An Explainable Framework Integrating Local Biplots and Gaussian Processes for Unemployment Rate Prediction in Colombia
Abstract
1. Introduction
- We construct a comprehensive dataset tailored for unemployment rate prediction in Colombia, incorporating monetary and socioeconomic indicators.
- We apply a local biplot technique based on the widely adopted unsuperviseed non-linear dimensionality reduction method, the Uniform Manifold Approximation and Projection (UMAP), enriched with local affine transformations, to capture non-stationary and non-linear data patterns in a low-dimensional and interpretable space.
- We deploy a Gaussian Process regressor enhanced with kernel-based relevance analysis to perform accurate predictions and assess feature importance within the supervised learning component.
2. Materials and Methods
2.1. Colombian Unemployment Rate Prediction Dataset
2.2. Nonlinear Unsupervised Relevance Analysis Using UMAP-Based Local Biplots
2.3. Autoregressive Models and Machine Learning Regression
- Autoregressive Integrated Moving Average (ARIMA): An ARIMA model is utilized to detect stationary correlations within time series data. The mathematical representation is articulated by the subsequent equation, wherein, for simplicity, it is presumed that both the autoregressive and moving average components possess identical lags:In this formulation, represents the time series at time t, whereas signifies a constant. The collection of observations encompassing the pertinent delays is denoted by . Furthermore, the series’ lags are represented by , while the associated coefficients of the autoregressive component are organized in , where signifies the quantity of lags under consideration.Conversely, denotes a white noise process and gathers the moving average coefficients.The ARIMA model can be expressed in matrix notation as follows:where and . The model coefficients are represented as , where .When the aforementioned approach is adapted to encompass seasonal patterns, the ARIMA model is converted into a Seasonal Autoregressive Integrated Moving Average (SARIMA). This comprehensive approach encompasses both stationary correlations and seasonal changes within the data. The general form, assuming that the seasonal components display the same lag as the non-seasonal components, yields:Next, the matrix-based representation is as follows:where and signify the seasonal autoregressive component, with indicating the number of lags. Likewise, and represent the seasonal moving average white noise process and its corresponding coefficients. In both instances, denotes the quantity of periods employed to illustrate seasonality.Also, the SARIMA model can be represented in its concise version as: , with , where . Simultaneously, the parameter vector yields: , where .Notably, ARIMA and SARIMA models are typically optimized using Maximum Likelihood Estimation (MLE), where the parameter estimation process is often carried out via the Limited-memory Broyden–Fletcher–Goldfarb–Shanno with Box constraints (L-BFGS-B) algorithm—a quasi-Newton method well-suited for high-dimensional problems with bound constraints [57].
- Ordinary Least Squares (OLS): This methodology presupposes a linear correlation between the exogenous variables , consisting of N samples and P features, and a target variable . Then, a linear relationship is fixed as , where the coefficient vector represents the parameters that characterize the linear influence of each feature on the target variable. A commonly employed method for estimating the OLS coefficients involves the Moore–Penrose pseudoinverse, leading to the closed-form solution:A regularized extension of the OLS method can be derived by solving the following optimization problem:Notably, when and , OLS yields to L1 regularization, or Least Absolute Shrinkage and Selection Operator (LASSO). Likewise, when the combination of L1 and L2 regularization—commonly referred to as Elastic Net regression—emerges as the resulting formulation [43].
- Random Forests (RF): Let be the target vector and denote the exogenous input feature matrix. An RF-based non-linear prediction is defined as:where the j-th tree codes whether the observation is associated with a node l and tree j. Conversely, the parameters linked to each node are denoted as , representing the coefficients connected with each node in the respective trees. Then: holds the set , delineating the input space partitions created by each tree. The matrix consolidates the indicator functions of all trees and represents the aggregation of the coefficients.RF determines the optimal split criteria and decision thresholds by leveraging the Classification and Regression Trees (CART) algorithm, which iteratively partitions the data to minimize the following classification or regression error [58]:
- Support Vector Regression (SVR): Given an input sample , the non-linear SVR’s predictive function is formulated as follows:where is a coefficients vector and denotes the function that transforms the data into a higher-dimensional space, with . This transformation presents a computational burden, which is mitigated by the kernel trick, allowing the computation of the inner product in the transformed space without direct evaluation [59]. Thus, for two samples, the kernel function is delineated as:The resultant matrix is represented as . Subsequently, a dual optimization formulation is employed to derive the SVR prediction function, enabling efficient computation in high-dimensional feature spaces:In this context, and represent the support coefficients. SVR employs the Sequential Minimal Optimization (SMO) approach to tackle a quadratic programming optimization, articulated as follows [60]:where
2.4. Supervised Kernel-Based Relevance Analysis Using Gaussian Processes
3. Experimental Set-Up
3.1. Assessment and Method Comparison
- Nonlinear Machine Learning: RF and SVR, which adeptly capture intricate interactions and non-linearities in the data using ensemble learning and kernel-based methodologies, respectively [69,70]. Also, a Multilayer Perceptron (MLP) is regarded as a supplementary non-linear benchmark due to its proven ability to predict complex temporal and economic patterns via deep and adaptable feature representations [71].
