Reconstructing the Magnetic Field in an Arbitrary Domain via Data-Driven Bayesian Methods and Numerical Simulations
Abstract
1. Introduction
2. Mathematical Formulation and Presentation of the Algorithm
2.1. Mathematical Framework for the Inverse Problem
2.2. Bayesian Inverse Problems
2.3. Presentation of the Algorithm for Solving the Inverse Problem
| Algorithm 1 Data-driven reconstruction. |
|
- We assume that the physical system is described by a set of differential equations which involve unknown parameters . For the applications considered here, the latter appear in the boundary conditions of the system. Therefore, our method can be applied to inverse problems with uncertain boundary conditions, which has received less attention in previous research. In terms of the physical domain, the proposed algorithm can be applied to any geometry, regardless of its complexity. The algorithm can accommodate data that are sparsely distributed across extensive domains.
- If the data y are sparsely distributed, clustering can be applied to group the data points, enabling a differentiated analysis for each group. Clustering ensures that each region of the domain is assigned a tailored prior distribution, improving the accuracy of the Bayesian inference process. We used the k-means algorithm [30,31] for its simplicity and computational efficiency in our examples, supported by the silhouette method [32], to determine the optimal number of clusters. Although k-means is well suited for data with clear boundaries and Euclidean geometry, alternative clustering algorithms (e.g., hierarchical clustering [33]) may be explored in future work. It is important to note that clustering inaccuracies can affect the estimation of boundary conditions and, consequently, the quality of the reconstruction. To mitigate this risk, we validated the clustering results using the Silhouette method, ensuring reliable groupings. Additional details are provided in Appendix A.
- Depending on the physical system under consideration, different forward models, likelihood functions, and prior distributions may be appropriate. Although normal priors are assumed in this paper, alternative distributions, such as exponential or gamma, may be more suitable for other problems.
- The optimization algorithm chosen to maximize the posterior function must be in line with the complexity and accuracy requirements of the problem at hand. For this work, we employed stochastic optimization methods [34], specifically dual annealing [35] and differential evolution [36], due to their robustness in handling non-convex optimization problems. These methods are particularly effective in navigating high-dimensional parameter spaces and avoiding local minima, a critical consideration given the complexity of the posterior distributions in our Bayesian framework. In addition, these approaches reduce the risk of bias associated with initial guessing, ensuring a more thorough exploration of the solution space. For more information on optimization algorithms, see Appendix B.
- We consider Gaussian noise for our likelihood function and a constant noise term . However, the noise level can also be treated as a random parameter within the Bayesian framework, allowing us to estimate the noise in conjunction with the model parameters.
- Our algorithm is constructed to operate within a complete Bayesian framework. It can accommodate clustering if necessary and, despite the increased computational demand, is designed to solve the forward model directly.
- Surrogate models [37] can be used to reduce computational costs but can affect precision depending on the quality of the approximation.
3. The Forward Problem
3.1. The Finite Element Method in the Unconstrained Problem
3.1.1. Mathematical Details
3.1.2. The Geometry and Finite Element Method Basis
3.1.3. Example
3.2. Constrained Minimization
3.2.1. Formulation of the Forward Constrained Problem

3.2.2. Finite Element Method Applied in the Constrained Minimization Problem
3.2.3. Example
4. Reconstructing the Magnetic Field in a Specific Domain
4.1. The Reconstruction Process
4.2. Test Case 1: Single Prior Data
4.3. Test Case 2: Multiple Prior Data
5. Conclusions and Perspectives
Author Contributions
Funding
Data Availability Statement
Conflicts of Interest
Abbreviations
| MF | Magnetic field |
| GMF | Galactic magnetic field |
| MLE | Maximum likelihood estimate |
| MAP | Maximum a posteriori |
| MCMC | Markov chain Monte Carlo |
| FEM | Finite element method |
| PDE | Partial differential equation |
Appendix A. Clustering
Appendix A.1. k-Means
- Choose the number of clusters (that is, two).
- Assume two random points anywhere near the data and consider them as the center of two clusters (centroids).
- Find the distance of every data point from both centroids.
