phosphohydrolases): Molecular Size, Glycosylation Pattern, and Engineering of Proteolytic Resistance. Appl. Environ. Microbiol. 1999, 65, 359–366. [Google Scholar] [CrossRef]
- March, J.G.; Grases, F.; Salvador, A. Hydrolysis of Phytic Acid by Microwave Treatment: Application to Phytic Acid Analysis in Pharmaceutical Preparations. Microchem. J. 1998, 59, 413–416. [Google Scholar] [CrossRef]
- ISO. ISO Standard 1566 Dental Zinc Phosphate Cement; International Organization for Standardization: Geneva, Switzerland, 1978. [Google Scholar]
- ISO. ISO 10993-12 Biological Evaluation of Medical Devices—Part 12: Sample Preparation and Reference Materials; International Organization for Standardization: Geneva, Switzerland, 2012. [Google Scholar]
- ISO. ISO 10993-5 Biological Evaluation of Medical Devices—Part 5: Tests for In Vitro Cytotoxicity; International Organization for Standardization: Geneva, Switzerland, 2009. [Google Scholar]
- Zor, T.; Selinger, Z. Linearization of the Bradford Protein Assay Increases Its Sensitivity: Theoretical and Experimental Studies. Anal. Biochem. 1996, 236, 302–308. [Google Scholar] [CrossRef] [PubMed]
- Stephens, A.S.; Stephens, S.R.; Morrison, N.A. Internal control genes for quantitative RT-PCR expression analysis in mouse osteoblasts, osteoclasts and macrophages. BMC Res. Notes 2011, 4, 410. [Google Scholar] [CrossRef] [PubMed]
- Sista, S.; Wen, C.; Hodgson, P.D.; Pande, G. Expression of cell adhesion and differentiation related genes in MC3T3 osteoblastsplated on titanium alloys: Role of surface properties. Mater. Sci. Eng. C 2013, 33, 1573–1582. [Google Scholar] [CrossRef] [PubMed]
- Bohner, M. Calcium orthophosphates in medicine: From ceramics to calcium phosphate cements. Injury 2000, 31, 37–47. [Google Scholar] [CrossRef]
- Krajewski, A.; Mazzocchi, M.; Buldini, P.L.; Ravaglioli, A.; Tinti, A.; Taddei, P.; Fagnano, C. Synthesis of carbonated hydroxyapatites: Efficiency of the substitution and critical evaluation of analytical methods. J. Mol. Struct. 2005, 744–747, 221–228. [Google Scholar] [CrossRef]
- Apfelbaum, F.; Diab, H.; Mayer, L.; Featherstone, J.D.B. An FTIR study of carbonate in synthetic apatites. J. Inorg. Biochem. 1992, 45, 277–282. [Google Scholar] [CrossRef]
- Wilson, R.M.; Elliott, J.C.; Dowker, S.E.P.; Rodriguez-Lorenzo, L.M. Rietveld refinements and spectroscopic studies of the structure of Ca-deficient apatite. Biomaterials 2005, 26, 1317–1327. [Google Scholar] [CrossRef] [PubMed]
- Rey, C.; Collins, B.; Goehl, T.; Dickson, R.I.; Glimcher, M.J. The carbonate environment in bone mineral. A resolution enhanced Fourier transform infrared spectroscopy study. Calcif. Tissue. Int. 1989, 45, 157–164. [Google Scholar] [CrossRef]
- Moseke, C.; Gbureck, U. Tetracalcium phosphate: Synthesis, properties and biomedical applications. Acta Biomater. 2010, 6, 3815–3823. [Google Scholar] [CrossRef]
- He, Z.; Honeycutt, C.W.; Zhang, T.; Bertsch, P.M. Preparation and FT–IR Characterization of Metal Phytate Compounds. J. Environ. Qual. 2006, 35, 1319–1328. [Google Scholar] [CrossRef]