3.2. Training Details
4. Results and Discussion
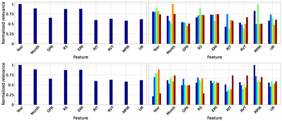
4.1. Unsupervised Relevance Analysis
4.2. Supervised Relevance Analysis
4.3. Limitations
5. Conclusions
Author Contributions
Funding
Data Availability Statement
Conflicts of Interest
References
- Zamanzadeh, A.; Chan, M.K.; Ehsani, M.A.; Ganjali, M. Unemployment duration, Fiscal and monetary policies, and the output gap: How do the quantile relationships look like? Econ. Model. 2020, 91, 613–632. [Google Scholar] [CrossRef]
- Chodorow-Reich, G.; Coglianese, J.; Karabarbounis, L. The macro effects of unemployment benefit extensions: A measurement error approach. Q. J. Econ. 2019, 134, 227–279. [Google Scholar] [CrossRef]
- Ozili, P.; Oladipo, O. Impact of credit expansion and contraction on unemployment. Int. J. Soc. Econ. 2025, 52, 205–219. [Google Scholar] [CrossRef]
- Sakamoto, T. Poverty, inequality, and redistribution: An analysis of the equalizing effects of social investment policy. Int. J. Comp. Sociol. 2024, 65, 310–334. [Google Scholar] [CrossRef]
- Hidalgo Villota, M.E. Business cycles in Colombia: Stylized facts. Tendencias 2024, 25, 26–56. [Google Scholar] [CrossRef]
- Sullivan, M. Comprender y predecir la elección del marco de política monetaria en los países en desarrollo. Model. Econ. 2024, 139, 106783. [Google Scholar] [CrossRef]
- Mamo, D.K.; Ayele, E.A.; Teklu, S.W. Modelling and Analysis of the Impact of Corruption on Economic Growth and Unemployment. In Proceedings of the Operations Research Forum; Springer: Berlin/Heidelberg, Germany, 2024; Volume 5, p. 36. [Google Scholar]
- Patwa, P.; Bhardwaj, M.; Guptha, V.; Kumari, G.; Sharma, S.; Pykl, S.; Das, A.; Ekbal, A.; Akhtar, M.S.; Chakraborty, T. Overview of constraint 2021 shared tasks: Detecting english covid-19 fake news and hindi hostile posts. In Proceedings of the Combating Online Hostile Posts in Regional Languages During Emergency Situation: First International Workshop, CONSTRAINT 2021, Collocated with AAAI 2021, Virtual Event, 8 February 2021; Revised Selected Papers 1. Springer: Berlin/Heidelberg, Germany, 2021; pp. 42–53. [Google Scholar]
- Papić-Blagojević, N.; Stankov, B. Analysis of Trends in Youth Unemployment in the European Union: The Role and Importance of Youth Entrepreneurship. In Entrepreneurship and Development for a Green Resilient Economy; Emerald Publishing Limited: Bingley, UK, 2024; pp. 181–204. [Google Scholar]
- Olschewski, S.; Luckman, A.; Mason, A.; Ludvig, E.A.; Konstantinidis, E. The future of decisions from experience: Connecting real-world decision problems to cognitive processes. Perspect. Psychol. Sci. 2024, 19, 82–102. [Google Scholar] [CrossRef]
- Carrino, L.; Farnia, L.; Giove, S. Measuring Social Inclusion in Europe: A non-additive approach with the expert-preferences of public policy planners. J. R. Stat. Soc. Ser. A Stat. Soc. 2024, 187, 231–259. [Google Scholar] [CrossRef]
- Masoud, N. Artificial intelligence and unemployment dynamics: An econometric analysis in high-income economies. Technol. Sustain. 2025, 4, 30–50. [Google Scholar] [CrossRef]
- Da Re, D.; Marini, G.; Bonannella, C.; Laurini, F.; Manica, M.; Anicic, N.; Albieri, A.; Angelini, P.; Arnoldi, D.; Bertola, F.; et al. Modelling the seasonal dynamics of Aedes albopictus populations using a spatio-temporal stacked machine learning model. Sci. Rep. 2025, 15, 3750. [Google Scholar] [CrossRef]
- Chen, X.S.; Kim, M.G.; Lin, C.H.; Na, H.J. Development of per Capita GDP Forecasting Model Using Deep Learning: Including Consumer Goods Index and Unemployment Rate. Sustainability 2025, 17, 843. [Google Scholar] [CrossRef]
