A Molecular Dynamics Simulation on the Methane Adsorption in Nanopores of Shale
Abstract
1. Introduction
2. Materials and Methods
3. Results
3.1. Effect of Graphene-Layer Number on Adsorption
3.2. Effect of Temperature and Pressure on Adsorption
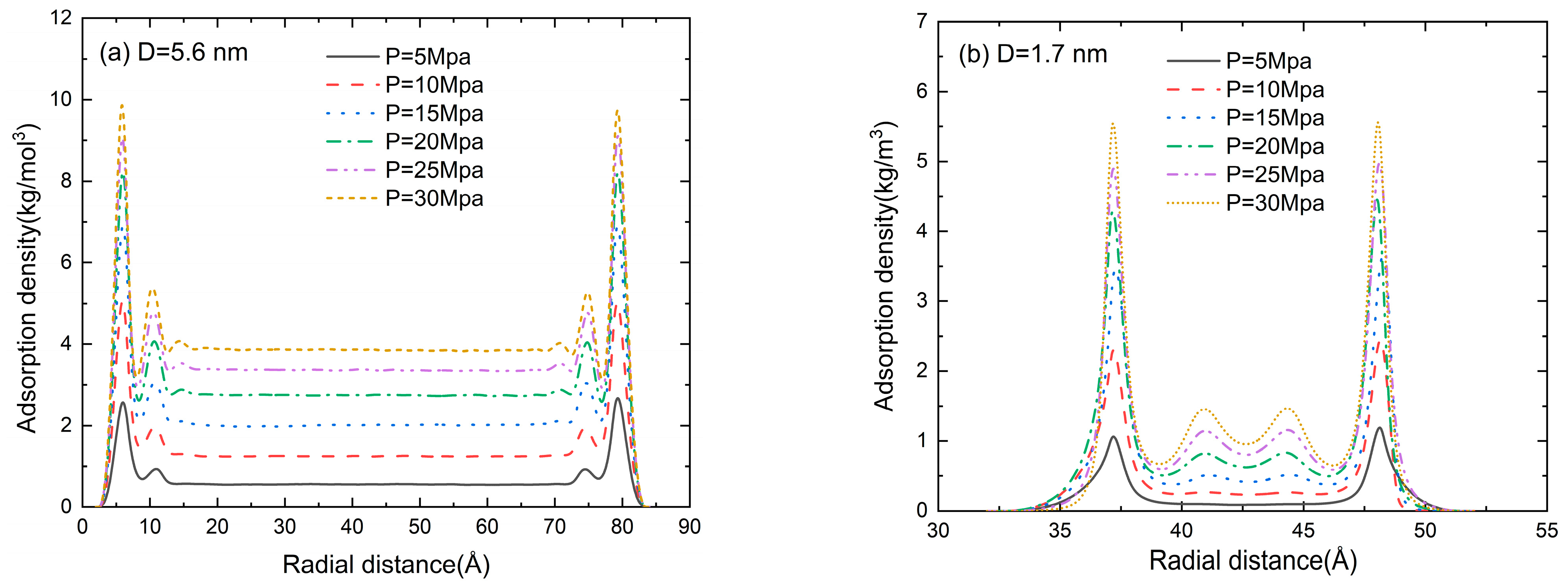
3.3. Effect of Pore Size on Adsorption
3.4. The Influencing Factors of the Second Adsorption Layer
4. Conclusions
Author Contributions
Funding
Data Availability Statement
Acknowledgments
Conflicts of Interest
Abbreviations
| MD | Molecular dynamics |
| GCMC | Grand canonical Monte Carlo |
| DFT | Density function theory |
| PPPM | Particle–particle particle–mesh |
| RDF | Radial distribution function |
References
- Nie, H.; Dang, W.; Zhang, Q.; Zhang, J.; Li, P.; Zhang, S.; Ding, J.; Chen, Q.; Feng, Y.; Zhang, X. Evaluation of gas content in organic-rich shale: A review of the history, current status, and future directions. Geosci. Front. 2024, 15, 101921. [Google Scholar] [CrossRef]
- Wang, Y.; Wang, Z.; Zhang, Z.; Yao, S.; Zhang, H.; Zheng, G.; Luo, F.; Feng, L.; Liu, K.; Jiang, L. Recent techniques on analyses and characterizations of shale gas and oil reservoir. Energy Rev. 2024, 3, 100067. [Google Scholar] [CrossRef]
- Bowker, K.A. Barnett Shale gas production, Fort Worth Basin: Issues and discussion. AAPG Bull. 2007, 91, 523–533. [Google Scholar] [CrossRef]
- Ren, W.; Guo, J.; Zeng, F.; Wang, T. Modeling of high-pressure methane adsorption on wet shales. Energy Fuels 2019, 33, 7043–7051. [Google Scholar] [CrossRef]
- Loucks, R.G.; Reed, R.M.; Ruppel, S.C.; Jarvie, D.M. Morphology, genesis, and distribution of nanometer-scale pores in siliceous mudstones of the Mississippian Barnett Shale. J. Sediment. Res. 2009, 79, 848–861. [Google Scholar] [CrossRef]
- He, X.; Zhang, K.; Jiang, S.; Jiang, Z.; Wang, X.; Jiang, W.; Li, J.; Wu, Y.; Gao, Z.; Tang, T.; et al. Influencing factors and quantitative prediction of gas content of deep marine shale in Luzhou block. Sci. Rep. 2025, 15, 1896. [Google Scholar] [CrossRef]
- Wang, Y.; Liu, L.; Cheng, H. Gas adsorption characterization of pore structure of organic-rich shale: Insights into contribution of organic matter to shale pore network. Nat. Resour. Res. 2021, 30, 2377–2395. [Google Scholar] [CrossRef]
- Sharma, A.; Namsani, S.; Singh, J.K. Molecular simulation of shale gas adsorption and diffusion in inorganic nanopores. Mol. Simul. 2015, 41, 414–422. [Google Scholar] [CrossRef]
- Wang, H.; Chen, L.; Qu, Z.; Yin, Y.; Kang, Q.; Yu, B.; Tao, W.-Q. Modeling of multi-scale transport phenomena in shale gas production—A critical review. Appl. Energy 2020, 262, 114575. [Google Scholar] [CrossRef]
- Jiang, Z.; Wang, W.; Zhu, H.; Yin, Y.; Qu, Z. Review of shale gas transport prediction: Basic theory, numerical simulation, application of AI methods, and perspectives. Energy Fuels 2023, 37, 2520–2538. [Google Scholar] [CrossRef]
- Huang, L.; Xiao, Y.; Yang, Q.; Chen, Q.; Zhang, Y.; Xu, Z.; Feng, X.; Tian, B.; Wang, L.; Liu, Y. Gas sorption in shale media by molecular simulation: Advances, challenges and perspectives. Chem. Eng. J. 2024, 25, 150742. [Google Scholar] [CrossRef]