- Assign every data point to the centroid to which it is nearest, hence making two clusters.
- Calculate the center of both the formed clusters and shift the centroids there.
- Go to Step 3 and repeat the process until there is no change in the clusters formed.
Appendix A.2. The Silhouette Method
- Compute the average distance of that point with all other points in the same cluster, .
- Calculate the average distance of that point with all points in the group closest to its group, .
- The silhouette coefficient is defined as follows:
- After computing the silhouette coefficient for each point, average it out to get the silhouette score.
Appendix B. Optimization Methods
Appendix C. Minimization of the Constrained Action
Appendix D. Details in the Implementation of the Algorithm for the Reconstruction of the Magnetic Field
- In the general case, we do not know the true number of normal distributions that make up the boundary conditions. This is true in our example if the synthetic data are created after dividing the boundary of the cone into planes. To address this, we use a clustering approach to group the sparse data points based on their proximity and value to each other (see Appendix A). The number of clusters then corresponds to the number of normal distributions that make up the boundary conditions. We associate each cluster with a prior distribution with each point in the boundary associated with the cluster spatially closer to it. The unknown parameters are the mean values of the aforementioned normal distributions. In this work, we assume that the means of the normal distributions in the boundary conditions are independent. We choose as their values the mean of the data of each respective cluster, , while for standard deviations, we consider them all equal to one. So, the total prior is defined as a product:with as our unknown parameters, representing the mean value of the x-component of the MF in each plane.
- Consider then a initial guess for . By solving the forward problem we define the cost function as follows:The likelihood is considered to be Gaussian:or
- The logarithm of the posterior is as follows:
- The maximum a posteriori problem is defined as shown in the main text. So, to find the maximum a posteriori estimate of the model parameters, we minimize the negative logarithm of the posterior distribution using stochastic optimization methods such as dual annealing.After the dual annealing minimization method converges to a global minimum and we find a first approximation for , we can also calculate the residuals:After that, we repeat the calculation and average the results, thus finding and and their respective statistical errors. Provided the calculation is successful, we should recover the mean value of the parameters that were used to generate the synthetic data, i.e., the results of the optimization are the inferred mean values of the normal distributions that make up the boundary conditions.Our proposed inverse problem algorithm should then recover the mean values of these distributions.
- A solution of the forward model gives the MF in the whole cone domain, thus completing the reconstruction calculation.
Appendix E. Tables with the Results That Were Omitted in the Main Text
| Percentage of Data We Remove | Residuals | |
|---|---|---|
| Percentage of Data We Remove | Residuals | |
|---|---|---|
Appendix F. Quantification of Uncertainty: Confidence and Prediction Intervals Based on Data Sparsity
| Percentage | CI Lower | CI Upper | PI Lower | PI Upper |
|---|---|---|---|---|
| 0% | 9.9972 | 10.0096 | 9.9937 | 10.0131 |
| 50% | 9.9811 | 9.9966 | 9.9742 | 10.0035 |
| 75% | 10.0120 | 10.0277 | 10.0048 | 10.0349 |
| 90% | 9.9901 | 10.0079 | 9.9835 | 10.0145 |
| 95% | 9.9845 | 10.0049 | 9.9774 | 10.0120 |
| 99% | 9.9704 | 9.9983 | 9.9625 | 10.0062 |
| Percentage of Data We Remove | CI Prior 1 | PI Prior 1 | CI Prior 2 | PI Prior 2 | ||||
|---|---|---|---|---|---|---|---|---|
| Lower | Upper | Lower | Upper | Lower | Upper | Lower | Upper | |
| 0% | 9.997 | 10.009 | 9.993 | 10.013 | 19.982 | 19.995 | 19.978 | 19.999 |
| 50% | 9.981 | 9.996 | 9.974 | 10.003 | 19.959 | 19.974 | 19.952 | 19.981 |
| 75% | 10.012 | 10.027 | 10.005 | 10.034 | 20.001 | 20.017 | 19.994 | 20.024 |
| 90% | 9.990 | 10.007 | 9.983 | 10.014 | 19.952 | 19.969 | 19.945 | 19.976 |
| 95% | 9.984 | 10.004 | 9.977 | 10.012 | 20.012 | 20.027 | 20.005 | 20.034 |
| Percentage of Data We Remove | CI Prior 3 | PI Prior 3 | CI Prior 4 | PI Prior 4 | ||||
| Lower | Upper | Lower | Upper | Lower | Upper | Lower | Upper | |
| 0% | 29.820 | 29.859 | 29.807 | 29.872 | 40.003 | 40.047 | 39.990 | 40.060 |
| 50% | 30.092 | 30.140 | 30.075 | 30.157 | 39.570 | 39.624 | 39.553 | 39.641 |
| 75% | 29.381 | 29.439 | 29.364 | 29.456 | 39.684 | 39.727 | 39.667 | 39.744 |
| 90% | 29.853 | 29.911 | 29.836 | 29.928 | 39.924 | 39.976 | 39.907 | 39.993 |
| 95% | 30.185 | 30.259 | 30.161 | 30.283 | 39.430 | 39.474 | 39.413 | 39.491 |
Appendix G. Time and Space Complexity Analysis
- Domain: Unit cube in 3D space.
