The Role of Intelligence and Self-Concept for Teachers’ Competence
Abstract
:1. Introduction
2. Conceptual Framework
2.1. The Cattell–Horn–Carroll Theory of Cognitive Abilities
2.2. Relation of the Competence Model to the CHC Model
2.3. Teachers’ Competencies
2.4. The Structure of EC Teachers’ Competencies
2.5. Study Aims and Hypotheses
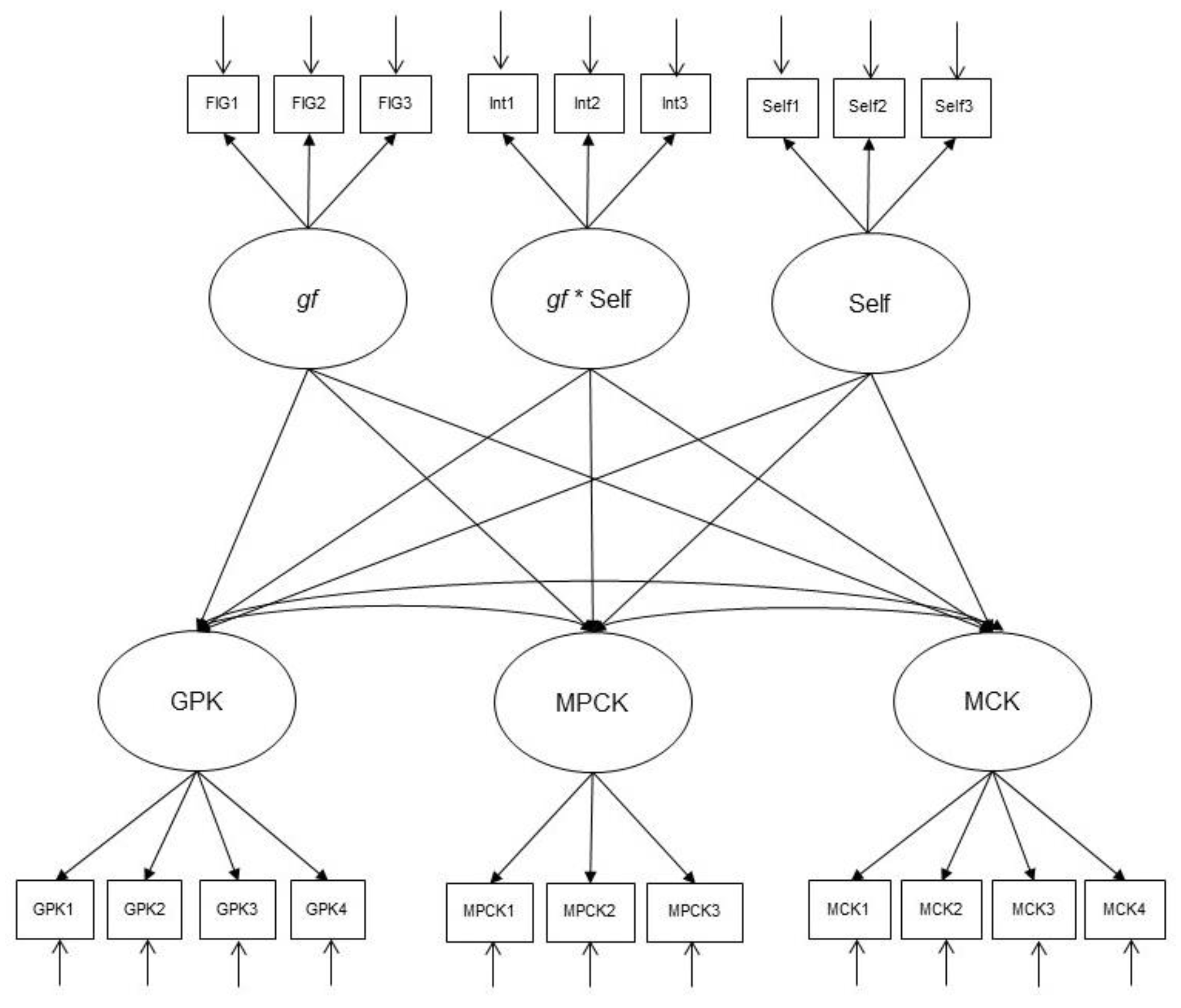
3. Materials and Methods
3.1. Sample
3.2. Measures of EC Teachers’ Competencies
3.3. Data Analysis
4. Results
4.1. Role of EC Teachers’ gf for Their Domain-Specific Knowledge
4.1.1. H1 and H2: Latent Correlations of MCK, MPCK, and GPK, as Well as gf
4.1.2. H3: One-Dimensional Structure of EC Teachers’ Cognitive Abilities
4.1.3. H4: Hierarchical Structure of EC Teachers’ Cognitive Abilities: Bifactor (S-1) Model
4.2. Role of Academic Self-Concept
5. Discussion
6. Limitations
7. Conclusions
Author Contributions
Funding
Institutional Review Board Statement
Informed Consent Statement
Data Availability Statement
Conflicts of Interest
Appendix A



| 1 | Since MPCK and GPK represent conceptually different constructs, it is not appropriate to collapse these, despite very strong latent correlations. Moreover, a follow-up analysis revealed that collapsing is not supported from an empirical point of view because the fit of a uni-dimensional model was worse than a model with two distinct constructs. |
References
- Ackerman, Phillip L. 1996. A theory of adult intellectual development: Process, personality, interests, and knowledge. Intelligence 22: 227–57. [Google Scholar] [CrossRef]
- Aiken, Leona S., and Stephen G. West. 1991. Multiple Regression: Testing and Interpreting Interactions. Thousand Oaks: Sage Publications, Inc. [Google Scholar]
- American Educational Research Association, American Psychological Association, and National Council on Measurement in Education. 2014. Standards for Educational and Psychological Testing. Washington, DC: American Psychological Association. [Google Scholar]
- Amthauer, Rudolf, Burkhard Brocke, Detlev Liepmann, and André Beauducel. 2001. Intelligenz-Struktur-Test 2000R (I-S-T 2000R). Göttingen: Hogrefe. [Google Scholar]
- Beauducel, André, Burkhard Brocke, and Detlev Liepmann. 2001. Perspectives on fluid and crystallized intelligence: Facets for verbal, numerical, and figural intelligence. Personality and Individual Differences 30: 977–94. [Google Scholar] [CrossRef]
- Beauducel, André, Detlev Liepmann, Jörg Felfe, and Wim Nettelnstroth. 2007. The Impact of Different Measurement Models for Fluid and Crystallized Intelligence on the Correlation with Personality Traits. European Journal of Psychological Assessment 23: 71–78. [Google Scholar] [CrossRef]
- Blömeke, Sigrid, and Lars Jenßen. 2016. A question of validity: Clarifying the hierarchical nature of teacher cognition. In Cognitive Abilities and Educational Achievement: Measurement and Determinants: A Festschrift in Honor of Jan-Eric Gustafsson. Edited by M. Rosén, Kajsa Yang Hansen and Ulrika Wolff. Methodology of Educational Measurement and Assessment. Berlin: Springer. [Google Scholar]