- Shao, B.; Wang, S.; Li, T.; Chen, X.; Ma, Y. GCMC-MD prediction of adsorption and diffusion behavior of shale gas in nanopores. Fuel 2024, 377, 132696. [Google Scholar] [CrossRef]
- Wang, T.; Tian, S.; Li, G.; Zhang, L.; Sheng, M.; Ren, W. Molecular simulation of gas adsorption in shale nanopores: A critical review. Renew. Sustain. Energy Rev. 2021, 149, 111391. [Google Scholar] [CrossRef]
- Zhao, Y.; Luo, M.; Liu, L.; Wu, J.; Chen, M.; Zhang, L. Molecular dynamics simulations of shale gas transport in rough nanopores. J. Pet. Sci. Eng. 2022, 217, 110884. [Google Scholar] [CrossRef]
- Ambrose, R.J.; Hartman, R.C.; Diaz-Campos, M.; Akkutlu, I.Y.; Sondergeld, C.H. New pore-scale considerations for shale gas in place calculations. In Proceedings of the SPE Unconventional Resources Conference/Gas Technology Symposium, Calgary, AB, Canada, 19–21 October 2010. [Google Scholar]
- Li, W.; Cao, J.; Liang, Y.; Masuda, Y.; Tsuji, T.; Tamura, K.; Ishiwata, T.; Kuramoto, D.; Matsuoka, T. Molecular simulation of methane/ethane mixture adsorption behavior in shale nanopore systems with micropores and mesopores. Fuel 2024, 358, 130294. [Google Scholar] [CrossRef]
- Zha, W.; Lin, B.; Liu, T.; Liu, T.; Yang, W.; Zhang, X. Modeling methane adsorption distance using carbon nanotubes and bituminous coal pore models. Energy Fuels 2024, 38, 948–960. [Google Scholar] [CrossRef]
- Zhang, B.; Kang, J.; Kang, T. Monte Carlo simulations of methane adsorption on kaolinite as a function of pore size. J. Nat. Gas Sci. Eng. 2018, 49, 410416. [Google Scholar] [CrossRef]
- Guo, F.; Wang, S.; Feng, Q.; Yao, X.; Xue, Q.; Li, X. Adsorption and absorption of supercritical methane within shale kerogen slit. J. Mol. Liq. 2020, 320, 114364. [Google Scholar] [CrossRef]
- Kowalczyk, P.; Tanaka, H.; Kaneko, K.; Terzyk, A.P.; Do, D.D. Grand canonical Monte Carlo simulation study of methane adsorption at an open graphite surface and in slitlike carbon pores at 273 K. Langmuir 2005, 21, 5639–5646. [Google Scholar] [CrossRef]
- Huang, L.; Ning, Z.; Wang, Q.; Qi, R.; Zeng, Y.; Qin, H.; Ye, H.; Zhang, W. Molecular simulation of adsorption behaviors of methane, carbon dioxide and their mixtures on kerogen: Effect of kerogen maturity and moisture content. Fuel 2018, 211, 159–172. [Google Scholar] [CrossRef]
- Liu, B.; Shi, J.; Shen, Y.; Zhang, J. A molecular dynamics simulation of methane adsorption in graphite slit-pores. Chin. J. Comput. Phys. 2013, 30, 692–699. [Google Scholar]
- Wu, H.; Chen, J.; Liu, H. Molecular dynamics simulations about adsorption and displacement of methane in carbon nanochannels. J. Phys. Chem. C 2015, 119, 13652–13657. [Google Scholar] [CrossRef]
- Zhu, X.; Zhao, Y.P. Atomic mechanisms and equation of state of methane adsorption in carbon nanopores. J. Phys. Chem. C 2014, 118, 17737–17744. [Google Scholar] [CrossRef]
- Yang, Y.; Jin, Y.; Dong, J.; Song, H.; Chen, Z.; Zhao, B. Theoretical analysis and numerical simulation of methane adsorption behavior on rough surfaces featuring fractal property. Fuel 2024, 362, 130884. [Google Scholar] [CrossRef]
