Next Article in Journal
Multifidelity Topology Design for Thermal–Fluid Devices via SEMDOT Algorithm
Previous Article in Journal
Approximate Analytical Solutions of Nonlinear Jerk Equations Using the Parameter Expansion Method
 
 
Font Type:
Arial Georgia Verdana
Font Size:
Aa Aa Aa
Line Spacing:
Column Width:
Background:
Article

Finite Element Analysis of Stress and Displacement in the Distal Femur: A Comparative Study of Normal and Osteoarthritic Bone Under Knee Flexion

1
Department of Mathematics, Faculty of Science, Mahasarakham University, Maha Sarakham 44150, Thailand
2
Department of Mathematics, Faculty of Science, Khon Kaen University, Khon Kaen 40002, Thailand
*
Author to whom correspondence should be addressed.
Computation 2026, 14(1), 18; https://doi.org/10.3390/computation14010018
Submission received: 19 November 2025 / Revised: 7 January 2026 / Accepted: 9 January 2026 / Published: 12 January 2026
(This article belongs to the Section Computational Biology)

Abstract

Osteoarthritis (OA) is a progressive degenerative joint disease that fundamentally alters the mechanical environment of the knee. This study utilizes a finite element framework to evaluate the biomechanical response of the distal femur in healthy and osteoarthritic conditions across critical functional postures. To isolate the bone’s inherent structural stiffness and avoid numerical artifacts, a free-body computational approach was implemented, omitting external surface fixations. The distal femur was modeled as a linearly elastic domain with material properties representing healthy tissue and OA-induced degradation. Simulations were performed under passive gravitational loading at knee flexion angles of 0 , 60 , and 90 . The results demonstrate that the mechanical response is highly sensitive to postural orientation, with peak von Mises stress consistently occurring at 60 of flexion for both models. Quantitative analysis revealed that the stiffer Normal bone attracted significantly higher internal stress, with a reduction of over 30% in peak stress magnitude observed in the OA model at the most critical flexion angle. Total displacement magnitudes remained relatively stable across conditions, suggesting that OA-induced material softening primarily influences internal stress redistribution rather than global structural sag under passive loads. These findings provide a quantitative index of skeletal vulnerability, supporting the development of patient-specific orthopedic treatments and rehabilitation strategies.

Graphical Abstract

1. Introduction

The world is facing an aging population, which is expected to increase dramatically over the next few decades [1]. This is followed by health concerns associated with aging, which include musculoskeletal degeneration, particularly orthopedic disorders such as fractures, dislocations, and osteoarthritis (OA). Especially, OA is one of the most common problems found in the aging population. In 2020, 595 million people were facing OA. This is likely to increase to one billion by 2050 [2]. Knee Osteoarthritis (KOA) is the most common type of OA, a degenerative and irreversible joint disease caused by weight-bearing tissues [3,4]. Up to 23% of people aged over 40 have KOA; these comprise 80% of all reported cases of OA [2,5]. Generally, KOA causes severe functional limitations and chronic pain due to cartilage degradation, subchondral bone remodeling, and inflammation [6]. This becomes the main reason for Years Lived with Disability (YLDs), which will increase the financial burden on the global healthcare system [2].
The human knee is composed of the femur, tibia, and patella [7,8,9]. Normal activities in daily life, such as walking and standing, exert high forces on the knee joint [10,11,12]. The distal femur carries almost all of the load and plays an essential role in keeping the knee stable, especially the femoral condyles [13]. This region is very important to study because there is too much load on the condyles that can cause structural changes, such as subchondral bone sclerosis [14]. These changes in bone structure are represented by the earliest signs of OA, and they often occur before or together with cartilage damage [15,16]. The important thing is finding the mechanical risk factors that cause the changes in bone, which helps us develop treatments for the bone in OA [16].
Although there are many studies on knee biomechanics that focus on ligaments, cartilage, or patellofemoral contact mechanics [17,18], there are few studies that focus on the distal femur bone and investigate stress and displacement under different postural loading conditions [19]. In particular, few previous studies have examined the stress and strain in the femoral trabecular bone during knee bending, such as squatting. Many models also do not include OA-related factors, such as Young’s modulus and bone density [20,21]. Since bone carries and transfers loads, a study on an isolated distal femur bone alone can help explain how OA changes femoral mechanics [15].
There are many computational methods that are used to consider biomechanics. The finite difference method (FDM) [22,23,24] and the finite volume method (FVM) [25,26,27] are widely used in fluid mechanics and also in biomechanics. However, the finite element method (FEM) is one of the most common methods used in structural biomechanics [28,29,30,31,32]. FEM can represent the complexity in bone geometry and incorporate boundary and loading conditions. Moreover, the FEM is also used to study soft-tissue injury or implant optimization [10,18]. Our work isolates the distal femur to analyze the internal stress and displacement that relate to osteoarthritis initiation and local progression.
The goal of this study is to measure how osteoarthritis weakens the distal femur by using a model simulation. The three-dimensional finite element models of the patient are created from CT-scan image data. There are two types of models: a healthy femur and an osteoarthritic femur. Then, the body weight load at three knee positions, full extension ( 0 ), moderate flexion ( 60 ), and deep flexion ( 90 ), is applied on the distal femur. Finally, the von Mises stress and the total displacement in both models are compared to represent how osteoarthritis changes stress and deformation patterns. The results may help explain the difference in load transfer in OA. It may provide better treatment planning for the patient.

2. Finite Element Model of the Distal Femur Bone

In this section, the explanation of the finite element (FE) model is presented including subject information, image-processing steps, and the mesh convergence results.

2.1. Subject Characteristics and CT Acquisition

A three-dimensional model of the distal femur was created from a 61-year-old female patient with a body mass of 58.58 kg, with height and other data not recorded in the clinical data, such as body mass index (BMI), since the loading in this study was measured directly from the body mass.
The volumetric data were collected from a standard clinical Computed Tomography (CT) scan. The slice thickness was about 0.5 mm. The DICOM images were used to build a three-dimensional model. Then, the model was meshed and used in the computer simulation.

2.2. Image Processing and Geometry Reconstruction

The three-dimensional distal femur was reconstructed by using a reproducible image-processing workflow. First, the DICOM images were segmented by using the threshold method based on a chosen Hounsfield Unit (HU) range to remove surrounding soft tissue. Then, the segmented volume was exported as an STL file and imported into Meshmixer. This method was used for denoising to eliminate surface noise. Lastly, the algorithm, which uses adaptive remeshing and smoothing, was used to enhance triangle quality.