- Blömeke, Sigrid, Armin Jentsch, Natalie Ross, Gabriele Kaiser, and Johannes König. 2022. Opening up the black box: Teacher competence, instructional quality, and students’ learning progress. Learning and Instruction 79: 101600. [Google Scholar] [CrossRef]
- Blömeke, Sigrid, Jan-Eric Gustafsson, and Richard J. Shavelson. 2015. Beyond dichotomies: Competence viewed as a continuum. Zeitschrift für Psychologie/Journal of Psychology 223: 3–13. [Google Scholar] [CrossRef]
- Blömeke, Sigrid, Lars Jenßen, Marianne Grassmann, Simone Dunekacke, and Hartmut Wedekind. 2017. Process mediates structure: The relation between preschool teacher’s education and preschool teachers’ knowledge. Journal of Educational Psychology 109: 338–54. [Google Scholar] [CrossRef]
- Bong, Mimi, and Einar M. Skaalvik. 2003. Academic Self-Concept and Self-Efficacy: How Different Are They Really? Educational Psychology Review 15: 1–40. [Google Scholar] [CrossRef]
- Brunner, Martin. 2008. No g in education? Learning and Individual Differences 18: 152–65. [Google Scholar] [CrossRef]
- Bruns, Julia, Hedwig Gasteiger, and Carolin Strahl. 2021. Conceptualising and measuring domain-specific content knowledge of early childhood educators: A systematic review. Review of Education 9: 500–38. [Google Scholar] [CrossRef]
- Cadinu, Mara, Anne Maass, Alessandra Rosabianca, and Jeff Kiesner. 2005. Why do women underperform under stereotype threat? Psychological Science 16: 572–78. [Google Scholar] [CrossRef] [PubMed]
- Carroll, John B. 1993. Human Cognitive Abilities: A Survey of Factor-Analytic Studies. Cambridge: Cambridge University Press. [Google Scholar]
- Cattell, Raymond B. 1963. Theory of fluid and crystallized intelligence: A critical experiment. Journal of Educational Psychology 54: 1–22. [Google Scholar] [CrossRef]
- Clements, Douglas H., Julie Sarama, and Ann-Marie DiBiase, eds. 2004. Engaging Young Children in Mathematics: Standards for Early Childhood Mathematics. Mahwah: Lawrence Erlbaum. [Google Scholar]
- Demetriou, Andreas, Smaragda Kazi, George Spanoudis, and Nikolaos Makris. 2019. Predicting school performance from cognitive ability, self-representation, and personality from primary school to senior high school. Intelligence 76: 101381. [Google Scholar] [CrossRef]
- Dunekacke, Simone, Lars Jenßen, and Sigrid Blömeke. 2015a. Effects of mathematics content knowledge on pre-school teachers’ performance: A video-based assessment of perception and planning abilities in informal learning situations. International Journal of Science and Mathematics Education 13: 267–86. [Google Scholar] [CrossRef]
- Dunekacke, Simone, Lars Jenßen, and Sigrid Blömeke. 2015b. Mathematikdidaktische Kompetenz von Erzieherinnen und Erziehern. Validierung des KomMa-Leistungsungstests durch die videogestützte Erhebung von Performanz. Zeitschrift für Pädagogik 61: 80–99. [Google Scholar] [CrossRef]
- Dunekacke, Simone, Lars Jenßen, and Sigrid Blömeke. 2021. The role of opportunities to learn in early childhood teacher education from two perspectives: A multilevel model. Zeitschrift fuer Erziehungswissenschaft 24: 1429–52. [Google Scholar] [CrossRef]