- Saïed, N.; Aïder, M. Zeta Potential and Turbidimetry Analyzes for the Evaluation of Chitosan/Phytic Acid Complex Formation. J. Food Res. 2014, 3, 71–81. [Google Scholar] [CrossRef]
- Nam, S.Y.; Lee, Y.M. Pervaporation and properties of chitosan-poly(acrylic acid) complex membranes. J. Membr. Sci. 1997, 135, 161–171. [Google Scholar] [CrossRef]
- Salama, A.; Abou-Zeid, R.E.; El-Sakhawy, M. Calcium phosphate mineralization controlled by carboxymethyl cellulose-g-polymethacrylic acid. Soft Mater. 2016, 14, 154–161. [Google Scholar] [CrossRef]
- Salama, A. Cellulose/calcium phosphate hybrids: New materials for biomedical and environmental applications. Int. J. Biol. Macromol. 2019, 127, 606–617. [Google Scholar] [CrossRef] [PubMed]
- Ogiwara, T.; Katsumura, A.; Sugimura, K.; Teramoto, Y.; Nishio, Y. Calcium Phosphate Mineralization in Cellulose Derivative/Poly(acrylic acid) Composites Having a Chiral Nematic Mesomorphic Structure. Biomacromolecules 2015, 16, 3956–3963. [Google Scholar] [CrossRef]
- Kamitakahara, M.; Kawashita, M.; Kokubo, T.; Nakamura, T. Effect of polyacrylic acid on the apatite formation of a bioactive ceramic in a simulated body fluid: Fundamental examination of the possibility of obtaining bioactive glass-ionomer cements for orthopaedic use. Biomaterials 2001, 22, 3191–3196. [Google Scholar] [CrossRef]
- Cherng, A.; Takagi, S.; Chow, L.C. Effects of hydroxypropyl methylcellulose and other gelling agents on the handling properties of calcium phosphate cement. J. Biomed. Mater. Res. 1997, 35, 273–277. [Google Scholar] [CrossRef]
- Bhowmik, R.; Katti, K.S.; Katti, D. Molecular dynamics simulation of hydroxyapatite polyacrylic acid interfaces. Polymer 2007, 48, 664–674. [Google Scholar] [CrossRef]
- Yan, D.; Lou, Y.; Han, Y.; Wickramaratne, M.N.; Dai, H.; Wang, X. Controllable synthesis of poly(acrylic acid)-stabilized nanohydroxyapatite suspension by an ultrasound-assisted precipitation method. Mater. Lett. 2018, 227, 9–12. [Google Scholar] [CrossRef]
- Kumar, A.P.; Mohaideen, K.K.; Alariqi, S.A.S.; Singh, R.P. Preparation and characterization of bioceramic nanocomposites based on hydroxyapatite (HA) and carboxymethyl cellulose (CMC). Macromol. Res. 2010, 18, 1160–1167. [Google Scholar] [CrossRef]
- Garai, S.; Sinha, A. Biomimetic nanocomposites of carboxymethyl cellulose-hydroxyapatite: Novel three dimensional load bearing bone grafts. Colloids Surf. B Biointerfaces 2014, 115, 182–190. [Google Scholar] [CrossRef] [PubMed]
- Guo, Y.; Ma, B.; Zhi, Z.; Tan, H.; Liu, M.; Jian, S.; Guo, Y. Effect of polyacrylic acid emulsion on fluidity of cement paste. Colloids Surf. A 2017, 535, 139–148. [Google Scholar] [CrossRef]
- Majekodunmi, A.O.; Deb, S.; Nicolson, J.W. Effect of molecular weight and concentration of poly(acrylic acid) on the formation of a polymeric calcium phosphate cement. J. Mater. Sci. Mater. Med. 2003, 14, 747–752. [Google Scholar] [CrossRef] [PubMed]
- Majekodunmi, A.O.; Deb, C.S. Poly(acrylic acid) modified calcium phosphate cements: The effect of the composition of the cement powder and of the molecular weight and concentration of the polymeric acid. J. Mater. Sci. Mater. Med. 2007, 18, 1883–1888. [Google Scholar] [CrossRef]