- Departamento Administrativo Nacional de Estadística (DANE). Metodología de Estadísticas Laborales. 2025. Available online: https://bibliotecadoctecnica.dane.gov.co/static/documentos/DIG/DEE/DEE_Metodolog (accessed on 1 April 2025).
- Departamento Administrativo Nacional de Estadística (DANE). Metodología de Encuestas Económicas y de Empleo. 2025. Available online: https://bibliotecadoctecnica.dane.gov.co/static/documentos/DCD/EEVV/EEVV_Metodolog (accessed on 1 April 2025).
- Pigazo-López, F.; del Carmen Ruiz-Puente, M. Analysis of the Dynamic Relationships Between Industrial and Environmental Factors and Unemployment Rate. An Econometric Approach. Dyna. Energía Sostenibilidad 2024, 13, 1–13. [Google Scholar] [CrossRef]
- Chakraborty, T.; Chakraborty, A.K.; Biswas, M.; Banerjee, S.; Bhattacharya, S. Unemployment rate forecasting: A hybrid approach. Comput. Econ. 2021, 57, 183–201. [Google Scholar] [CrossRef]
- Woan-Lin, B.; Hui-Mei, T. Economic Impact on Palm Oil Stock Returns in Malaysia, Singapore, and Indonesia: A Nardl Model Analysis. J. Sustain. Sci. Manag. 2024, 19, 195–202. [Google Scholar]
- Shi, X.; Wang, J.; Zhang, B. A fuzzy time series forecasting model with both accuracy and interpretability is used to forecast wind power. Appl. Energy 2024, 353, 122015. [Google Scholar] [CrossRef]
- Onatunji, O.G.; Adeleke, O.K.; Adejumo, A.V. Non-linearity in the Phillips curve: Evidence from Nigeria. Afr. J. Econ. Manag. Stud. 2024, 15, 132–144. [Google Scholar] [CrossRef]
- Gallegati, M.; Gallegati, S. Why does economics need complexity? Soft Comput. 2025, 1–10. [Google Scholar] [CrossRef]
- Nosike, C.J.; Ojobor, O.S.N. Effects of Government Policies on Recessions: Fiscal and Monetary Policy Impact on Unemployment, Poverty, and Inequality. Interdiscip. J. Afr. Asian Stud. (IJAAS) 2024, 10, 1–12. [Google Scholar]
- Advani, B.; Sachan, A.; Sahu, U.K.; Pradhan, A.K. Forecasting Major Macroeconomic Variables of the Indian Economy. In Modeling Economic Growth in Contemporary India; Emerald Publishing Limited: Bingley, UK, 2024; pp. 1–24. [Google Scholar]
- Mero, K.; Salgado, N.; Meza, J.; Pacheco-Delgado, J.; Ventura, S. Unemployment Rate Prediction Using a Hybrid Model of Recurrent Neural Networks and Genetic Algorithms. Appl. Sci. 2024, 14, 3174. [Google Scholar] [CrossRef]
- Mohamed, A.A.; Abdi, A.H. Exploring the dynamics of inflation, unemployment, and economic growth in Somalia: A VECM analysis. Cogent Econ. Financ. 2024, 12, 2385644. [Google Scholar] [CrossRef]
- Saâdaoui, F.; Rabbouch, H. Financial forecasting improvement with LSTM-ARFIMA hybrid models and non-Gaussian distributions. Technol. Forecast. Soc. Change 2024, 206, 123539. [Google Scholar] [CrossRef]
- Boundi-Chraki, F.; Perrotini-Hernández, I. Revisiting the Classical Theory of Investment: An Empirical Assessment from the European Union. J. Quant. Econ. 2024, 22, 63–89. [Google Scholar] [CrossRef]
- Mutascu, M.; Hegerty, S.W. Predicting the contribution of artificial intelligence to unemployment rates: An artificial neural network approach. J. Econ. Financ. 2023, 47, 400–416. [Google Scholar] [CrossRef]
- Capello, R.; Caragliu, A.; Dellisanti, R. Integrating digital and global transformations in forecasting regional growth: The MASST5 model. Spat. Econ. Anal. 2024, 19, 133–160. [Google Scholar] [CrossRef]
- Shavvalpour, S.; Mohseni, R.; Kordtabar Firouzjaei, H. Analysis of the Asymmetric impact of Oil prices, Exchange rates, and their Uncertainty on Unemployment in Oil-Exporting countries. Macroecon. Res. Lett. 2024, 19. [Google Scholar]