- Eid, Michael, Christian Geiser, Tobias Koch, and Moritz Heene. 2017. Anomalous results in G-factor models: Explanations and alternatives. Psychological Methods 22: 541–62. [Google Scholar] [CrossRef]
- Eid, Michael, Stefan Krumm, Tobias Koch, and J. Schulze. 2018. Bifactor models for predicting criteria by general and specific factors: Problems of nonidentifiability and alternative solutions. Journal of Intelligence 6: 42. [Google Scholar] [CrossRef] [Green Version]
- Enders, Craig K., and Deborah L. Bandalos. 2001. The relative performance of full information maximum likelihood estimation for missing data in structural equation models. Structural Equation Modeling 8: 430–57. [Google Scholar] [CrossRef]
- European Commission, EACEA, and Eurydice. 2019. Key Data on Early Childhood Education and Care in Europe. Luxembourg: Publications Office of the European Union. [Google Scholar]
- Flanagan, Dawn P., and Patti L. Harrison, eds. 2012. Contemporary Intellectual Assessment: Theories, Tests, and Issues, 3rd ed. New York: Guilford Press. [Google Scholar]
- Flanagan, Dawn P., and Shauna G. Dixon. 2014. The Cattell-Horn-Carroll theory of cognitive abilities. In Encyclopedia of Special Education. Edited by Cecil R. Reynolds, Kimberly J. Vannest and Elaine Fletcher-Janzen. New York: Wiley Online Library. [Google Scholar]
- Gasteiger, Hedwig, Esther Brunner, and Ching-Shu Chen. 2020. Basic conditions of early mathematics education—A comparison between Germany, Taiwan and Switzerland. International Journal of Science and Mathematics Education 19: 111–27. [Google Scholar] [CrossRef]
- Gignac, Gilles E. 2008. Higher-order models versus direct hierarchical models: G as superordinate or breadth factor? Psychology Science Quarterly 50: 21–43. [Google Scholar]
- Gose, Aileen, Sharon Wooden, and Douglas Muller. 1980. The relative potential of self-concept and intelligence as predictors of achievement. The Journal of Psychology 104: 279–87. [Google Scholar] [CrossRef]
- Guo, Jiesi, Benjamin Nagengast, Herbert W. Marsh, Augustin Kelava, Hanna Gaspard, Holger Brandt, Jenna Cambria, Barbara Flunger, Anna-Lena Dicke, Isabelle Häfner, and et al. 2016. Probing the unique contributions of self-concept, task values, and their interactions using multiple value facets and multiple academic outcomes. AERA Open 2: 12332858415626884. [Google Scholar] [CrossRef]
- Gustafsson, Jan-Eric. 1994. Hierarchical models of intelligence and educational achievement. In Intelligence, Mind, and Reasoning: Structure and Development. Edited by Andreas Demetriou and A. Efklides. Amsterdam: Elsevier. [Google Scholar]
- Gustafsson, Jan-Eric, and Gudrun Balke. 1993. General and specific abilities as predictors of school achievement. Multivariate Behavioral Research 28: 407–34. [Google Scholar] [CrossRef]
- Gustafson, Jan-Eric, and Johan Olav Undheim. 1996. Individual differences in cognitive functions. In Handbook of Educational Psychology. Edited by David C. Berliner and Robert C. Calfee. New York: Macmillan, pp. 186–242. [Google Scholar]
- Holzinger, Karl J., and Frances Swineford. 1937. The bi-factor method. Psychometrika 2: 42–54. [Google Scholar] [CrossRef]