- Jacquart, S.; Poquillon, D.; Dechambre, G.; Cazalbou, S.; Rey, C.; Combes, C. Mechanical properties of self-setting composites: Influence of the carboxymethylcellulose content and hydration state. J. Mater. Sci. 2016, 51, 4296–4305. [Google Scholar] [CrossRef]
- Kucko, N.W.; Li, W.; García Martinez, M.A.; Rehman, I.; Ulset, A.S.T.; Christensen, B.E.; Leeuwenburgh, S.C.G.; Herber, R.P. Sterilization effects on the handling and degradation properties of calcium phosphate cements containing poly (D,L-lactic-co-glycolic acid) porogens and carboxymethyl cellulose. J. Biomed. Mater. Res. B Part B Appl. Biomater. 2016, 107B, 2216–2228. [Google Scholar] [CrossRef]
- Alves, H.L.; dos Santos, L.A.; Bergmann, C.P. Injectability evaluation of tricalcium phosphate bone cement. J. Mater. Sci. Mater. Med. 2008, 19, 2241–2246. [Google Scholar] [CrossRef]
- Dos Santos, L.A.; De Oliveira, L.C.; Rigo, E.C.S.; Carrodeguas, R.G.; Boschi, A.O.; De Arruda, A.C.F. Influence of Polymeric Additives on the Mechanical Properties of a-Tricalcium Phosphate Cement. Bone 1999, 25, 99S–102S. [Google Scholar] [CrossRef]
- Hurle, K.; Weichhold, J.; Brueckner, M.; Gbureck, U.; Brueckner, T.; Goetz-Neunhoeffer, F. Hydration mechanism of a calcium phosphate cement modified with phytic acid. Acta Biomater. 2018, 80, 378–389. [Google Scholar] [CrossRef]
- Horiguchi, Y.; Yoshikawa, A.; Oribe, K.; Aizawa, M. Fabrication of chelate-setting hydroxyapatite cements from four kinds of commercially-available powder with various shape and crystallinity and their mechanical property. J. Ceram. Soc. Jap. 2008, 116, 50–55. [Google Scholar] [CrossRef][Green Version]
- Baylink, D.J.; Finkelman, R.D.; Mohan, S. Growth factors to stimulate bone formation. J. Bone Miner. Res. 1993, 8, S565–S572. [Google Scholar] [CrossRef] [PubMed]
- McCarthy, T.L.; Centrella, M.; Canalis, E. Regulatory effects of insulinlike growth factors I and II on bone collagen synthesis in rat calvarial cultures. Endocrinology 1989, 124, 301–309. [Google Scholar] [CrossRef] [PubMed]
- Zhao, W.; Wang, Z.; Xu, A.; Sahai, N. Osteocalcin facilitates calcium phosphate ion complex growth as revealed by free energy calculation. Phys. Chem. Chem. Phys. 2018, 20, 13047–13056. [Google Scholar] [CrossRef] [PubMed]
- Flade, K.; Lau, C.; Mertig, M.; Pompe, W. Osteocalcin-Controlled Dissolution−Reprecipitation of Calcium Phosphate under Biomimetic Conditions. Chem. Mater. 2001, 13, 3596–3602. [Google Scholar] [CrossRef]
- Gericke, A.; Qin, C.; Spevak, L.; Fujimoto, Y.; Butler, W.T.; Sřrensen, E.S.; Boskey, A.L. Importance of Phosphorylation for Osteopontin Regulation of Biomineralization. Calcif. Tissue Int. 2005, 77, 45–54. [Google Scholar] [CrossRef] [PubMed]
- Kartsogiannis, V.; Ng, K.W. Cell lines and primary cell cultures in the study of bone cell biology. Mol. Cell. Endocrinol. 2004, 228, 79–102. [Google Scholar] [CrossRef] [PubMed]