- Sow, A.; Traore, I.; Diallo, T.; Traore, M.; Ba, A. Comparison of Gaussian process regression, partial least squares, random forest and support vector machines for a near infrared calibration of paracetamol samples. Results Chem. 2022, 4, 100508. [Google Scholar] [CrossRef]
- Shamsi, M.; Beheshti, S. Separability and scatteredness (S&S) ratio-based efficient SVM regularization parameter, kernel, and kernel parameter selection. Pattern Anal. Appl. 2025, 28, 33. [Google Scholar]
- Xu, B.; Huang, J.Z.; Williams, G.; Wang, Q.; Ye, Y. Classifying very high-dimensional data with random forests built from small subspaces. Int. J. Data Warehous. Min. (IJDWM) 2012, 8, 44–63. [Google Scholar] [CrossRef]
- Wang, Q.; Nguyen, T.T.; Huang, J.Z.; Nguyen, T.T. An efficient random forests algorithm for high dimensional data classification. Adv. Data Anal. Classif. 2018, 12, 953–972. [Google Scholar] [CrossRef]
- Liu, H.; Ong, Y.S.; Shen, X.; Cai, J. When Gaussian Process Meets Big Data: A Review of Scalable GPs. IEEE Trans. Neural Networks Learn. Syst. 2020, 31, 4405–4423. [Google Scholar] [CrossRef]
- Açıkkar, M.; Tokgöz, S. Improving multi-class classification: Scaled extensions of harmonic mean-based adaptive k-nearest neighbors. Appl. Intell. 2025, 55, 1–25. [Google Scholar] [CrossRef]
- Shaker, M.T.; El-Batanouny, H.; Abdelsalam, M.; Helmy, Y. Systematic Review of Machine Learning Approaches in Forecasting Economic Growth and Enhancing Decent Work Opportunities: A Comprehensive Analysis. In Proceedings of the 2024 6th International Conference on Computing and Informatics (ICCI), Cairo, Egypt, 6–7 March 2024; pp. 377–392. [Google Scholar]
- Aoujil, Z.; Hanine, M. A Review on Artificial Intelligence and Behavioral Macroeconomics. In Proceedings of the International Conference on Smart City Applications, Kuala Lumpur, Malaysia, 17–19 May 2024; Springer: Berlin/Heidelberg, Germany, 2024; pp. 332–341. [Google Scholar]
- Alaminos, D.; Salas, M.B.; Partal-Ureña, A. Hybrid ARMA-GARCH-Neural Networks for intraday strategy exploration in high-frequency trading. Pattern Recognit. 2024, 148, 110139. [Google Scholar] [CrossRef]
- Soltani, A.; Lee, C.L. The non-linear dynamics of South Australian regional housing markets: A machine learning approach. Appl. Geogr. 2024, 166, 103248. [Google Scholar] [CrossRef]
- Jung, J.; Wang, Y.; Sanchez Barrioluengo, M. A scoping review on graduate employability in an era of ‘Technological Unemployment’. High. Educ. Res. Dev. 2024, 43, 542–562. [Google Scholar] [CrossRef]
- Murphy, K.P. Probabilistic Machine Learning: An Introduction; MIT Press: Cambridge, MA, USA, 2022. [Google Scholar]
- Simionescu, M. Machine Learning vs. Econometric Models to Forecast Inflation Rate in Romania? The Role of Sentiment Analysis. Mathematics 2025, 13, 168. [Google Scholar] [CrossRef]
- Mutie, C.K.; Macharia, J.N. Gendered Analysis of the Effect of Displacement on Labor Market Outcomes: A Focus on Nairobi County, Kenya. Economies 2025, 13, 51. [Google Scholar] [CrossRef]
- Orozco-Castañeda, J.M.; Sierra-Suárez, L.P.; Vidal, P. Labor market forecasting in unprecedented times: A machine learning approach. Bull. Econ. Res. 2024, 76, 893–915. [Google Scholar] [CrossRef]
- Departamento Administrativo Nacional de Estadística (DANE). Estadísticas del Mercado Laboral. 2025. Available online: https://www.dane.gov.co/index.php/estadisticas-por-tema/mercado-laboral (accessed on 1 April 2025).