- Horn, John. L. 1968. Organization of abilities and the development of intelligence. Psychological Review 75: 242–59. [Google Scholar] [CrossRef]
- Jäger, Adolf O. 1982. Mehrmodale Klassifikation von Intelligenzleistungen: Experimentell kontrollierte Weiterentwicklung eines deskriptiven Intelligenzstrukturmodells. Diagnostica 28: 195–225. [Google Scholar]
- Jensen, Arthur R. 1998. The g factor. In The Science of Mental Ability. Westport: Praeger. [Google Scholar]
- Jenßen, Lars, Simone Dunekacke, and Sigrid Blömeke. 2015a. Qualitätssicherung in der Kompetenzforschung. Kompetenzen von Studierenden. Beiheft der Zeitschrift Für Pädagogik 61: 11–31. [Google Scholar]
- Jenßen, Lars, Simone Dunekacke, Jan-Eric Gustafsson, and Sigrid Blömeke. 2019. Intelligence and knowledge: The relationship between preschool teachers’ cognitive dispositions in the field of mathematics. Zeitschrift für Erziehungswissenschaft 22: 1313–32. [Google Scholar] [CrossRef]
- Jenßen, Lars, Simone Dunekacke, Michael Eid, and Sigrid Blömeke. 2015b. The relationship of mathematical competence and mathematics anxiety: An application of latent state-trait theory. Zeitschrift Für Psychologie 223: 31–38. [Google Scholar] [CrossRef]
- Kleickmann, Thilo, Dirk Richter, Mareike Kunter, Jürgen Elsner, Michael Besser, Stefan Krauss, and Jürgen Baumert. 2013. Teachers’ content knowledge and pedagogical content knowledge: The role of structural differences in teacher education. Journal of Teacher Education 64: 90–106. [Google Scholar] [CrossRef]
- Klein, Andreas G., and Helfried Moosbrugger. 2000. Maximum likelihood estimation of latent interaction effects with the LMS method. Psychometrika 65: 457–74. [Google Scholar] [CrossRef]
- Koeppen, Karoline, Johannes Hartig, Eckhard Klieme, and Detlev Leutner. 2008. Current issues in competence modeling and assessment. Zeitschrift für Psychologie/Journal of Psychology 216: 61–73. [Google Scholar] [CrossRef]
- Lavrijsen, Jeroen, Maarten Vansteenkiste, Michiel Boncquet, and Verschueren Karine. 2021. Does motivation predict changes in academic achievement beyond intelligence and personality? A multitheoretical perspective. Journal of Educational Psychology. [Google Scholar] [CrossRef]
- Lechner, Clemens M., Ai Miyamoto, and Thomas Knopf. 2019. Should students be smart, curious, or both? Fluid intelligence, openness, and interest co-shape the acquisition of reading and math competence. Intelligence 76: 101378. [Google Scholar] [CrossRef]
- Lee, Joohi. 2010. Exploring kindergarten teachers’ pedagogical content knowledge of mathematics. International Journal of Early Childhood 42: 27–41. [Google Scholar] [CrossRef]
- Liepmann, Detlev, Andre Beauducel, Burkhard Brocke, and Wim Nettelnstroth. 2012. Intelligenz-Struktur-Test Screening (IST-Screening). Göttingen: Hogrefe. [Google Scholar]
- Malva, Liina, Ali Leijen, and Aleksandar Baucal. 2019. Measuring pre-service teachers’ general pedagogical knowledge: What are the results telling? New Trends and Issues Proceedings on Humanities and Social Sciences 6: 135–44. [Google Scholar] [CrossRef]
