Transport Characteristics of Small Molecules Diffusing near Deforming Blood Cells
Abstract
1. Introduction
2. Materials and Methods
2.1. Method Overview
2.2. Membrane Mechanics
2.3. Flow Dynamics
2.4. Small Molecule Dynamics
2.5. Non-Dimensional Numbers
3. Results and Discussion
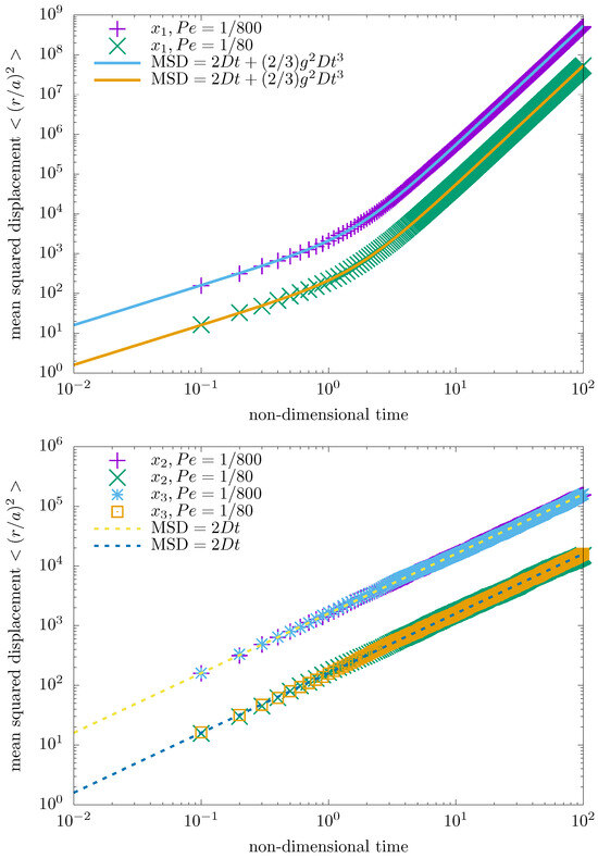
3.1. Validation of Brownian Motion in Shear Flow
3.2. Behavior of Particles near a Spherical Cell
3.3. Behavior of Particles near a Red Blood Cell
4. Conclusions
Funding
Data Availability Statement
Acknowledgments
Conflicts of Interest
References
- Kalogeris, T.; Baines, C.P.; Krenz, M.; Korthuis, R.J. Ischemia/Reperfusion. Compr. Physiol. 2016, 7, 113–170. [Google Scholar] [CrossRef]
- Li, Y.; Zhao, L.; Li, X.F. Hypoxia and the Tumor Microenvironment. Technol. Cancer Res. Treat. 2021, 20, 15330338211036304. [Google Scholar] [CrossRef] [PubMed]
- Pittman, R.N. Oxygen transport in the microcirculation and its regulation. Microcirculation 2013, 20, 117–137. [Google Scholar] [CrossRef] [PubMed]
- Duling, B.R.; Berne, R.M. Longitudinal Gradients in Periarteriolar Oxygen Tension. Circ. Res. 1970, 27, 669–678. [Google Scholar] [CrossRef] [PubMed]
- Vanderkooi, J.M.; Maniara, G.; Green, T.J.; Wilson, D.F. An optical method for measurement of dioxygen concentration based upon quenching of phosphorescence. J. Biol. Chem. 1987, 262, 5476–5482. [Google Scholar] [CrossRef]
- Golub, A.S.; Pittman, R.N. Recovery of radial Po2 profiles from phosphorescence quenching measurements in microvessels. Comp. Biochem. Physiol. Part A Mol. Integr. Physiol. 2002, 132, 169–176. [Google Scholar] [CrossRef]
- Pittman, R.N.; Duling, B.R. Measurement of percent oxyhemoglobin in the microvasculature. J. Appl. Physiol. 1975, 38, 321–327. [Google Scholar] [CrossRef] [PubMed]
- Krogh, A. The number and distribution of capillaries in muscles with calculations of the oxygen pressure head necessary for supplying the tissue. J. Physiol. 1919, 52, 409–415. [Google Scholar] [CrossRef]
- Federspiel, W.J.; Popel, A.S. A Theoretical Analysis of the Effect of the Particulate Nature of Blood on Oxygen Release in Capillaries. Microvasc. Res. 1986, 32, 164–189. [Google Scholar] [CrossRef]
- Roca, J.; Agusti, A.G.; Alonso, A.; Poole, D.C.; Viegas, C.; Barbera, J.A.; Rodriguez-Roisin, R.; Ferrer, A.; Wagner, P.D. Effects of training on muscle O2 transport at VO2max. J. Appl. Physiol. 1992, 73, 1067–1076. [Google Scholar] [CrossRef]
- Golub, A.S.; Pittman, R.N. Erythrocyte-associated transients in Po2 revealed in capillaries of rat mesentery. Am. J. Physiol. Heart Circ. Physiol. 2005, 288, H2735–H2743. [Google Scholar] [CrossRef]
- Afas, K.C.; Vijay, R.; Goldman, D. A two-compartment model of oxygen transport in skeletal muscle using continuously distributed capillaries. Math. Biosci. 2021, 333, 108535. [Google Scholar] [CrossRef] [PubMed]
