Numerical Simulation on Flow Dynamics and Pressure Variation in Porous Ceramic Filter
Abstract
1. Introduction
2. Numerical Method
2.1. Lattice Boltzmann Method
2.2. Inner Structure of Filter Substrate
2.3. Numerical Domain
3. Results
3.1. Flow Field and Filter Backpressure
3.2. Flow Path Length inside DPF
4. Discussion
5. Conclusions
- (1)
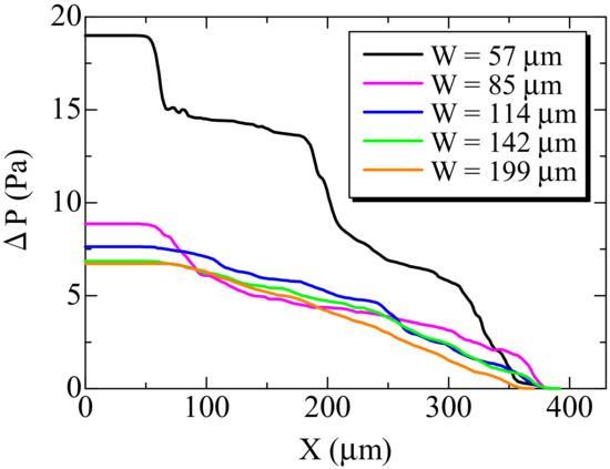
- Inside DPFs, a complex flow pattern appears, with the large flow acceleration and the flow recirculation. In some areas, the maximum filtration velocity is over ten times larger than the inlet velocity of 1 cm/s. It is because the flow forcibly needs to go through the narrow pores along the porous filter wall, resulting in the large filter backpressure. By comparing 5 samples, it can be seen that the resultant pressure drop through the filter wall is smaller when the porosity or the pore size of the filter is larger.
- (2)
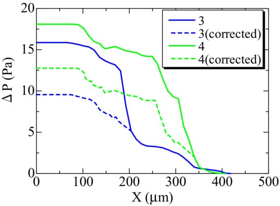
- To further discuss the flow field, the path length inside the DPF was estimated quantitatively. We followed the flow trajectory by tracing the particle motion in the fluid. The flow path length ratio to the filter wall thickness was almost the same for all samples, and its value was only 1.2. Therefore, independent of the porous material, the flow path length is almost constant under the present flow conditions.
- (3)
- The filter backpressure closely depends on the flow pattern inside the filter, which is due to the local substrate structure. In the modified filter substrate, by enlarging the pore size and reducing the resistance for the net flow, the pressure drop is largely suppressed. Therefore, when the local porosity is not varied much, the smooth and constant flow could be achieved, ensuring that the large velocity fluctuation is avoided. For the reduction of the filter backpressure, the uniform pore structure is suitable.
Author Contributions
Funding
Conflicts of Interest
Abbreviation
| Notation | |
| c | advection speed in lattice Boltzmann spacing |
| pα | distribution function of pressure |
| p | pressure |
| t | time |
| u | flow velocity of three components, u, v, w |
| Uin | inlet velocity |
| X | flow direction along the inflow |
| Y | direction perpendicular to X |
| Z | direction perpendicular to X |
| ε | porosity |
| ν | kinematic viscosity |
| ρ | density |
| τ | relaxation time |
| Subscripts | |
| 0 | reference condition at the atmosphere |
| in | value at inlet of numerical domain |
| p | value of particle |
| α | number of advection speed in LB coordinate |
References
- Wang, S.; Haynes, B.S. Catalytic combustion of soot on metal oxides and their supported metal chlorides. Catal. Commun. 2003, 4, 591–596. [Google Scholar] [CrossRef]
- Kennedy, I.M. The health effects of combustion-generated aerosols. Proc. Combust. Inst. 2007, 31, 2757–2770. [Google Scholar] [CrossRef]
- Johnson, T.V. Vehicular emissions in review. SAE Int. J. Engines 2016, 9, 1258–1275. [Google Scholar] [CrossRef]
- Barone, T.L.; Storey, J.M.; Domingo, N. An analysis of field-aged diesel particulate filter performance: Particle emissions before, during, and after regeneration. J. Air Waste Manag. Assoc. 2010, 60, 968–976. [Google Scholar] [CrossRef] [PubMed]
- Haralampous, O.; Payne, S. Experimental testing and mathematical modelling of diesel particle collection in flow-through monoliths. Int. J. Engine Res. 2016, 17, 1045–1061. [Google Scholar] [CrossRef]
- Ntziachristos, L.; Saukko, E.; Lehtoranta, K.; Rönkkö, T.; Timonen, H.; Simonen, P.; Karjalainen, P.; Keskinen, J. Particle emissions characterization from a medium-speed marine diesel engine with two fuels at different sampling conditions. Fuel 2016, 186, 456–465. [Google Scholar] [CrossRef]
- Hawker, P.N. Diesel emission control technology. Platin Met. Rev. 1995, 39, 2–8. [Google Scholar]
- Johnson, J.E.; Kittelson, D.B. Deposition, diffusion, and adsorption in the diesel oxidation catalyst. Appl. Catal. B Environ. 1996, 10, 117–137. [Google Scholar] [CrossRef]
- Obuchi, A.; Uchisawa, J.; Ohi, A.; Nanba, T.; Nakamura, N. A catalytic diesel particulate filter with a heat recovery function. Top. Catal. 2007, 42–43, 267–271. [Google Scholar] [CrossRef]
- Sergey, U.; Harald, V.; Bemnes, N.J.; Erik, H. Effects of high sulphur content in marine fuels on particulate matter emission characteristics. J. Mar. Eng. Technol. 2013, 12, 30–39. [Google Scholar]