2.3. Geometric Dimensions and Anatomical Alignment

The isolated distal femur segment was measured along its primary anatomical axes to define the computational volume. The dimensions were determined as follows:
8.18 cm ( Proximal Distal ) × 7.02 cm ( Medial Lateral ) × 5.30 cm ( Anterior Posterior )

2.4. Mesh Sensitivity and Convergence Study

To ensure numerical stability and accuracy, a mesh sensitivity analysis was conducted comparing two discretization levels: “Fine” and “Extra Fine” (adopted for the final analysis with 405,728 elements). The peak von Mises stress ( σ v M ) values collected across all flexion angles for both the OA and Normal bone models are presented in Table 1.
The “Extra Fine” mesh was selected as the final discretized domain to ensure higher accuracy in capturing peak stress gradients, particularly at the 60 flexion angle where the greatest sensitivity to mesh refinement was observed (11.42% difference in the Normal model). This discretization level provided a stabilized gradient in high-curvature regions of the condyles, ensuring that the reported 10 4 mm displacement results were not artifacts of numerical discretization.

2.5. Material Modeling and Homogeneity Justification

The computational domain was modeled as a single, homogenous volume. While bone is naturally hierarchical (comprising distinct cortical and trabecular layers), this study adopts a homogeneous simplification to isolate the global biomechanical effect of material property degradation. This approach is consistent with comparative FEA studies where the goal is to evaluate the sensitivity of the distal femur to a shift in Young’s modulus (E) and density ( ρ ) as independent variables. The properties assigned (summarized in Table 2) represent the weighted average of the combined cortical-trabecular stiffness for the distal femur in each respective pathological state.

3. Mechanical Simulation

In this study, the mechanical behavior of the distal femur bone was investigated under the assumptions of linear elasticity and small deformations. The computational domain was derived from a three-dimensional reconstruction of the knee joint, as shown in Figure 1.
The model is governed by the standard equations of elasticity, comprising the equilibrium of stresses, Hooke’s law for isotropic linear elastic materials, and the strain–displacement relationships:
σ i j , j + f i = 0 , ( i = 1 , 2 , 3 ) , σ i j = C i j k l · ξ k l , ξ i j ( u ) = 1 2 u i , j + u j , i ,
where σ i j is the stress tensor, ξ i j is the strain tensor, u i is the displacement vector, f i represents the body force per unit volume (gravity), and C i j k l is the stiffness tensor determined by the material properties of the bone.

3.1. Material Model and Properties

The distal femur was modeled as a homogeneous, isotropic, and linearly elastic domain. While bone is naturally heterogeneous and anisotropic, this simplification is a standard approach in comparative biomechanical studies focused on global structural response [33]. By assigning distinct material properties to healthy and osteoarthritic (OA) bone (Table 2) [33,34], we isolate the influence of disease-induced material degradation on the skeletal frame’s integrity.

3.2. Free-Body Boundary Approach

A free-body approach was implemented, in which no external surface constraints (e.g., proximal fixations) were imposed on the femur. This setup evaluates the bone’s inherent structural stiffness without introducing numerical artifacts or over-constraining the model boundaries. By allowing the domain to deform freely in response to internal and external loads, we obtain a pure assessment of the bone’s resistance to deformation. This method is particularly effective for sensitivity analyses comparing displacement and stress gradients resulting solely from material property variations.

3.3. Mechanical Rationale for the Free-Body Approach

In this simulation, a free-body boundary condition was used, meaning that the distal femur was left unconstrained and no surfaces were fixed (i.e., no constraints were applied at the proximal shaft). This setup allows the femur to deform naturally under the applied loads and helps avoid numerical artifacts that can occur when the model is over-constrained.
Traditional boundary conditions, such as fixing the proximal end rigidly, can create unrealistically high stresses and strains near the constrained area. These artificial peaks come from the constraint itself and may not represent what occurs under real physiological loading. By letting the model deform freely under the gravity and joint-surface loads, a direct measure of the distal femur’s stiffness without added effects from external constraints is obtained. This is useful for comparing because differences in von Mises stress and total displacement can be attributed mainly to OA-related changes in material properties ( ρ , E ) more than if the model is fixed. Therefore, the results provide a conservative indicator of structural vulnerability under passive body-weight loading.

3.4. Discretization and Mesh Generation

To perform the Finite Element Analysis (FEA), the distal femur was discretized into a high-density mesh. As the knee flexion angle changes, the contact area and orientation of the mesh are updated to reflect the physical geometry of the standing, 60 , and 90 postures (Figure 2). This ensures that numerical calculations are performed on a domain that accurately represents the skeletal orientation of each case.

4. Loading Conditions on the Distal Femur

4.1. Anatomical Coordinate System

The analysis utilizes a standard anatomical coordinate system applied to the distal femur model, as illustrated in Figure 3. The three orthogonal directions are defined as follows:
  • X (Medial–Lateral): Positive X extends laterally from the midline.
  • Y (Anterior–Posterior): Positive Y extends anteriorly.
  • Z (Proximal–Distal): Positive Z extends proximally along the mechanical axis. Consequently, a negative force component ( F z ) represents a distal compression transmitted through the joint.
Implementation of Body Forces: In this study, body forces are defined exclusively as gravitational acceleration ( g = 9.81 m / s 2 ) applied volumetrically across the entire femoral domain. No additional approximations for muscle forces (e.g., quadriceps or hamstrings) or ligamentous constraints (e.g., ACL/MCL tension) were included in the body force vector.
Although muscle co-contraction is not included, which means the total forces are lower than those reported in dynamic joint reaction force (JRF) studies, this method was made to focus on the distal femur’s passive load-bearing ability. This setup provides a reproducible way to test how OA-related reductions in material properties affect the bone’s basic mechanical response to body weight, without the added variability in neuromuscular activity.

4.2. Static Axial Load Derivation

To simulate the impact of body weight, three static postures were examined for a 61-year-old female subject (58.58 kg). These forces represent the isolated passive gravitational transmission path, calculated by deducting the weight of the limb segment below the knee from the total body weight. This provides a conservative and reproducible evaluation compared to dynamic JRF that includes muscle forces.
The force vectors ( F = [ F x , F y , F z ] T ) applied to the articular surface are as follows:
  • Standing ( 0 ): F x = 0 N, F y = 0 N, F z = 507.4 N
  • Moderate Flexion ( 60 ): F x = 0 N, F y = 439.5 N, F z = 253.7 N
  • Deep Flexion ( 90 ): F x = 0 N, F y = 0 N, F z = 31.7 N
The significant decrease in the F z component at 90 flexion is a mathematical result of the trigonometric decomposition of the gravitational vector. At this angle, the axial component is minimized as the force vector shifts primarily into a bending moment relative to the femoral shaft, with vertical support shared by soft tissues and the patello-femoral interface.
Boundary Conditions and Stability: Choosing proximal constraints is a key issue in skeletal finite element modeling. Although rigid fixation of the femoral shaft is commonly used, it can create non-physiological stress concentrations that may bias the response in the distal region. To reduce this effect, we used a quasi-static free-body setup. Numerical stability was ensured by satisfying static equilibrium between the applied articular surface forces ( F x , F y , F z ) and the gravitational body force. To avoid rigid body motion (RBM) in the unconstrained model, the solver applied a Lagrange multiplier method. This approach allows the distal femur to deform without adding artificial boundary stiffness, so the reported displacement fields represent internal relative deformation and the resulting stress/strain patterns reflect the bone’s intrinsic mechanical integrity rather than the choice of hip or shaft fixation.
Justification of Static Postures and Biomechanical Representative Scope: The selection of 0 , 60 , and 90 knee flexions provides a comprehensive overview of the distal femur’s mechanical response across the functional range of motion.
  • Full Extension ( 0 ): Represents the posture of maximum axial weight-bearing during static standing and the heel-strike phase of gait.
  • Moderate Flexion ( 60 ): Represents a critical transitional state typical of stair descent and late-stance phases, where the load vector shifts to introduce significant anterior–posterior shear.
  • Deep Flexion ( 90 ): Represents a biomechanically demanding posture involved in activities of daily living (ADLs), such as rising from a seated position or deep squatting.
While these static models do not account for dynamic inertial forces or the continuous loading cycles of a full gait cycle, they serve as “quasi-static” snapshots of peak loading orientations. This simplified approach is a necessary first step to isolate the bone’s structural response to material degradation, providing a reproducible index of vulnerability that avoids the high variability inherent in dynamic neuromuscular modeling.