- Departamento Nacional de Planeación (DNP). Información Fiscal y Tributaria. 2025. Available online: https://www.dnp.gov.co/ (accessed on 1 April 2025).
- Güler, M.; Kabakçı, A.; Koç, Ö.; Eraslan, E.; Derin, K.H.; Güler, M.; Ünlü, R.; Türkan, Y.S.; Namlı, E. Forecasting of the Unemployment Rate in Turkey: Comparison of the Machine Learning Models. Sustainability 2024, 16, 6509. [Google Scholar] [CrossRef]
- Davidescu, A.A.; Apostu, S.A.; Marin, A. Forecasting the romanian unemployment rate in time of health crisis—A univariate vs. multivariate time series approach. Int. J. Environ. Res. Public Health 2021, 18, 11165. [Google Scholar] [CrossRef]
- Nguyen, P.H.; Tsai, J.F.; Kayral, I.E.; Lin, M.H. Unemployment rates forecasting with grey-based models in the post-COVID-19 period: A case study from Vietnam. Sustainability 2021, 13, 7879. [Google Scholar] [CrossRef]
- Popîrlan, C.I.; Tudor, I.V.; Dinu, C.C.; Stoian, G.; Popîrlan, C.; Dănciulescu, D. Hybrid model for unemployment impact on social life. Mathematics 2021, 9, 2278. [Google Scholar] [CrossRef]
- Davidescu, A.A.; Apostu, S.A.; Paul, A. Comparative analysis of different univariate forecasting methods in modelling and predicting the romanian unemployment rate for the period 2021–2022. Entropy 2021, 23, 325. [Google Scholar] [CrossRef] [PubMed]
- Chappell, H.W., Jr.; Keech, W.R. The unemployment rate consequences of partisan monetary policies. South. Econ. J. 1988, 55, 107–122. [Google Scholar] [CrossRef]
- Onwuka, C.E. The Impact of Fiscal and Monetary Policy on Unemployment Rate in Nigeria. SSRN 2021. Available online: https://papers.ssrn.com/sol3/papers.cfm?abstract_id=3959996 (accessed on 1 April 2025).