- Element Type: Linear tetrahedral element ().
- Boundary Conditions: Fixed using a single prior.
- Data Sparsity: 50% of the synthetic data was removed.
- Realization Count: A single realization was performed to focus on the scaling behavior rather than statistical variation.
- Solver: The default direct solver (LU decomposition) from the PETSc backend in FEniCSx was used.
- The computations were performed on a workstation with an AMD Ryzen Threadripper PRO 5995WX Processor equipped with 256 GB of DDR4 3200 MHz memory.

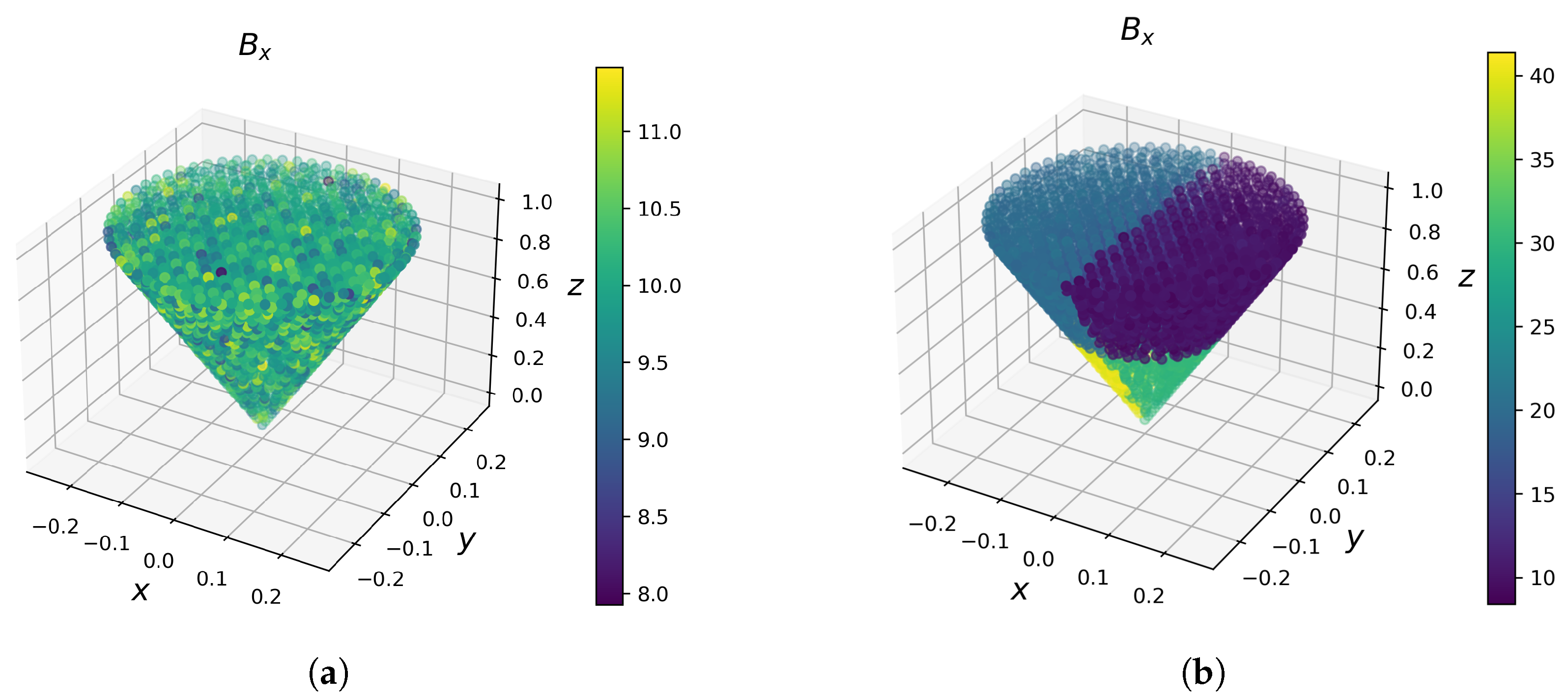
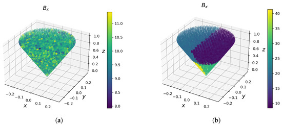
Appendix H. The Reconstructed Magnetic Field

References
- Aster, R.C.; Borchers, B.; Thurber, C.H. Parameter Estimation and Inverse Problems; Elsevier: Amsterdam, The Netherlands, 2013; p. 392. [Google Scholar] [CrossRef]
- Bissantz, N.; Holzmann, H. Statistical inference for inverse problems. Inverse Probl. 2008, 24, 034009. [Google Scholar] [CrossRef]
- Arridge, S.; Maass, P.; Öktem, O.; Schönlieb, C.B. Solving inverse problems using data-driven models. Acta Numer. 2019, 28, 1–174. [Google Scholar] [CrossRef]
- Kabanikhin, S.I. Inverse Problems of Natural Science. Comp. Math. Math. Phys. 2020, 60, 911–914. [Google Scholar] [CrossRef]
- Stuart, A.M. Inverse problems: A Bayesian perspective. Acta Numer. 2010, 19, 451–559. [Google Scholar] [CrossRef]
- Cui, T.; Marzouk, Y.; Willcox, K. Scalable posterior approximations for large-scale Bayesian inverse problems via likelihood-informed parameter and state reduction. J. Comput. Phys. 2016, 315, 363–387. [Google Scholar] [CrossRef]
- Snieder, R.; Trampert, J. Inverse Problems in Geophysics. In CISM International Centre for Mechanical Sciences; Springer: Vienna, Austria, 1999; pp. 119–190. [Google Scholar] [CrossRef]
- Vogt, C.; Enßlin, T.A. A Bayesian view on Faraday rotation maps – Seeing the magnetic power spectra in galaxy clusters. Astron. Astrophys. 2005, 434, 67–76. [Google Scholar] [CrossRef]
- Liebsch, M.; Russenschuck, S.; Kurz, S. BEM-Based Magnetic Field Reconstruction by Ensemble Kálmán Filtering. Comput. Methods Appl. Math. 2022, 23, 405–424. [Google Scholar] [CrossRef]