- Davies, C.; Thompson, K.; Cooper, A.; Golunski, S.; Taylor, S.H.; Macias, M.B.; Doustdar, O.; Tsolakis, A. Simultaneous removal of NOx and soot particulate from diesel exhaust by in-situ catalytic generation and utilisation of N2O. Appl. Catal. B Environ. 2018, 239, 10–15. [Google Scholar] [CrossRef]
- Stein, H.J. Diesel oxidation catalysts for commercial vehicle engines: Strategies on their application for controlling particulate emissions. Appl. Catal. B Environ. 1996, 10, 69–82. [Google Scholar] [CrossRef]
- Yamamoto, K.; Yamauchi, K. Numerical simulation of continuously regenerating diesel particulate filter. Proc. Combust. Inst. 2013, 34, 3083–3090. [Google Scholar] [CrossRef]
- Yamamoto, K.; Matsui, K. Diesel exhaust after-treatment by silicon carbide fiber filter. Fibers 2014, 2, 128–141. [Google Scholar] [CrossRef]
- Ramdas, R.; Nowicka, E.; Jenkins, R.; Sellick, D.; Davies, C.; Golunski, S. Using real particulate matter to evaluate combustion catalysts for direct regeneration of diesel soot filters. Appl. Catal. B Environ. 2015, 176–177, 436–443. [Google Scholar] [CrossRef]
- Kong, H.; Yamamoto, K. Simulation on soot deposition in in-wall and on-wall catalyzed diesel particulate filters. Catal. Today 2018. [Google Scholar] [CrossRef]
- Sappok, A.; Santiago, M.; Vianna, T.; Wong, V. Characteristics and effects of ash accumulation on diesel particulate filter performance: Rapidly aged and field aged results. SAE Tech. Pap. 2009, 1–17. [Google Scholar] [CrossRef]
- Yang, S.; Deng, C.; Gao, Y.; He, Y. Diesel particulate filter design simulation: A review. Adv. Mech. Eng. 2016, 8, 1–14. [Google Scholar] [CrossRef]
- Yamamoto, K.; Ochi, F. Soot accumulation and combustion in porous media. J. Energy Inst. 2006, 79, 195–199. [Google Scholar] [CrossRef]
- Yamamoto, K.; Nakamura, M. Conjugate simulation of flow and heat transfer in diesel particulate filter. Prog. Comput. Fluid Dyn. 2012, 12, 286–292. [Google Scholar] [CrossRef]
- Yamamoto, K. Boundary conditions for combustion field and LB simulation of diesel particulate filter. Commun. Comput. Phys. 2013, 13, 769–779. [Google Scholar] [CrossRef]
- Yamamoto, K.; Sakai, T. Simulation of continuously regenerating trap with catalyzed DPF. Catal. Today 2015, 242, 357–362. [Google Scholar] [CrossRef]
- Yamamoto, K.; Toda, Y. Numerical study on filtration of soot particulates in gasoline exhaust gas by SiC fiber filter. Key Eng. Mater. 2017, 735, 119–126. [Google Scholar] [CrossRef]
- Chen, S.; Doolen, G.D. Lattice Boltzmann method for fluid flows. Annu. Rev. Fluid Mech. 1998, 30, 329–364. [Google Scholar] [CrossRef]
- Yamamoto, K.; Sakai, T. Effect of pore structure on soot deposition in diesel particulate filter. Computation 2016, 3, 46. [Google Scholar] [CrossRef]
- Qian, Y.H.; D’Humie’res, D.; Lallemand, P. Lattice BGK models for Navier-Stokes equation. Eur. Lett. 1992, 17, 479–484. [Google Scholar] [CrossRef]
- Zou, Q.; He, X. On pressure and velocity boundary conditions for the lattice Boltzmann BGK model. Phys. Fluids 1997, 9, 1591–1598. [Google Scholar] [CrossRef]
- Yamamoto, K.; Tajima, Y. Numerical simulation of fluid dynamics in monolithic column. Separations 2017, 4, 3. [Google Scholar] [CrossRef]












| Sample No. | 1 | 2 | 3 | 4 | 5 |
|---|---|---|---|---|---|
| Material | Al2TiO5 | Al2TiO5 | Al2TiO5 | SiC | Cordierite |
| Porosity, ε (%) | 56 | 50 | 49 | 37 | 60 |
| Mean pore size (μm) | 17 | 10 | 17 | 11 | 14 |
| Cell density | 230 | 230 | 230 | 300 | 300 |
| Wall thickness, δw (μm) | 372 | 351 | 374 | 361 | 265 |
© 2018 by the authors. Licensee MDPI, Basel, Switzerland. This article is an open access article distributed under the terms and conditions of the Creative Commons Attribution (CC BY) license (http://creativecommons.org/licenses/by/4.0/).
Share and Cite
Yamamoto, K.; Toda, Y. Numerical Simulation on Flow Dynamics and Pressure Variation in Porous Ceramic Filter. Computation 2018, 6, 52. https://doi.org/10.3390/computation6040052
Yamamoto K, Toda Y. Numerical Simulation on Flow Dynamics and Pressure Variation in Porous Ceramic Filter. Computation. 2018; 6(4):52. https://doi.org/10.3390/computation6040052
Chicago/Turabian StyleYamamoto, Kazuhiro, and Yusuke Toda. 2018. "Numerical Simulation on Flow Dynamics and Pressure Variation in Porous Ceramic Filter" Computation 6, no. 4: 52. https://doi.org/10.3390/computation6040052
APA StyleYamamoto, K., & Toda, Y. (2018). Numerical Simulation on Flow Dynamics and Pressure Variation in Porous Ceramic Filter. Computation, 6(4), 52. https://doi.org/10.3390/computation6040052