4.3. Biomechanical Indicators

The simulation focuses on two primary indicators: the von Mises stress distribution and the total displacement magnitude. Because the loading conditions are identical for both models, the analysis quantifies the percentage increase in stress and deformation in the OA bone compared to the Normal bone, serving as a quantitative index of structural vulnerability.

5. Formulation of the Finite Element Method

To transition from the continuous equilibrium equations to a discrete numerical solution, we present the following weak-form derivation. While applied readers primarily interested in the biomechanical outcomes may skip to the results in Section 6, this mathematical framework is provided here to ensure the transparency and reproducibility of the variational principles underlying our finite element implementation.
The mechanical analysis of the distal femur under applied loading conditions is governed by the linear elasticity equations introduced in Equation (1). To solve these equations numerically, we apply the finite element method (FEM), which requires reformulating the strong form into a weak (variational) form.
Let Ω R 3 represent the 3D domain of the femur, and let Ω denote its boundary. To derive the variational form, we begin by multiplying the equilibrium equation by a test (or weighting) function ν i and integrating over the domain Ω :
Ω σ i j ν i d Ω + Ω f i ν i d Ω = 0 .
To manipulate this integral, we apply the product rule and exploit the symmetry of the stress tensor σ i j = σ j i , yielding
σ i j , j ν i = σ i j , j ν i j σ i j ν i , j .
Substituting Equation (3) into Equation (2), we obtain
Ω σ i j , j ν i j σ i j ν i , j d Ω + Ω f i ν i d Ω = 0 .
The first term in Equation (4) is converted into a boundary integral using the divergence theorem:
Ω σ i j , j ν i j d Ω = Ω σ i j ν i n j d S ,
where n j denotes the jth component of the unit outward normal vector on Ω . Substituting Equation (5) back into Equation (4) leads to the weak form of the equilibrium equation:
Ω σ i j ν i , j d Ω + Ω f i ν i d Ω + Ω σ i j ν i n j d S = 0 .
We define the boundary traction vector F in terms of the stress tensor as
F i = σ i j n j .
Substituting this definition into Equation (6), we obtain the variational form of the equilibrium equation:
Ω σ i j ν i , j d Ω = Ω f i ν i d Ω + Ω F i ν i d S .
To express this formulation in terms of strain, we use the strain–displacement relation:
σ i j ν i , j = σ i j 1 2 ( ν i , j + ν j , i ) = σ i j ξ i j ( ν ) ,
where ξ i j ( ν ) denotes the strain tensor associated with the test function. The weak form then becomes
Ω σ i j ξ i j ( ν ) d Ω = Ω f i ν i d Ω + Ω F i ν i d S .
Next, applying Hooke’s law σ i j = C i j k l ξ k l ( u ) for isotropic materials, where C i j k l is the fourth-order elasticity tensor, yields the final variational formulation:
Ω C i j k l ξ k l ( u ) ξ i j ( ν ) d Ω = Ω f i ν i d Ω + Ω F i ν i d S .
To compactly express the system in matrix-vector form, we let u = [ u x , u y , u z ] T be the displacement vector and w = [ w x , w y , w z ] T the test function. Let D denote the differential operator that maps displacements to strains, and C be the elasticity matrix corresponding to C i j k l . The weak form becomes
Ω ( D w ) T C ( D u ) d Ω = Ω w T f d Ω + Ω w T F d S .
This leads to the variational problem: Find u V such that
a ( u , w ) = L ( w ) , w V ,
where the bilinear form and linear functional are defined as
a ( u , w ) = Ω ( D w ) T C ( D u ) d Ω , L ( w ) = Ω w T f d Ω + Ω w T F d S ,
and the function space is given by
V = w [ H 1 ( Ω ) ] 3 | w = 0 on Ω D .
To approximate the solution numerically, we introduce a finite-dimensional subspace V h V spanned by shape functions { ϕ i } i = 1 N . The displacement and test functions are expressed as
u h = i = 1 N ϕ i u i , w h = j = 1 N ϕ j w j ,
where u i and w j are nodal displacement vectors.
Substituting these approximations into the variational form and applying the Galerkin method (i.e., using the same shape functions for test and trial functions), we obtain the discrete system:
a ( ϕ j , ϕ i ) u j = L ( ϕ i ) , for i , j = 1 , 2 , , N .
This system consists of 3 N algebraic equations for the unknown nodal displacements u j = [ u x j , u y j , u z j ] T . It forms the basis for the numerical solution of the biomechanical problem in the subsequent simulations.

6. Numerical Results

This section details the numerical findings derived from the finite element (FE) simulations of the distal femur. The analysis quantifies the biomechanical divergence between healthy (Normal) and osteoarthritic (OA) bone across three functional postures: standing ( 0 flexion), moderate flexion ( 60 ), and deep flexion ( 90 ). The governing equations of linear elasticity were solved numerically using the COMSOL Multiphysics software suite (4.2).

6.1. Numerical Implementation and Solver Parameters

The Finite Element Analysis (FEA) was conducted using a customized numerical framework designed for high-fidelity bone simulation. To accurately capture the irregular 3D topology of the femoral condyles, the domain was discretized using four-node tetrahedral elements (incorporating a triangular mesh structure).
The convergence and stability of the numerical solver were governed by the following criteria:
  • Element Type: Tetrahedral (Triangular faces).
  • Convergence Tolerance: 1 × 10 6 (relative residual for the displacement vector).
  • Maximum Iterations: 1000 iterations per loading step.
These parameters were selected to provide a robust solution environment, ensuring that the complex interactions between the material properties and the passive gravitational loads were captured with a high degree of numerical precision.
To ensure a rigorous comparative framework, the simulations utilized a consistent distal femoral geometry for both the Normal and OA cohorts. This approach isolates material property degradation—specifically the reduction in Young’s Modulus—as the primary independent variable. The mechanical response is evaluated through two primary biomechanical indicators:
  • Total Displacement: Measured in millimeters (mm), representing the global structural deformation and stiffness of the bone.
  • von Mises Stress: Measured in Megapascals (MPa), utilized to identify regions of high mechanical demand and structural vulnerability within the bone matrix.
The peak values for stress and displacement are summarized in Table 3.