- Nix, S.; Imai, Y.; Matsunaga, D.; Yamaguchi, T.; Ishikawa, T. Lateral migration of a spherical capsule near a plane wall in Stokes flow. Phys. Rev. E 2014, 90, 043009. [Google Scholar] [CrossRef] [PubMed]
- Nix, S.; Imai, Y.; Ishikawa, T. Lateral migration of a capsule in a parabolic flow. J. Biomech. 2016, 49, 2249–2254. [Google Scholar] [CrossRef] [PubMed]
- Evans, E.; Fung, Y.C. Improved measurements of the erythrocyte geometry. Microvasc. Res. 1972, 4, 335–347. [Google Scholar] [CrossRef] [PubMed]
- Skalak, R.; Tozeren, A.; Zarda, R.; Chien, S. Strain Energy Function of Red Blood Cell Membranes. Biophys. J. 1973, 13, 245–264. [Google Scholar] [CrossRef]
- Helfrich, W. Elastic Properties of Lipid Bilayers: Theory and Possible Experiments. Z. Naturforschung C 1973, 28, 693–703. [Google Scholar] [CrossRef]
- Katayama, Y.; Terauti, R. Brownian motion of a single particle under shear flow. Eur. J. Phys. 1996, 17, 136–140. [Google Scholar] [CrossRef]
- Goldstick, T.K.; Ciuryla, V.T.; Zuckerman, L. Diffusion of oxygen in plasma and blood. Adv. Exp. Med. Biol. 1976, 75, 183–190. [Google Scholar] [CrossRef]
- Abkarian, M.; Viallat, A. Vesicles and red blood cells in shear flow. Soft Matter 2008, 4, 653. [Google Scholar] [CrossRef] [PubMed]
- Walter, J.; Salsac, A.V.; Barthès-Biesel, D. Ellipsoidal capsules in simple shear flow: Prolate versus oblate initial shapes. J. Fluid Mech. 2011, 676, 318–347. [Google Scholar] [CrossRef]






Disclaimer/Publisher’s Note: The statements, opinions and data contained in all publications are solely those of the individual author(s) and contributor(s) and not of MDPI and/or the editor(s). MDPI and/or the editor(s) disclaim responsibility for any injury to people or property resulting from any ideas, methods, instructions or products referred to in the content. |
© 2025 by the author. Licensee MDPI, Basel, Switzerland. This article is an open access article distributed under the terms and conditions of the Creative Commons Attribution (CC BY) license (https://creativecommons.org/licenses/by/4.0/).
Share and Cite
Nix, S. Transport Characteristics of Small Molecules Diffusing near Deforming Blood Cells. Computation 2025, 13, 47. https://doi.org/10.3390/computation13020047
Nix S. Transport Characteristics of Small Molecules Diffusing near Deforming Blood Cells. Computation. 2025; 13(2):47. https://doi.org/10.3390/computation13020047
Chicago/Turabian StyleNix, Stephanie. 2025. "Transport Characteristics of Small Molecules Diffusing near Deforming Blood Cells" Computation 13, no. 2: 47. https://doi.org/10.3390/computation13020047
APA StyleNix, S. (2025). Transport Characteristics of Small Molecules Diffusing near Deforming Blood Cells. Computation, 13(2), 47. https://doi.org/10.3390/computation13020047