- Broeren, T.; Klein, K.G.; TenBarge, J.M.; Dors, I.; Roberts, O.W.; Verscharen, D. Magnetic Field Reconstruction for a Realistic Multi-Point, Multi-Scale Spacecraft Observatory. Front. Astron. Space Sci. 2021, 8, 727076. [Google Scholar] [CrossRef]
- Denton, R.E.; Liu, Y.H.; Hasegawa, H.; Torbert, R.B.; Li, W.; Fuselier, S.; Burch, J.L. Polynomial Reconstruction of the Magnetic Field Observed by Multiple Spacecraft With Integrated Velocity Determination. J. Geophys. Res. Space Phys. 2022, 127, e2022JA030512. [Google Scholar] [CrossRef]
- Baader, J.E.; Casalbuoni, S. Magnetic field reconstruction using the pulsed wire method: An accuracy analysis. Measurement 2022, 193, 110873. [Google Scholar] [CrossRef]
- Donnelly, C.; Gliga, S.; Scagnoli, V.; Holler, M.; Raabe, J.; Heyderman, L.J.; Guizar-Sicairos, M. Tomographic reconstruction of a three-dimensional magnetization vector field. New J. Phys. 2018, 20, 083009. [Google Scholar] [CrossRef]
- Tsouros, A.; Enßlin, T.; Mastorakis, M.; Pavlidou, V. Reconstructing Galactic magnetic fields from local measurements for backtracking ultra-high-energy cosmic rays. Astron. Astrophys. 2023, 681, A111. [Google Scholar] [CrossRef]
- Tsouros, A.; Bendre, A.B.; Edenhofer, G.; Enßlin, T.; Frank, P.; Mastorakis, M.; Pavlidou, V. Nonparametric Bayesian reconstruction of Galactic magnetic fields using information field theory: The inclusion of line-of-sight information in ultrahigh-energy cosmic-ray backtracing. Astron. Astrophys. 2024, 690, A102. [Google Scholar] [CrossRef]
- Raissi, M.; Perdikaris, P.; Karniadakis, G. Physics-informed neural networks: A deep learning framework for solving forward and inverse problems involving nonlinear partial differential equations. J. Comput. Phys. 2019, 378, 686–707. [Google Scholar] [CrossRef]
- Karniadakis, G.E.; Kevrekidis, I.G.; Lu, L.; Perdikaris, P.; Wang, S.; Yang, L. Physics-informed machine learning. Nat. Rev. Phys. 2021, 3, 422–440. [Google Scholar] [CrossRef]
- Christofi, E.; Bačová, P.; Harmandaris, V.A. Physics-Informed Deep Learning Approach for Reintroducing Atomic Detail in Coarse-Grained Configurations of Multiple Poly(lactic acid) Stereoisomers. J. Chem. Inf. Model. 2024, 64, 1853–1867. [Google Scholar] [CrossRef]
- Liang, D.; Cheng, J.; Ke, Z.; Ying, L. Deep Magnetic Resonance Image Reconstruction: Inverse Problems Meet Neural Networks. IEEE Signal Process Mag. 2020, 37, 141–151. [Google Scholar] [CrossRef] [PubMed]