- House, D.; Keyser, J.C. Foundations of Physically Based Modeling and Animation; AK Peters/CRC Press: Boca Raton, FL, USA, 2016. [Google Scholar]
- Hyndman, R.J.; Athanasopoulos, G. Forecasting: Principles and Practice; OTexts: Melbourne, VIC, Australia, 2018. [Google Scholar]
- Ozcan, M.; Peker, S. A classification and regression tree algorithm for heart disease modeling and prediction. Healthc. Anal. 2023, 3, 100130. [Google Scholar] [CrossRef]
- Chen, X.; Li, L.; Li, Z.; Liu, M.; Li, Q.; Qi, H.; Ma, D.; Wen, Y.; Cao, G.; Yu, P.L. KD loss: Enhancing discriminability of features with kernel trick for object detection in VHR remote sensing images. Eng. Appl. Artif. Intell. 2024, 129, 107641. [Google Scholar] [CrossRef]
- El Mamoun, M. An effective combination of convolutional neural network and support vector machine classifier for Arabic handwritten recognition. Autom. Control Comput. Sci. 2023, 57, 267–275. [Google Scholar] [CrossRef]
- Li, X.; Wang, Y.; Basu, S.; Kumbier, K.; Yu, B. A debiased MDI feature importance measure for random forests. Adv. Neural Inf. Process. Syst. 2019, 32, 8049–8059. [Google Scholar]
- Alizamir, M.; Wang, M.; Adnan Ikram, R.M.; Kim, S.; Ahmed, K.O.; Heddam, S. Developing an efficient explainable artificial intelligence approach for accurate reverse osmosis desalination plant performance prediction: Application of SHAP analysis. Eng. Appl. Comput. Fluid Mech. 2024, 18, 2422060. [Google Scholar] [CrossRef]
- Molnar, C. Interpretable Machine Learning; Lulu: Morrisville, NC, USA, 2020. [Google Scholar]
- Fukuyama, J. Local biplots for multidimensional scaling, with application to the microbiome. J. Comput. Graph. Stat. 2022, 31, 779–789. [Google Scholar] [CrossRef]
- Shumway, R.H.; Stoffer, D.S.; Shumway, R.H.; Stoffer, D.S. ARIMA models. Time Series Analysis and Its Applications: With R Examples; Springer Nature: Berlin, Germany, 2017; pp. 75–163. [Google Scholar]
- Divisekara, R.W.; Jayasinghe, G.; Kumari, K. Forecasting the red lentils commodity market price using SARIMA models. SN Bus. Econ. 2020, 1, 20. [Google Scholar] [CrossRef]
- Yang, X.; Wen, W. Ridge and lasso regression models for cross-version defect prediction. IEEE Trans. Reliab. 2018, 67, 885–896. [Google Scholar] [CrossRef]
- Chamlal, H.; Benzmane, A.; Ouaderhman, T. Elastic net-based high dimensional data selection for regression. Expert Syst. Appl. 2024, 244, 122958. [Google Scholar] [CrossRef]
- Nachouki, M.; Mohamed, E.A.; Mehdi, R.; Abou Naaj, M. Student course grade prediction using the random forest algorithm: Analysis of predictors’ importance. Trends Neurosci. Educ. 2023, 33, 100214. [Google Scholar] [CrossRef] [PubMed]
- Dash, R.K.; Nguyen, T.N.; Cengiz, K.; Sharma, A. Fine-tuned support vector regression model for stock predictions. Neural Comput. Appl. 2023, 35, 23295–23309. [Google Scholar] [CrossRef]
- Alzubaidi, L.; Mohammed, L. Short-Term Forecasting of Oil Prices Using Artificial Neural Networks. Sustainability 2024, 16, 6509. [Google Scholar] [CrossRef]
- Sulandari, W.; Yudhanto, Y.; Subanti, S.; Zukhronah, E.; Subarkah, M.Z. Implementing Time Series Cross Validation to Evaluate the Forecasting Model Performance. KnE Life Sci. 2024, 1, 229–238. [Google Scholar] [CrossRef]
- Kingphai, K.; Moshfeghi, Y. On time series cross-validation for deep learning classification model of mental workload levels based on EEG signals. In Proceedings of the International Conference on Machine Learning, Optimization, and Data Science, Siena, Italy, 18–22 September 2022; Springer: Berlin/Heidelberg, Germany, 2022; pp. 402–416. [Google Scholar]
- Gabrikova, B.; Svabova, L.; Kramarova, K. Machine learning ensemble modelling for predicting unemployment duration. Appl. Sci. 2023, 13, 10146. [Google Scholar] [CrossRef]
- O’Malley, T.; Bursztein, E.; Long, J.; Chollet, F.; Jin, H.; Invernizzi, L. KerasTuner. 2019. Available online: https://github.com/keras-team/keras-tuner (accessed on 1 April 2025).