- Marsh, Herbert W. 1990. The structure of academic self-concept: The Marsh/Shavelson model. Journal of Educational Psychology 82: 623–36. [Google Scholar] [CrossRef]
- Marsh, Herbert W., and Andrew J. Martin. 2011. Academic self-concept and academic achievement: Relations and causal ordering. British Journal of Educational Psychology 81: 59–77. [Google Scholar] [CrossRef]
- Marsh, Herbert W., Reinhard Pekrun, Stephanie Lichtenfeld, Jiesi Guo, A. Katrin Arens, and Kou Murayama. 2016. Breaking the doubleedged sword of effort/trying hard: Developmental equilibrium and longitudinal relations among effort, achievement, and academic self-concept. Developmental Psychology 52: 1273–90. [Google Scholar] [CrossRef] [PubMed]
- McClelland, David C. 1973. Testing for competence rather than for “intelligence”. American Psychologist 28: 1–14. [Google Scholar] [CrossRef] [Green Version]
- McDonald, Roderick P. 1999. Test Theory: A Unified Treatment. Mahwah: Erlbaum. [Google Scholar]
- McGrew, Kevin S. 2009. CHC theory and the human cognitive abilities project: Standing on the shoulders of the giants of psychometric intelligence research. Intelligence 37: 1–10. [Google Scholar] [CrossRef]
- Muthén, Linda K., and Bengt O. Muthén. 1998–2019. Mplus User’s Guide, 8th ed. Los Angeles: Muthén & Muthén. [Google Scholar]
- NAEYC. 2009. Developmentally Appropriate Practice Childhood Programs Serving Children from Birth through Age 8: A Position Statement National Association for the Education of Young Children. Available online: https://www.naeyc.file/positions/PSDAP.pdf (accessed on 23 March 2022).
- Nasiopoulou, Panagiota, Pia Williams, and Annika Lantz-Andersson. 2021. Preschool teachers’ work with curriculum content areas in relation to their professional competence and group size in preschool: A mixed-methods analysis. Scandinavian Journal of Educational Research 66: 533–48. [Google Scholar] [CrossRef]
- Ritchie, Stuart J., and Elliot M. Tucker-Drob. 2018. How much does education improve intelligence? A meta-analysis. Psychological Science 29: 1358–69. [Google Scholar] [CrossRef] [PubMed]
- Roloff, Janina, Uta Klusmann, Oliver Lüdtke, and Ulrich Trautwein. 2020. The Predictive Validity of Teachers’ Personality, Cognitive and Academic Abilities at the End of High School on Instructional Quality in Germany: A Longitudinal Study. AERA Open 6: 1–17. [Google Scholar] [CrossRef]
- Schicke, Michelle C., and Thomas K. Fagan. 1994. Contributions of self-concept and intelligence to the prediction of academic achievement among grade 4, 6, and 8 students. Canadian Journal of School Psychology 10: 62–69. [Google Scholar] [CrossRef]
- Schneider, W. Joel, and Kevin S. McGrew. 2012. The Cattell-Horn-Carroll Model of Intelligence. In Contemporary Intellectual Assessment: Theories, Tests, and Issues, 3rd ed. Edited by Dawn P. Flanagan and P. L. Harrison. New York: Guilford Press, pp. 99–144. [Google Scholar]
- Schneider, W. Joel, and Kevin S. McGrew. 2018. The Cattell-Horn-Carroll theory of cognitive abilities. In Contemporary Intellectual Assessment: Theories, Tests and Issues. Edited by Dawn P. Flanagan and Erin M. McDonough. New York: Guilford Press, vol. 4, pp. 73–130. [Google Scholar]