6.2. Total Displacement Analysis

Figure 4, Figure 5 and Figure 6 display the lateral views of the total displacement on the surface of the distal femur for both conditions. Comprehensive visualizations including posterior views (Figure 7, Figure 8 and Figure 9) and internal cross-sectional distributions (Figure 10, Figure 11 and Figure 12) provide further insight into deformation behavior.
Note: While Table 3 reports the absolute global maxima for the 3D volume, the cross-sectional plots illustrate localized internal gradients. Consequently, the peak values observed on these 2D planes may appear lower than global peaks as they capture data only within the specific cutting plane.
In the standing posture ( 0 ), the displacement increases from the lateral toward the medial condyle. The OA bone exhibits a slightly higher displacement magnitude ( 1.37 × 10 4 mm) compared to the Normal bone ( 1.36 × 10 4 mm), particularly at the posterior and medial regions (Figure 4b and Figure 7b), suggesting reduced structural resistance.
At 60 flexion, both models reached their highest displacement levels ( 1.63 × 10 4 mm for Normal and 1.60 × 10 4 mm for OA). The OA bone at this angle exhibits a more complex redistribution of strain, with displacement decreasing from the distal end toward the intercondylar line before increasing proximally (Figure 5b and Figure 11b).
During deep flexion ( 90 ), displacement is concentrated around the condylar regions. The OA model shows a marked increase in compliance ( 1.57 × 10 4 mm) relative to the Normal model ( 1.48 × 10 4 mm), indicating a loss of structural integrity as the joint enters high flexion angles.
The simulation results indicate that structural deformation is highly dependent on the flexion angle. At 60 of flexion, the distal femur reached its maximum total displacement, with peak values of 1.63 × 10 4 mm for the Normal model and 1.60 × 10 4 mm for the OA model.
As the joint moved into deep flexion ( 90 ), a reduction in total displacement was observed in both conditions, falling to 1.48 × 10 4 mm in the Normal bone and 1.57 × 10 4 mm in the OA model. This reduction at 90 corresponds with the trigonometric decrease in the axial gravitational component ( F z ), as the primary load path shifts toward a bending moment. These numerical values confirm that transitional flexion ( 60 ) represents the most mechanically demanding state for the distal femur’s structural stability in this passive loading scenario.

6.3. Von Mises Stress Distribution

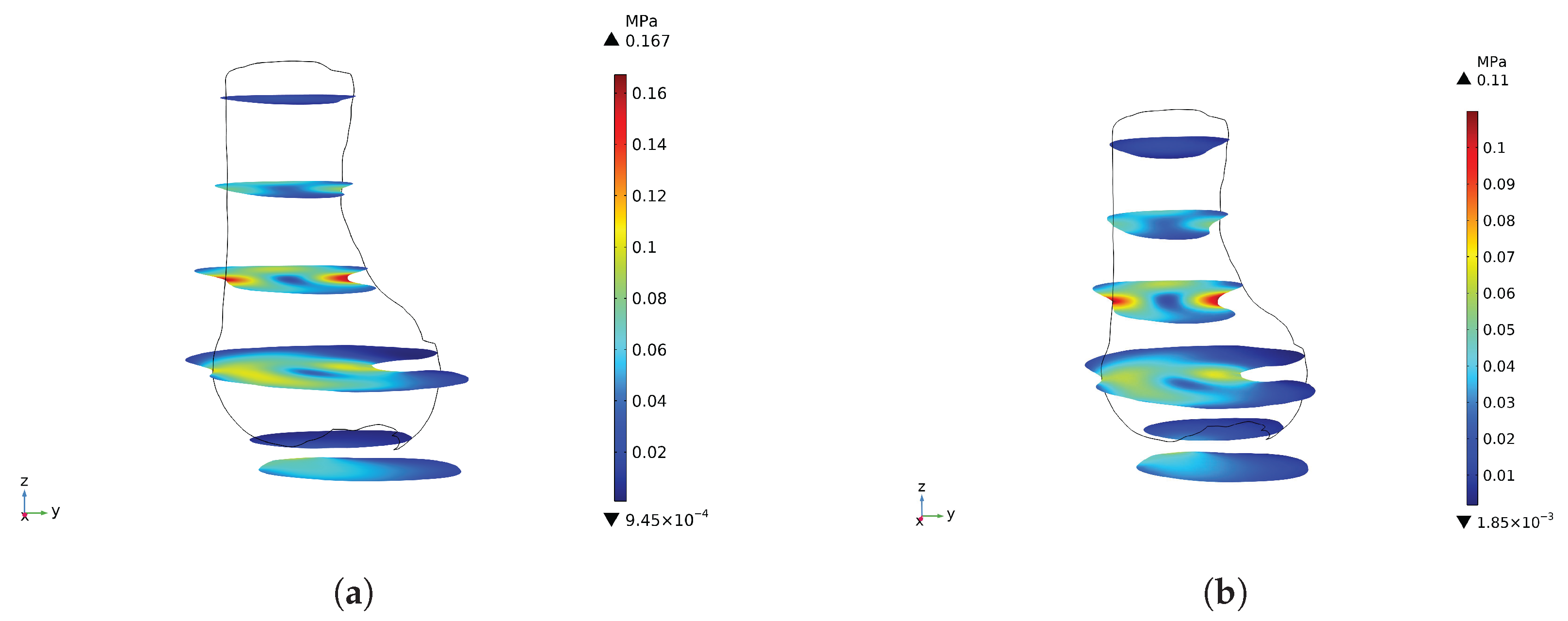
Figure 13, Figure 14 and Figure 15 illustrate the von Mises stress distributions on the femoral surface, while Figure 16, Figure 17 and Figure 18 provide cross-sectional profiles.
A key biomechanical observation is that the Normal bone model sustained higher peak stress levels than the OA model across all flexion angles. In the standing posture ( 0 ), the Normal bone peak stress reached 0.253 MPa, while the OA model showed 0.179 MPa. This occurs because the stiffer healthy matrix ( E = 12 GPa) sustains higher internal loads with minimal strain. In the OA model, stress is more widely distributed along the posterior-medial region (Figure 13b and Figure 16b), indicating a loss of localized load-bearing efficiency.
At 60 flexion, peak stresses reached their maximum recorded values: 0.359 MPa for Normal and 0.225 MPa for OA bone. The healthy bone exhibits a moderate, centralized distribution, whereas the OA bone shows intensity along the posterior condyles.
At 90 flexion, the peak stress in the Normal bone ( 0.310 MPa) remained significantly higher than in the OA bone ( 0.175 MPa). The lower stress concentrations in the OA bone indicate reduced mechanical integrity; the softened tissue cannot maintain the same stress levels as healthy tissue, leading instead to increased deformation.
As summarized in Table 3, the peak von Mises stress magnitudes demonstrate a clear dependence on both the material condition and the knee flexion angle. For the Normal bone model, the peak stress values were recorded as 0.253 MPa at 0 , reaching a maximum of 0.359 MPa at 60 , and decreasing to 0.310 MPa at 90 of flexion.
In the osteoarthritic (OA) model, the peak stress magnitudes followed a similar postural trend but were consistently lower than the healthy control, with values of 0.179 MPa, 0.225 MPa, and 0.175 MPa for 0 , 60 , and 90 , respectively. These explicit values substantiate the observation that the critical loading phase occurs at 60 of flexion, where the stiffer Normal bone attracts significantly higher internal stress concentrations compared to the degraded OA bone matrix.