- Wu, J.; Chen, X.Y.; Zhang, H.; Xiong, L.D.; Lei, H.; Deng, S.H. Hyperparameter optimization for machine learning models based on Bayesian optimization. J. Electron. Sci. Technol. 2019, 17, 26–40. [Google Scholar]
- Cardona-Arenas, C.D.; Sierra-Suárez, L.P. Impacto de la política monetaria en el equilibrio del mercado de trabajo: Países de la Alianza del Pacífico. Rev. Finanz. Y Política Económica 2020, 12, 491–521. [Google Scholar] [CrossRef]
- Roșoiu, I.; Roșoiu, A. The relation between unemployment rate and economic growth in USA. Int. J. Econ. Pract. Theor. 2014, 4, 162–167. [Google Scholar]
- Wright, R.; Kircher, P.; Julien, B.; Guerrieri, V. Directed search and competitive search equilibrium: A guided tour. J. Econ. Lit. 2021, 59, 90–148. [Google Scholar] [CrossRef]
- Noack, M.M.; Luo, H.; Risser, M.D. A unifying perspective on non-stationary kernels for deeper Gaussian processes. APL Mach. Learn. 2024, 2, 010902. [Google Scholar] [CrossRef]
- Jahin, M.A.; Shovon, M.S.H.; Mridha, M.; Islam, M.R.; Watanobe, Y. A hybrid transformer and attention based recurrent neural network for robust and interpretable sentiment analysis of tweets. Sci. Rep. 2024, 14, 24882. [Google Scholar] [CrossRef] [PubMed]













| Source | Variable | Acronym | Type |
|---|---|---|---|
| - | Year | - | - |
| - | Month | - | - |
| Ministerio de Trabajo | Real Salary | RS | Monetary |
| DANP | Real Income Tax | RIT | Monetary |
| DANP | Real Value-Added Tax | RVT | Monetary |
| Banco de la República | Monetary Policy Intervention Rate | MPIR | Monetary |
| DANE | General Participation Rate | GPR | Socioeconomic |
| DANE | Economic Monitor Index | EMI | Socioeconomic |
| DANE | Unemployment Rate | UR | Socioeconomic |
| Statistic | GPR | RS | EMI | RIT | RVT | MPIR | UR |
|---|---|---|---|---|---|---|---|
| mean | 62.44 | 778,225.30 | 93.44 | 5,047,453.00 | 2,752,444.00 | 5.69 | 11.00 |
| std | 2.48 | 116,923.60 | 17.55 | 2,520,542.00 | 2,033,169.00 | 2.80 | 2.11 |
| min | 51.84 | 649,914.80 | 59.87 | 621,398.80 | 622,713.70 | 1.75 | 7.27 |
| 25% | 60.98 | 701,624.30 | 78.48 | 3,495,737.00 | 953,138.40 | 4.00 | 9.50 |
| 50% | 63.32 | 745,448.20 | 95.26 | 4,602,006.00 | 2,138,924.00 | 4.63 | 10.80 |
| 75% | 64.18 | 801,263.50 | 105.90 | 5,713,156.00 | 4,271,658.00 | 7.06 | 11.99 |
| max | 66.89 | 1,107,656.00 | 132.62 | 15,423,130.00 | 8,698,995.00 | 13.25 | 21.38 |
| Model | MSE (TSCV) | MSE (SWCV) | RMSE (TSCV) | RMSE (SWCV) | MAE (TSCV) | MAE (SWCV) | MAPE (TSCV) | MAPE (SWCV) | R2 (TSCV) | R2 (SWCV) |
|---|---|---|---|---|---|---|---|---|---|---|
| ARIMA | 0.01 | 0.01 | 0.11 | 0.11 | 0.07 | 0.07 | 30.98 | 29.55 | 0.46 | 0.52 |
| SARIMA | 0.01 | 0.02 | 0.11 | 0.13 | 0.07 | 0.10 | 31.16 | 42.53 | 0.45 | 0.23 |
| RF | 0.01 | 0.01 | 0.10 | 0.10 | 0.06 | 0.07 | 25.56 | 26.58 | 0.55 | 0.55 |
| Lasso | 0.01 | 0.01 | 0.09 | 0.10 | 0.06 | 0.06 | 26.39 | 27.21 | 0.69 | 0.68 |
| SVR | 0.01 | 0.01 | 0.08 | 0.10 | 0.05 | 0.07 | 25.07 | 28.01 | 0.71 | 0.53 |