- Shulman, Lee. 1987. Knowledge and teaching: Foundations of the new reform. Harvard Educational Review 57: 1–22. [Google Scholar]
- Snow, Richard E. 1994. Abilities in academic tasks. In Mind in Context: Interactionist Perspectives on Human Intelligence. Edited by Robert J. Sternberg and Richard K. Wagner. New York: Cambridge University Press. [Google Scholar]
- Spencer, Lyle M., and Signe M. Spencer. 1993. Competence at Work: Model for Superior Performance. New York: John Wiley & Sons. [Google Scholar]
- Steinmayr, Ricarda, Anne F. Weidinger, Schwinger Malte, and Birgit Spinath. 2019. The importance of students’ motivation for their academic achievement: Replicating and extending previous findings. Frontiers in Psychology 10: 1730. [Google Scholar] [CrossRef] [Green Version]
- Strauss, Sidney. 2005. Teaching as a natural cognitive ability: Implications for classroom practice and teacher education. In Developmental Psychology and Social Change. Edited by David Pillemer and Sheldon White. New York: Cambridge University Press, pp. 368–88. [Google Scholar]
- Tirosh, Dina, Pessia Tsamir, Esther Levenson, and Michal Tabach. 2011. From preschool teachers’ professional development to children’s knowledge: Comparing sets. Journal of Mathematics Teacher Education 14: 113–31. [Google Scholar] [CrossRef]
- Torbeyns, Joke, Sandy Verbruggen, and Fien Depaepe. 2019. Pedagogical content knowledge in preservice preschool teachers and its association with opportunities to learn during teacher training. ZDM 52: 69–280. [Google Scholar] [CrossRef]
- Trapp, Stefanie, Sigrid Blömeke, and Matthias Ziegler. 2019. The openness-fluid-crystallized-intelligence (OFCI) model and the environmental enrichment hypothesis. Intelligence 73: 30–40. [Google Scholar] [CrossRef]
- von Stumm, Sophie, Tomas Chamorro-Premuzic, and Phillip L. Ackerman. 2011. Re-visiting intelligence-personality associations: Vindicating intellectual investment. In Handbook of Individual Differences. Edited by Tomas Chamorro-Premuzic, Sophie von Stumm and Adrian Furnham. Chichester: Wiley-Blackwell, pp. 217–41. [Google Scholar]
- Wilhelm, Oliver, and Reinhold Nickolaus. 2013. Was grenzt das Kompetenzkonzept von etablierten Kategorien wie Fähigkeit, Fertigkeit oder Intelligenz ab? Zeitschrift für Erziehungswissenschaft 16: 23–26. [Google Scholar] [CrossRef]
- Yung, Yiu-Fai, David Thissen, and Lori D. McLeod. 1999. On the relationship between the higher-order factor model and the hierarchical factor model. Psychometrika 64: 113–28. [Google Scholar] [CrossRef]
- Zhang, Jing, and Matthias Ziegler. 2015. Interaction Effects between Openness and Fluid Intelligence Predicting Scholastic Performance. Journal of Intelligence 3: 91–110. [Google Scholar] [CrossRef]
- Ziegler, Matthias, Erik Danay, Moritz Heene, Jens Asendorpf, and Markus Bühner. 2012. Openness, fluid intelligence, and crystallized intelligence: Toward an intergrative model. Journal of Research in Personality 46: 173–83. [Google Scholar] [CrossRef]




| MCK1 | MCK2 | MCK3 | MCK4 | MPCK1 | MPCK2 | MPCK3 | GPK1 | GPK2 | GPK3 | GPK4 | IST1 | IST2 | IST3 | |