- Tobar, F.; Robert, A.; Silva, J.F. Gaussian process deconvolution. Proc. R. Soc. A Math. Phys. Eng. Sci. 2023, 479, 20220648. [Google Scholar] [CrossRef]
- Newbury, P.R.; Spiteri, R.J. Inverting Gravitational Lenses. SIAM Rev. 2002, 44, 111–130. [Google Scholar] [CrossRef]
- Cao, N.; Xie, J.; Zhang, A.; Hou, S.Y.; Zhang, L.; Zeng, B. Neural networks for quantum inverse problems. New J. Phys. 2022, 24, 063002. [Google Scholar] [CrossRef]
- Kaipio, J.P.; Somersalo, E. Statistical and Computational Inverse Problems; Springer: New York, NY, USA, 2005. [Google Scholar] [CrossRef]
- Hu, X.; Xu, X.; Chen, W. Numerical method for the inverse heat transfer problem in composite materials with Stefan-Boltzmann conditions. Lect. Notes. Pure Appl. 2009, 33, 471–489. [Google Scholar] [CrossRef]
- Yan, L.; Zhou, T. Adaptive multi-fidelity polynomial chaos approach to Bayesian inference in inverse problems. J. Comput. Phys. 2019, 381, 110–128. [Google Scholar] [CrossRef]
- Padmanabha, G.A.; Zabaras, N. Solving inverse problems using conditional invertible neural networks. J. Comput. Phys. 2021, 433, 110194. [Google Scholar] [CrossRef]
- Huang, D.Z.; Schneider, T.; Stuart, A.M. Iterated Kalman methodology for inverse problems. J. Comput. Phys. 2022, 463, 111262. [Google Scholar] [CrossRef]
- Ghosh, J.K. An Introduction to Bayesian Analysis Theory and Methods; Springer: New York, NY, USA, 2006. [Google Scholar]
- Brooks, S. Handbook for Markov Chain Monte Carlo; Taylor & Francis: Abingdon, UK, 2011. [Google Scholar]
- Kaufman, L.; Rousseeuw, P.J. (Eds.) Finding Groups in Data; John Wiley & Sons, Inc.: Hoboken, NJ, USA, 1990. [Google Scholar] [CrossRef]
- Hastie, T.; Tibshirani, R.; Friedman, J. The Elements of Statistical Learning; Springer: New York, NY, USA, 2009. [Google Scholar] [CrossRef]
- Rousseeuw, P.J. Silhouettes: A graphical aid to the interpretation and validation of cluster analysis. J. Comput. Appl. Math. 1987, 20, 53–65. [Google Scholar] [CrossRef]
- Johnson, S.C. Hierarchical clustering schemes. Psychometrika 1967, 32, 241–254. [Google Scholar] [CrossRef]
- Maroufpoor, S.; Azadnia, R.; Bozorg-Haddad, O. Stochastic optimization. In Handbook of Probabilistic Models; Elsevier: Amsterdam, The Netherlands, 2020; pp. 437–448. [Google Scholar] [CrossRef]