6.4. Summary of Observations

The simulation results show that osteoarthritis-related weakening of bone material properties changes how the distal femur carries load. Compared with the healthy bone, the osteoarthritic bone deforms more (higher displacement) and shows a different stress pattern, indicating reduced stiffness and altered load transfer. These findings provide a mechanical baseline to help explain how bone changes in OA may contribute to joint instability and may accelerate cartilage wear.

6.5. Biomechanical Consequences for OA Progression

By comparing values in Table 3, the changes occur in OA. At 60 flexion, the OA model shows a 37.3 % lower peak von Mises stress ( 0.225 MPa) than the Normal model does ( 0.359 MPa). The lower stress is expected when the bone becomes less stiff and carries load differently. At 90 flexion, the OA model also shows a 6.1 % increase in peak displacement ( 1.57 × 10 4 mm) compared with the Normal bone ( 1.48 × 10 4 mm), indicating higher compliance of the distal femur. Clinically, increased compliance can reduce the stability of the subchondral support for the overlying cartilage, which may increase local shear and contribute to cartilage damage and osteophyte development as the joint adapts to altered load transfer. Thus, these changes in von Mises stress and total displacement suggest early structural weakness and reduced stability in OA.
The quantitative differences reported in Table 3 provide critical insights into the structural degeneration associated with OA. The most significant observation is the 37.3% reduction in peak von Mises stress in the OA model ( 0.225 MPa) compared to the Normal model ( 0.359 MPa) at 60 of flexion. While lower stress might initially appear beneficial, in biomechanical terms, it signifies a loss of material stiffness. The degraded OA matrix is less capable of “attracting” and supporting load, leading to a redistribution of internal forces.
Furthermore, at 90 of flexion, the OA model exhibited a 6.1% increase in peak displacement ( 1.57 × 10 4 mm) relative to the Normal bone ( 1.48 × 10 4 mm). This increased compliance suggests a “softening” of the subchondral support. Clinically, this “sink-in” effect means the bone provides a less stable foundation for the overlying articular cartilage. This instability increases the shear strain at the bone–cartilage interface, which is a known catalyst for cartilage delamination and the accelerated formation of osteophytes (bone spurs) as the joint attempts to regain stability. Consequently, the measured numerical shifts in stress and displacement serve as early structural indicators of the knee joint’s transition toward mechanical failure.

6.6. Discussion of Biomechanical Implications

The results in the previous subsection provide a quantitative assessment of how osteoarthritis (OA) affects the mechanical integrity of the distal femur. Using a free-body finite element framework, we isolated the structural response to passive body-weight loading across different flexion angles, which allows a direct comparison of Normal and OA material conditions.
Impact of Material Degradation on Structural Integrity: The simulations indicate that OA-related changes in material properties are associated with measurable changes in deformation and load transfer. In particular, the reduced Young’s modulus (E) and density ( ρ ) assigned to the OA model (Table 2) led to increased total displacement, consistent with reduced stiffness of the bone tissue. In addition, the internal stress distribution differed from the normal case, with stress becoming more unevenly distributed in regions of high curvature and load transfer. From a clinical perspective, this behavior is consistent with structural softening, where the bone provides less stable support during daily activities, even under quasi-static gravitational loading.
Implications for Physiological Realism: Because the model includes only gravitational body forces, the predicted stress and displacement represent a lower-bound, or passive, mechanical state. In real life, muscle forces help stabilize the knee and change how loads are shared across the joint, often increasing overall stress levels while reducing stress in some subchondral regions. By using gravity-only loading, this study highlights the underlying structural weakness of the osteoarthritic bone itself. Therefore, the results can be interpreted as a conservative indicator: if mechanical weakening is already evident under passive loading, the risk may become greater under dynamic activities that include muscle-driven forces.
Critical Flexion Angles and Stress Distribution: A key finding of this study is that the peak von Mises stress occurs at 60 of knee flexion. Although the standing posture ( 0 ) has the largest axial load ( F z = 507.4 N), the 60 posture introduces a strong anterior–posterior component ( F y = 439.5 N). This change in the load direction produces a more complex stress state, likely combining compression with bending. Such combined loading can increase stress concentrations in the distal femur, and the OA bone may be less able to resist these stresses due to reduced stiffness. In addition, the displacement consistently concentrates near the distal end, suggesting that the articular region of the OA femur is mechanically vulnerable and may be more prone to progressive damage under repeated daily activities.
Methodological Rationale for the Free-Body Approach: Fixed proximal constraints are common in FEM studies, but they can produce unrealistic high stresses near the fixed boundary. Our free-body model (Section 3) avoids this problem and lets the femur deform naturally under the applied loads. Therefore, the differences in stress and displacement are mainly due to OA changes in the bone material, not due to how the model was constrained.
Limitations and Future Scope: We acknowledge that this loading protocol focused exclusively on passive gravitational transmission, omitting the dynamic joint reaction forces (JRFs) generated by muscle co-contraction. In dynamic scenarios, peak forces can reach several multiples of body weight. However, by isolating the body-weight component, we have established a conservative structural vulnerability index. This baseline is essential for understanding how the skeletal frame itself behaves before the added complexity of neuromuscular factors is considered. Future research could integrate these findings into patient-specific orthopedic implant designs or more complex fractional-order mechanical models.

7. Conclusions

This study utilized a finite element framework to evaluate the biomechanical divergence between healthy and osteoarthritic distal femurs under passive gravitational loading scenarios. By utilizing CT-derived geometry and varying material properties, the mechanical response was analyzed across three functional postures: standing ( 0 ), moderate flexion ( 60 ), and deep flexion ( 90 ). The numerical results indicate that osteoarthritic degradation significantly alters the load-bearing performance of the bone. Regarding stress distribution, both cohorts exhibited peak von Mises stress at 60 flexion; however, the stiffer healthy bone sustained higher absolute stress magnitudes ( 0.359 MPa) compared to the OA model ( 0.225 MPa). This 37.3 % divergence indicates that the healthy matrix effectively supports higher internal loads, while the softened OA tissue exhibits an indicative trend toward structural vulnerability due to its diminished capacity to distribute stress efficiently. Furthermore, displacement patterns showed a shift in structural compliance; while displacement was comparable at 0 , the OA model exhibited higher peak displacement at 90 flexion ( 1.57 × 10 4 mm) compared to the healthy control. While these values remain below known mechanical fracture thresholds for cortical bone, the observed patterns suggest that pathological material changes fundamentally compromise the mechanical integrity of the distal femur during transitional activities. From a clinical standpoint, these quantitative insights provide a foundational structural index for refining orthopedic implant design and advancing patient-specific rehabilitation protocols. By understanding how the “softening” of the bone matrix shifts the mechanical demand, surgical planning can be better optimized to account for altered load-bearing efficiency in the osteoarthritic knee.
Future work will extend the present model by adding key anatomical structures, including articular cartilage and major knee ligaments. Contact mechanics at the joint surface will be modeled using penalty-based contact to better represent load transfer at the bone–cartilage interface. We will also consider anisotropic material behavior to capture the directional stiffness and spatial variation of trabecular bone. In addition, muscle forces will be included using tension-only elements, and dynamic loading conditions such as the gait cycle will be simulated to better reflect in vivo mechanics. These improvements are expected to increase the predictive accuracy of the model and support more personalized treatment planning for patients with osteoarthritis.