| ElasticNet | 0.02 | 0.01 | 0.15 | 0.11 | 0.10 | 0.07 | 41.00 | 29.12 | 0.05 | 0.49 |
| MLP | 0.03 | 0.03 | 0.18 | 0.17 | 0.13 | 0.12 | 64.45 | 59.06 | −0.38 | −0.23 |
| GP | 0.01 | 0.01 | 0.07 | 0.10 | 0.05 | 0.06 | 24.15 | 27.12 | 0.80 | 0.58 |
| Model | MSE (TSCV) | MSE (SWCV) | RMSE (TSCV) | RMSE (SWCV) | MAE (TSCV) | MAE (SWCV) | MAPE (TSCV) | MAPE (SWCV) | R2 (TSCV) | R2 (SWCV) |
|---|---|---|---|---|---|---|---|---|---|---|
| ARIMA | 0.02 | 0.02 | 0.15 | 0.14 | 0.10 | 0.09 | 36.36 | 6.30 | 0.09 | 0.13 |
| SARIMA | 0.03 | 0.02 | 0.16 | 0.15 | 0.10 | 0.09 | 35.27 | 40.50 | −0.08 | 0.12 |
| RF | 0.01 | 0.02 | 0.12 | 0.13 | 0.07 | 0.08 | 28.37 | 30.37 | 0.41 | 0.32 |
| Lasso | 0.01 | 0.02 | 0.10 | 0.13 | 0.07 | 0.09 | 29.84 | 4.91 | 0.57 | 0.25 |
| SVR | 0.01 | 0.02 | 0.10 | 0.12 | 0.07 | 0.08 | 29.45 | 32.55 | 0.62 | 0.35 |
| ElasticNet | 0.03 | 0.02 | 0.16 | 0.14 | 0.11 | 0.09 | 43.02 | 34.78 | −0.05 | 0.22 |
| MLP | 0.04 | 0.03 | 0.22 | 0.17 | 0.15 | 0.12 | 69.33 | 59.49 | −0.86 | −0.28 |
| GP | 0.01 | 0.02 | 0.09 | 0.15 | 0.06 | 0.09 | 31.32 | 40.93 | 0.67 | 0.06 |
Disclaimer/Publisher’s Note: The statements, opinions and data contained in all publications are solely those of the individual author(s) and contributor(s) and not of MDPI and/or the editor(s). MDPI and/or the editor(s) disclaim responsibility for any injury to people or property resulting from any ideas, methods, instructions or products referred to in the content. |
© 2025 by the authors. Licensee MDPI, Basel, Switzerland. This article is an open access article distributed under the terms and conditions of the Creative Commons Attribution (CC BY) license (https://creativecommons.org/licenses/by/4.0/).
Share and Cite
Pérez-Rosero, D.A.; Manrique-Cabezas, D.A.; Triana-Martinez, J.C.; Álvarez-Meza, A.M.; Castellanos-Dominguez, G. An Explainable Framework Integrating Local Biplots and Gaussian Processes for Unemployment Rate Prediction in Colombia. Computation 2025, 13, 116. https://doi.org/10.3390/computation13050116
Pérez-Rosero DA, Manrique-Cabezas DA, Triana-Martinez JC, Álvarez-Meza AM, Castellanos-Dominguez G. An Explainable Framework Integrating Local Biplots and Gaussian Processes for Unemployment Rate Prediction in Colombia. Computation. 2025; 13(5):116. https://doi.org/10.3390/computation13050116
Chicago/Turabian StylePérez-Rosero, Diego Armando, Diego Alejandro Manrique-Cabezas, Jennifer Carolina Triana-Martinez, Andrés Marino Álvarez-Meza, and German Castellanos-Dominguez. 2025. "An Explainable Framework Integrating Local Biplots and Gaussian Processes for Unemployment Rate Prediction in Colombia" Computation 13, no. 5: 116. https://doi.org/10.3390/computation13050116
APA StylePérez-Rosero, D. A., Manrique-Cabezas, D. A., Triana-Martinez, J. C., Álvarez-Meza, A. M., & Castellanos-Dominguez, G. (2025). An Explainable Framework Integrating Local Biplots and Gaussian Processes for Unemployment Rate Prediction in Colombia. Computation, 13(5), 116. https://doi.org/10.3390/computation13050116