- Lin, K.; Yuan, Q.; Zhao, Y.P. Using graphene to simplify the adsorption of methane on shale in MD simulations. Comput. Mater. Sci. 2017, 133, 99–107. [Google Scholar] [CrossRef]
- Tan, Z.; Gubbins, K.E. Adsorption in carbon micropores at supercritical temperatures. J. Phys. Chem. 1990, 94, 6061–6069. [Google Scholar] [CrossRef]
- Thompson, A.P.; Aktulga, H.M.; Berger, R.; Bolintineanu, D.S.; Brown, W.M.; Crozier, P.S.; in ‘t Veld, P.J.; Kohlmeyer, A.; Moore, S.G.; Nguyen, T.D.; et al. LAMMPS-a flexible simulation tool for particle-based materials modeling at the atomic, meso, and continuum scales. Comput. Phys. Commun. 2022, 271, 108171. [Google Scholar] [CrossRef]
- Liu, J.; Zhang, T.; Sun, S. Review of deep learning algorithms in molecular simulations and perspective applications on petroleum engineering. Geosci. Front. 2024, 15, 101735. [Google Scholar] [CrossRef]
- Delavar, M.; Ghoreyshi, A.A.; Jahanshahi, M.; Khalili, S.; Nabian, N. Equilibria and kinetics of natural gas adsorption on multi-walled carbon nanotube material. RSC Adv. 2012, 2, 4490–4497. [Google Scholar] [CrossRef]
- Rhoderick, G.C.; Carney, J.; Guenther, F.R. NIST Gravimetrically prepared atmospheric level methane in dry air standards suite. Anal. Chem. 2012, 84, 3802–3810. [Google Scholar] [CrossRef]








| Key–Value Pair | ||
|---|---|---|
| 148 | 0.381 | |
| 28 | 0.34 | |
| 64 | 0.3605 |
| Parameters | Values |
|---|---|
| Graphene-layer number | N = 1, 3, 5 |
| Temperature (K) | T = 300, 400, 500, 600 |
| Pressure (MPa) | p = 5, 10, 15, 20, 25, 30 |
| Pore size (nm) | D = 0.5, 1.1, 1.7, 2.8, 5.6, 7.2, 7.9 |
Disclaimer/Publisher’s Note: The statements, opinions and data contained in all publications are solely those of the individual author(s) and contributor(s) and not of MDPI and/or the editor(s). MDPI and/or the editor(s) disclaim responsibility for any injury to people or property resulting from any ideas, methods, instructions or products referred to in the content. |
© 2025 by the authors. Licensee MDPI, Basel, Switzerland. This article is an open access article distributed under the terms and conditions of the Creative Commons Attribution (CC BY) license (https://creativecommons.org/licenses/by/4.0/).
Share and Cite
Yuan, Q.; Yang, J.; Qiu, S.; Xu, P. A Molecular Dynamics Simulation on the Methane Adsorption in Nanopores of Shale. Computation 2025, 13, 79. https://doi.org/10.3390/computation13030079
Yuan Q, Yang J, Qiu S, Xu P. A Molecular Dynamics Simulation on the Methane Adsorption in Nanopores of Shale. Computation. 2025; 13(3):79. https://doi.org/10.3390/computation13030079
Chicago/Turabian StyleYuan, Qiuye, Jinghua Yang, Shuxia Qiu, and Peng Xu. 2025. "A Molecular Dynamics Simulation on the Methane Adsorption in Nanopores of Shale" Computation 13, no. 3: 79. https://doi.org/10.3390/computation13030079
APA StyleYuan, Q., Yang, J., Qiu, S., & Xu, P. (2025). A Molecular Dynamics Simulation on the Methane Adsorption in Nanopores of Shale. Computation, 13(3), 79. https://doi.org/10.3390/computation13030079