Author Contributions

Conceptualization, K.T. and D.P.; Data Curation, I.C. and D.P.; Formal Analysis, K.T., I.C., and D.P.; Investigation, K.T., I.C., and D.P.; Methodology, K.T., I.C., and D.P.; Software, K.T.; Validation, K.T., I.C., and D.P.; Visualization, K.T. and D.P.; Writing—Original Draft Preparation, K.T., I.C., and D.P.; Writing—Review and Editing, K.T., I.C., and D.P. All authors have read and agreed to the published version of the manuscript.

Funding

This research was supported by the Fundamental Fund of Khon Kaen University, Thailand. This research had received funding support from the National Science, Research and Innovation Fund, Thailand (NSRF).

Data Availability Statement

Data is contained within the article.

Acknowledgments

This research was supported by the Fundamental Fund of Khon Kaen University, Thailand. This research had received funding support from the National Science, Research and Innovation Fund, Thailand or NSRF, Thailand. This research project was financially supported by Mahasarakham University. The authors would also like to thank the Department of Civil Engineering, Faculty of Engineering, Khon Kaen University, for providing the COMSOL Multiphysics package.

Conflicts of Interest

The authors declare that they have no known competing financial interests or personal relationships that could have appeared to influence the work reported in this paper.

References

  1. World Health Organization. Ageing: Global Population; World Health Organization: Geneva, Switzerland, 2025. [Google Scholar]
  2. Steinmetz, J.D.; Culbreth, G.T.; Haile, L.M.; Rafferty, Q.; Lo, J.; Fukutaki, K.G.; Cruz, J.A.; Smith, A.E.; Vollset, S.E.; Brooks, P.M.; et al. Global, regional, and national burden of osteoarthritis, 1990–2020 and projections to 2050: A systematic analysis for the Global Burden of Disease Study 2021. Lancet Rheumatol. 2023, 5, e508–e522. [Google Scholar] [CrossRef] [PubMed]
  3. Du, X.; Liu, Z.-y.; Tao, X.-x.; Mei, Y.-l.; Zhou, D.-q.; Cheng, K.; Gao, S.-l.; Shi, H.-y.; Song, C.; Zhang, X.-m. Research Progress on the Pathogenesis of Knee Osteoarthritis. Orthop. Surg. 2023, 15, 2213–2224. [Google Scholar] [CrossRef] [PubMed]
  4. Sharma, L. Osteoarthritis of the Knee. N. Engl. J. Med. 2021, 384, 51–59. [Google Scholar] [CrossRef] [PubMed]
  5. Xu, J.; Lei, M.; Xu, D. Global, regional, and national burden of knee osteoarthritis attributable to high BMI: A systematic analysis from 1990 to 2021 and projections to 2050. Front. Public Health 2025, 13, 1668257. [Google Scholar] [CrossRef]
  6. Driban, J.B.; Harkey, M.S.; Liu, S.H.; Salzler, M.; McAlindon, T.E. Osteoarthritis and Aging: Young Adults with Osteoarthritis. Curr. Epidemiol. Rep. 2020, 7, 9–15. [Google Scholar] [CrossRef]
  7. Hefzy, M.S.; Grood, E.S. Review of Knee Models. Appl. Mech. Rev. 1988, 41, 1–13. [Google Scholar] [CrossRef]
  8. Kumbhalkar, M.; Rambhad, K.; Jee Kanu, N. An insight into biomechanical study for replacement of knee joint. Mater. Today Proc. 2021, 47, 2957–2965. [Google Scholar] [CrossRef]
  9. Harput, G. Chapter 22—Kinesiology of the knee joint. In Comparative Kinesiology of the Human Body; Angin, S., Şimşek, I.E., Eds.; Academic Press: Cambridge, MA, USA, 2020; pp. 393–410. [Google Scholar] [CrossRef]
  10. Wang, Y.; Tan, Q.; Pu, F.; Boone, D.; Zhang, M. A Review of the Application of Additive Manufacturing in Prosthetic and Orthotic Clinics from a Biomechanical Perspective. Engineering 2020, 6, 1258–1266. [Google Scholar] [CrossRef]
  11. Chhabra, A.; Elliott, C.C.; Miller, M.D. Normal Anatomy and Biomechanics of the Knee. Sports Med. Arthrosc. Rev. 2001, 9, 166–177. [Google Scholar] [CrossRef]
  12. Shamaei, K.; Cenciarini, M.; Adams, A.A.; Gregorczyk, K.N.; Schiffman, J.M.; Dollar, A.M. Design and Evaluation of a Quasi-Passive Knee Exoskeleton for Investigation of Motor Adaptation in Lower Extremity Joints. IEEE Trans. Biomed. Eng. 2014, 61, 1809–1821. [Google Scholar] [CrossRef]
  13. Peng, H.; Ou, A.; Huang, X.; Wang, C.; Wang, L.; Yu, T.; Zhang, Y.; Zhang, Y. Osteotomy Around the Knee: The Surgical Treatment of Osteoarthritis. Orthop. Surg. 2021, 13, 1465–1473. [Google Scholar] [CrossRef]
  14. Muraoka, T.; Hagino, H.; Okano, T.; Enokida, M.; Teshima, R. Role of subchondral bone in osteoarthritis development: A comparative study of two strains of guinea pigs with and without spontaneously occurring osteoarthritis. Arthritis Rheum. 2007, 56, 3366–3374. [Google Scholar] [CrossRef] [PubMed]
  15. Zhu, X.; Chan, Y.T.; Yung, P.S.H.; Tuan, R.S.; Jiang, Y. Subchondral Bone Remodeling: A Therapeutic Target for Osteoarthritis. Front. Cell Dev. Biol. 2021, 8, 607764. [Google Scholar] [CrossRef] [PubMed]
  16. Yu, D.; Xu, J.; Liu, F.; Wang, X.; Mao, Y.; Zhu, Z. Subchondral bone changes and the impacts on joint pain and articular cartilage degeneration in osteoarthritis. Clin. Exp. Rheumatol. 2016, 34, 929–934. [Google Scholar] [PubMed]
  17. Nikkhoo, M.; Hassani, K.; Tavakoli Golpaygani, A.; Karimi, A. Biomechanical role of posterior cruciate ligament in total knee arthroplasty: A finite element analysis. Comput. Methods Programs Biomed. 2020, 183, 105109. [Google Scholar] [CrossRef]
  18. Peitola, J.P.J.; Esrafilian, A.; Eskelinen, A.S.A.; Andersen, M.S.; Korhonen, R.K. Sensitivity of knee cartilage biomechanics in finite element analysis to selected Musculoskeletal models. Comput. Methods Biomech. Biomed. Eng. 2025, 28, 2150–2161. [Google Scholar] [CrossRef]
  19. Yan, M.; Liang, T.; Zhao, H.; Bi, Y.; Wang, T.; Yu, T.; Zhang, Y. Model Properties and Clinical Application in the Finite Element Analysis of Knee Joint: A Review. Orthop. Surg. 2024, 16, 289–302. [Google Scholar] [CrossRef]
  20. Belaid, D.; Germaneau, A.; Bouget, P.; Delmon, R.; Bouchoucha, A.; Rigoard, P.; Vendeuvre, T. Stress distribution analysis on the femoral neck under different angle directions of loading by a finite element analysis. Comput. Methods Biomech. Biomed. Eng. 2019, 22, S513–S515. [Google Scholar] [CrossRef]
  21. Jia, H.; Ma, X.; Wei, Y.; Tong, W.; Tower, R.J.; Chandra, A.; Wang, L.; Sun, Z.; Yang, Z.; Badar, F.; et al. Loading-Induced Reduction in Sclerostin as a Mechanism of Subchondral Bone Plate Sclerosis in Mouse Knee Joints During Late-Stage Osteoarthritis. Arthritis Rheumatol. 2018, 70, 230–241. [Google Scholar] [CrossRef]
  22. Tai, B.L.; Palmisano, A.C.; Belmont, B.; Irwin, T.A.; Holmes, J.; Shih, A.J. Numerical evaluation of sequential bone drilling strategies based on thermal damage. Med. Eng. Phys. 2015, 37, 855–861. [Google Scholar] [CrossRef]
  23. Poh, P.S.P.; Valainis, D.; Bhattacharya, K.; van Griensven, M.; Dondl, P. Optimization of Bone Scaffold Porosity Distributions. Sci. Rep. 2019, 9, 9170. [Google Scholar] [CrossRef] [PubMed]
  24. Li, Y.; Lee, H.G.; Xia, B.; Kim, J. A compact fourth-order finite difference scheme for the three-dimensional Cahn–Hilliard equation. Comput. Phys. Commun. 2016, 200, 108–116. [Google Scholar] [CrossRef]
  25. Coudière, Y.; Saad, M.; Uzureau, A. Analysis of a finite volume method for a bone growth system in vivo. Comput. Math. Appl. 2013, 66, 1581–1594. [Google Scholar] [CrossRef]
  26. Lopes, D.; Agujetas, R.; Puga, H.; Teixeira, J.; Lima, R.; Alejo, J.; Ferrera, C. Analysis of finite element and finite volume methods for fluid-structure interaction simulation of blood flow in a real stenosed artery. Int. J. Mech. Sci. 2021, 207, 106650. [Google Scholar] [CrossRef]
  27. Terekhov, K.M.; Butakov, I.D.; Danilov, A.A.; Vassilevski, Y.V. Dynamic adaptive moving mesh finite-volume method for the blood flow and coagulation modeling. Int. J. Numer. Methods Biomed. Eng. 2023, 39, e3731. [Google Scholar] [CrossRef]