- Qia, P.; Ohba, S.; Hara, Y.; Fuke, M.; Ogawa, T.; Ohta, S.; Ito, T. Fabrication of calcium phosphate-loaded carboxymethyl cellulose nonwoven sheets for bone regeneration. Carbohydr. Polym. 2018, 189, 322–330. [Google Scholar] [CrossRef] [PubMed]
- Teti, G.; Salvatore, V.; Focaroli, S.; Durante, S.; Mazzotti, A.; Dicarlo, M.; Mattioli-Belmonte, M.; Orsini, G. In vitro osteogenic and odontogenic differentiation of human dental pulp stem cells seeded on carboxymethyl cellulose-hydroxyapatite hybrid hydrogel. Front. Physiol. 2015, 6, 297. [Google Scholar] [CrossRef]
- Chien, H.W.; Tan, S.F.; Wei, K.L.; Tsai, W.B. Modulation of the functions of osteoblast-like cells on poly(allylamine hydrochloride) and poly(acrylic acid) multilayer films. Colloids Surf. B Biointerfaces 2011, 88, 297–303. [Google Scholar] [CrossRef] [PubMed]
- Addison, W.N.; McKee, M.D. Inositol hexakisphosphate inhibits mineralization of MC3T3-E1 osteoblast cultures. Bone 2010, 46, 1100–1107. [Google Scholar] [CrossRef] [PubMed]
- Khashaba, R.M.; Moussa, M.M.; Mettenburg, D.J.; Rueggeberg, F.A.; Chutkan, N.B.; Borke, J.L. Polymeric-Calcium Phosphate Cement Composites-MaterialProperties: In Vitro and In Vivo Investigations. Int. J. Biomater. 2010, 691452. [Google Scholar] [CrossRef]
- Li, X.; He, F.; Ye, I. Preparation, characterization and in vitro cell performance of anti wash-out calcium phosphateement modified by sodium polyacrylate. RSC Adv. 2017, 7, 32842. [Google Scholar] [CrossRef]










| Sample | P/L Ratio | PAA Content/wt% |
|---|---|---|
| CXI1 | 1.7 | 0.5 |
| CXI2 | 2 | 0.5 |
| CXI3 | 1.7 | 1 |
| CXI4 | 2 | 1 |
| CX | 2 | free of PAA, CMC |
| C * | 2 | free of PAA, CMC, PHYT |
| Gene | Primers (5′–3′) | Length (bp) | Reference |
|---|---|---|---|
| B-actin mouse | F: CTCTGGCTCCTAGCACCATGAAGA R:GTAAAACGCAGCTCAGTAACAGTCCG | 200 | [35] |
| Osteocalcin mouse | F: AGCAGGAGGGCAATAAGGTAGT R: TCGTCACAAGCAGGGTTAAGC | 118 | [36] |
| Osteopontin mouse | F: TGATTCTGGCAGCTCAGAGGA R: CATTCTGTGGCGCAAGGAGATT | 110 | [36] |
© 2020 by the authors. Licensee MDPI, Basel, Switzerland. This article is an open access article distributed under the terms and conditions of the Creative Commons Attribution (CC BY) license (http://creativecommons.org/licenses/by/4.0/).
Share and Cite
Medvecky, L.; Štulajterová, R.; Giretova, M.; Luptakova, L.; Sopčák, T. Injectable Enzymatically Hardened Calcium Phosphate Biocement. J. Funct. Biomater. 2020, 11, 74. https://doi.org/10.3390/jfb11040074
Medvecky L, Štulajterová R, Giretova M, Luptakova L, Sopčák T. Injectable Enzymatically Hardened Calcium Phosphate Biocement. Journal of Functional Biomaterials. 2020; 11(4):74. https://doi.org/10.3390/jfb11040074
Chicago/Turabian StyleMedvecky, Lubomir, Radoslava Štulajterová, Maria Giretova, Lenka Luptakova, and Tibor Sopčák. 2020. "Injectable Enzymatically Hardened Calcium Phosphate Biocement" Journal of Functional Biomaterials 11, no. 4: 74. https://doi.org/10.3390/jfb11040074
APA StyleMedvecky, L., Štulajterová, R., Giretova, M., Luptakova, L., & Sopčák, T. (2020). Injectable Enzymatically Hardened Calcium Phosphate Biocement. Journal of Functional Biomaterials, 11(4), 74. https://doi.org/10.3390/jfb11040074