|---|---|---|---|---|---|---|---|---|---|---|---|---|---|---|
| MCK2 | .80 | |||||||||||||
| MCK3 | .87 | .79 | ||||||||||||
| MCK4 | .87 | .78 | .85 | |||||||||||
| MPCK1 | .49 | .42 | .48 | .46 | ||||||||||
| MPCK2 | .48 | .42 | .48 | .48 | .89 | |||||||||
| MPCK3 | .48 | .42 | .48 | .45 | .88 | .86 | ||||||||
| GPK1 | .42 | .34 | .44 | .43 | .81 | .82 | .82 | |||||||
| GPK2 | .36 | .32 | .34 | .35 | .76 | .75 | .73 | .77 | ||||||
| GPK3 | .36 | .30 | .37 | .38 | .74 | .78 | .78 | .80 | .69 | |||||
| GPK4 | .42 | .39 | .44 | .41 | .77 | .81 | .77 | .80 | .70 | .75 | ||||
| IST1 | .61 | .53 | .56 | .56 | .40 | .37 | .32 | .36 | .33 | .34 | .37 | |||
| IST2 | .72 | .65 | .65 | .65 | .42 | .40 | .36 | .40 | .32 | .29 | .39 | .68 | ||
| IST3 | .65 | .60 | .65 | .60 | .40 | .38 | .33 | .38 | .27 | .26 | .37 | .60 | .65 | |
| Self1 | .56 | .54 | .59 | .53 | .28 | .25 | .29 | .27 | .21 | .20 | .21 | .35 | .49 | .34 |
| Self2 | .50 | .46 | .54 | .47 | .22 | .21 | .24 | .16 | .20 | .12 | .16 | .34 | .51 | .28 |
| Self3 | .58 | .53 | .60 | .53 | .25 | .19 | .23 | .22 | .16 | .11 | .21 | .40 | .48 | .40 |
| Construct | MCK | MPCK | GPK |
|---|---|---|---|
| MPCK | .54 (.06) *** | ||
| GPK | .48 (.06) *** | .95 (.02) *** | |
| Gf | .84 (.06) *** | .52 (.08) *** | .52 (.08) *** |
| MCK–MPCK | MPCK–GPK | MCK–GPK |
|---|---|---|
| .26 (.12) * | .94 (.02) *** | .18 (.12) |
| MCK | MPCK | GPK | gf | |
|---|---|---|---|---|
| MPCK | .54 (.06) *** | |||
| GPK | .48 (.06) *** | .95 (.02) *** | ||
| gf | .84 (.06) *** | .52 (.08) *** | .52 (.08) *** | |
| Self-concept | .66 (.08) *** | .30 (.09) ** | .26 (.09) ** | .57 (.09) *** |
| MCK | MPCK | GPK | |
|---|---|---|---|
| Gf | .69 (.10) *** | .52 (.12) *** | .54 (.12) *** |
| Self-concept | .28 (.11) * | .01 (.12) | −.05 (.12) |
| MCK | MPCK | GPK | |
|---|---|---|---|
| Gf | .73 (.12) *** | .55 (.14) *** | .58 (.13) *** |
| Self-concept | .21 (.13) | −.14 (.14) | −.17 (.13) |
| gf x self | .03 (.06) | .30 (.07) *** | .24 (.06) *** |
Publisher’s Note: MDPI stays neutral with regard to jurisdictional claims in published maps and institutional affiliations. |
© 2022 by the authors. Licensee MDPI, Basel, Switzerland. This article is an open access article distributed under the terms and conditions of the Creative Commons Attribution (CC BY) license (https://creativecommons.org/licenses/by/4.0/).
Share and Cite
Blömeke, S.; Jenßen, L.; Eid, M. The Role of Intelligence and Self-Concept for Teachers’ Competence. J. Intell. 2022, 10, 20. https://doi.org/10.3390/jintelligence10020020
Blömeke S, Jenßen L, Eid M. The Role of Intelligence and Self-Concept for Teachers’ Competence. Journal of Intelligence. 2022; 10(2):20. https://doi.org/10.3390/jintelligence10020020
Chicago/Turabian StyleBlömeke, Sigrid, Lars Jenßen, and Michael Eid. 2022. "The Role of Intelligence and Self-Concept for Teachers’ Competence" Journal of Intelligence 10, no. 2: 20. https://doi.org/10.3390/jintelligence10020020
APA StyleBlömeke, S., Jenßen, L., & Eid, M. (2022). The Role of Intelligence and Self-Concept for Teachers’ Competence. Journal of Intelligence, 10(2), 20. https://doi.org/10.3390/jintelligence10020020