  28. Schoell, S.L.; Beavers, K.M.; Beavers, D.P.; Lenchik, L.; Marsh, A.P.; Rejeski, W.J.; Stitzel, J.D.; Weaver, A.A. Prediction of lumbar vertebral body compressive strength of overweight and obese older adults using morphed subject-specific finite-element models to evaluate the effects of weight loss. Aging Clin. Exp. Res. 2019, 31, 491–501. [Google Scholar] [CrossRef]
  29. Parashar, S.K.; Sharma, J.K. A review on application of finite element modelling in bone biomechanics. Perspect. Sci. 2016, 8, 696–698. [Google Scholar] [CrossRef]
  30. Chen, Y.; Dall’Ara, E.; Sales, E.; Manda, K.; Wallace, R.; Pankaj, P.; Viceconti, M. Micro-CT based finite element models of cancellous bone predict accurately displacement once the boundary condition is well replicated: A validation study. J. Mech. Behav. Biomed. Mater. 2017, 65, 644–651. [Google Scholar] [CrossRef]
  31. Engelke, K.; van Rietbergen, B.; Zysset, P. FEA to Measure Bone Strength: A Review. Clin. Rev. Bone Miner. Metab. 2016, 14, 26–37. [Google Scholar] [CrossRef]
  32. Bendjaballah, M.; Shirazi-Adl, A.; Zukor, D. Biomechanics of the human knee joint in compression: Reconstruction, mesh generation and finite element analysis. Knee 1995, 2, 69–79. [Google Scholar] [CrossRef]
  33. Sciortino, V.; Pasta, S.; Ingrassia, T.; Cerniglia, D. On the Finite Element Modeling of the Lumbar Spine: A Schematic Review. Appl. Sci. 2023, 13, 958. [Google Scholar] [CrossRef]
  34. Renault, J.B.; Carmona, M.; Tzioupis, C.; Ollivier, M.; Argenson, J.N.; Parratte, S.; Chabrand, P. Tibial subchondral trabecular bone micromechanical and microarchitectural properties are affected by alignment and osteoarthritis stage. Sci. Rep. 2020, 10, 3975. [Google Scholar] [CrossRef]
Figure 1. The three-dimensional computational domain of knee bones consisting of the patella (knee cap), femur, and tibia.
Figure 1. The three-dimensional computational domain of knee bones consisting of the patella (knee cap), femur, and tibia.
Computation 14 00018 g001
Figure 2. Element meshes of the computational domain of the distal femur bone at different knee flexion angles used for numerical simulation. (a) Standing ( 0 ), (b) 60 bending, and (c) 90 bending.
Figure 2. Element meshes of the computational domain of the distal femur bone at different knee flexion angles used for numerical simulation. (a) Standing ( 0 ), (b) 60 bending, and (c) 90 bending.
Computation 14 00018 g002
Figure 3. Numerical setup of the distal femur model. The coordinate system ( X , Y , Z ) is shown. The arrow indicates the applied static resultant load vector F = [ F x , F y , F z ] T , where F x , F y , and F z are the load components along the X-, Y-, and Z-axes, respectively.
Figure 3. Numerical setup of the distal femur model. The coordinate system ( X , Y , Z ) is shown. The arrow indicates the applied static resultant load vector F = [ F x , F y , F z ] T , where F x , F y , and F z are the load components along the X-, Y-, and Z-axes, respectively.
Computation 14 00018 g003
Figure 4. Total displacement lateral view when standing. (a) Normal. (b) Osteoarthritis.
Figure 4. Total displacement lateral view when standing. (a) Normal. (b) Osteoarthritis.
Computation 14 00018 g004
Figure 5. Total displacement lateral view at 60 knee flexion. (a) Normal. (b) Osteoarthritis.
Figure 5. Total displacement lateral view at 60 knee flexion. (a) Normal. (b) Osteoarthritis.
Computation 14 00018 g005
Figure 6. Total displacement lateral view at 90 knee flexion. (a) Normal. (b) Osteoarthritis.
Figure 6. Total displacement lateral view at 90 knee flexion. (a) Normal. (b) Osteoarthritis.
Computation 14 00018 g006
Figure 7. Total displacement posterior view when standing. (a) Normal. (b) Osteoarthritis.
Figure 7. Total displacement posterior view when standing. (a) Normal. (b) Osteoarthritis.
Computation 14 00018 g007
Figure 8. Total displacement posterior view at 60 knee flexion. (a) Normal. (b) Osteoarthritis.
Figure 8. Total displacement posterior view at 60 knee flexion. (a) Normal. (b) Osteoarthritis.
Computation 14 00018 g008
Figure 9. Total displacement posterior view at 90 knee flexion. (a) Normal. (b) Osteoarthritis.
Figure 9. Total displacement posterior view at 90 knee flexion. (a) Normal. (b) Osteoarthritis.
Computation 14 00018 g009
Figure 10. Cross-sectional plot of total displacement when standing. (a) Normal. (b) Osteoarthritis.
Figure 10. Cross-sectional plot of total displacement when standing. (a) Normal. (b) Osteoarthritis.
Computation 14 00018 g010
Figure 11. Cross-sectional plot of total displacement at 60 knee flexion. (a) Normal. (b) Osteoarthritis.
Figure 11. Cross-sectional plot of total displacement at 60 knee flexion. (a) Normal. (b) Osteoarthritis.
Computation 14 00018 g011
Figure 12. Cross-sectional plot of total displacement at 90 knee flexion. (a) Normal. (b) Osteoarthritis.
Figure 12. Cross-sectional plot of total displacement at 90 knee flexion. (a) Normal. (b) Osteoarthritis.
Computation 14 00018 g012
Figure 13. Von Mises stress profile, lateral view when standing. (a) Normal. (b) Osteoarthritis.
Figure 13. Von Mises stress profile, lateral view when standing. (a) Normal. (b) Osteoarthritis.
Computation 14 00018 g013
Figure 14. Von Mises stress profile, lateral view at 60 knee flexion. (a) Normal. (b) Osteoarthritis.
Figure 14. Von Mises stress profile, lateral view at 60 knee flexion. (a) Normal. (b) Osteoarthritis.
Computation 14 00018 g014
Figure 15. Von Mises stress profile, lateral view at 90 knee flexion. (a) Normal. (b) Osteoarthritis.
Figure 15. Von Mises stress profile, lateral view at 90 knee flexion. (a) Normal. (b) Osteoarthritis.
Computation 14 00018 g015
Figure 16. Cross-sectional plot of von Mises stress when standing. (a) Normal. (b) Osteoarthritis.
Figure 16. Cross-sectional plot of von Mises stress when standing. (a) Normal. (b) Osteoarthritis.
Computation 14 00018 g016
Figure 17. Cross-sectional plot of von Mises stress at 60 knee flexion. (a) Normal. (b) Osteoarthritis.
Figure 17. Cross-sectional plot of von Mises stress at 60 knee flexion. (a) Normal. (b) Osteoarthritis.
Computation 14 00018 g017
Figure 18. Cross-sectional plot of von Mises stress at 90 knee flexion. (a) Normal. (b) Osteoarthritis.
Figure 18. Cross-sectional plot of von Mises stress at 90 knee flexion. (a) Normal. (b) Osteoarthritis.
Computation 14 00018 g018
Table 1. Comparison of peak von Mises stress (MPa) for mesh convergence analysis.
Table 1. Comparison of peak von Mises stress (MPa) for mesh convergence analysis.
Flexion
Angle
Osteoarthritis (OA)Normal Bone
FineExtra FineDiff (%)FineExtra FineDiff (%)
0 0.1780.1790.56%0.2420.2534.35%
60 0.2120.2255.78%0.3180.35911.42%
90 0.1700.1752.86%0.2920.3105.81%
Table 2. Material properties assigned to Normal and osteoarthritic distal femur bone models.
Table 2. Material properties assigned to Normal and osteoarthritic distal femur bone models.
ParameterNormal BoneOA BoneUnits
Density ( ρ )20001200kg/m3
Poisson’s Ratio ( ν )0.300.20
Young’s Modulus (E)12,0008000MPa
Table 3. Peak von Mises stress and total displacement for Normal and OA bone models.
Table 3. Peak von Mises stress and total displacement for Normal and OA bone models.
Flexion AnglePeak Stress (MPa)Peak Displacement (mm)
NormalOANormalOA
0 (Standing)0.2530.1791.36 ×   10 4 1.37 ×   10 4
60 (Moderate)0.3590.2251.63 ×   10 4 1.60 ×   10 4
90 (Deep)0.3100.1751.48 ×   10 4 1.57 ×   10 4
Disclaimer/Publisher’s Note: The statements, opinions and data contained in all publications are solely those of the individual author(s) and contributor(s) and not of MDPI and/or the editor(s). MDPI and/or the editor(s) disclaim responsibility for any injury to people or property resulting from any ideas, methods, instructions or products referred to in the content.

Share and Cite

MDPI and ACS Style

Trachoo, K.; Chaiya, I.; Prathumwan, D. Finite Element Analysis of Stress and Displacement in the Distal Femur: A Comparative Study of Normal and Osteoarthritic Bone Under Knee Flexion. Computation 2026, 14, 18. https://doi.org/10.3390/computation14010018

AMA Style

Trachoo K, Chaiya I, Prathumwan D. Finite Element Analysis of Stress and Displacement in the Distal Femur: A Comparative Study of Normal and Osteoarthritic Bone Under Knee Flexion. Computation. 2026; 14(1):18. https://doi.org/10.3390/computation14010018

Chicago/Turabian Style

Trachoo, Kamonchat, Inthira Chaiya, and Din Prathumwan. 2026. "Finite Element Analysis of Stress and Displacement in the Distal Femur: A Comparative Study of Normal and Osteoarthritic Bone Under Knee Flexion" Computation 14, no. 1: 18. https://doi.org/10.3390/computation14010018

APA Style

Trachoo, K., Chaiya, I., & Prathumwan, D. (2026). Finite Element Analysis of Stress and Displacement in the Distal Femur: A Comparative Study of Normal and Osteoarthritic Bone Under Knee Flexion. Computation, 14(1), 18. https://doi.org/10.3390/computation14010018

Note that from the first issue of 2016, this journal uses article numbers instead of page numbers. See further details here.

Article Metrics

Back to TopTop