- Xiang, Y.; Sun, D.; Fan, W.; Gong, X. Generalized simulated annealing algorithm and its application to the Thomson model. Phys. Lett. A 1997, 233, 216–220. [Google Scholar] [CrossRef]
- Lampinen, J. A constraint handling approach for the differential evolution algorithm. In Proceedings of the 2002 Congress on Evolutionary Computation. CEC’02 (Cat. No.02TH8600), Honolulu, HI, USA, 12–17 May 2002; Volume 2, pp. 1468–1473. [Google Scholar] [CrossRef]
- Kennedy, M.C.; O’Hagan, A. Bayesian Calibration of Computer Models. J. R. Stat. Soc. Ser. B Stat. Methodol. 2001, 63, 425–464. [Google Scholar] [CrossRef]
- Magkos, G.; Pavlidou, V. Deflections of ultra-high energy cosmic rays by the Milky Way magnetic field: How well can they be corrected? J. Cosmol. Astropart. Phys. 2019, 2019, 004. [Google Scholar] [CrossRef]
- Tassis, K.; Mouschovias, T.C. Ambipolar-Diffusion Timescale, Star Formation Timescale, and the Ages of Molecular Clouds: Is There a Discrepancy? Astrophys. J. 2004, 616, 283–287. [Google Scholar] [CrossRef][Green Version]
- Pelgrims, V.; Panopoulou, G.V.; Tassis, K.; Pavlidou, V.; Basyrov, A.; Blinov, D.; Gjerløw, E.; Kiehlmann, S.; Mandarakas, N.; Papadaki, A.; et al. Starlight-polarization-based tomography of the magnetized interstellar medium: PASIPHAE’s line-of-sight inversion method. Astron. Astrophys. 2022, 670, A164. [Google Scholar] [CrossRef]
- Jansson, R.; Farrar, G.R. The Galactic Magnetic Field. Astrophys. J. 2012, 761, L11. [Google Scholar] [CrossRef]
- Jansson, R.; Farrar, G.R. A New Model Of The Galactic Magnetic Field. Astrophys. J. 2012, 757, 14. [Google Scholar] [CrossRef]
- Panopoulou, G.V.; Tassis, K.; Skalidis, R.; Blinov, D.; Liodakis, I.; Pavlidou, V.; Potter, S.B.; Ramaprakash, A.N.; Readhead, A.C.S.; Wehus, I.K. Demonstration of magnetic field tomography with starlight polarization toward a diffuse sightline of the ISM. Astrophys. J. 2019, 872, 56. [Google Scholar] [CrossRef]
- Huebner, K.H.; Dewhirst, D.L.; Smith, D.E.; Byrom, T.G. The Finite Element Method for Engineers; Wiley-Interscience: Hoboken, NJ, USA, 2001; p. 744. [Google Scholar]
- Logan, D.L. A First Course in the Finite Element Method; Cengage Learning: Boston, MA, USA, 2012; p. 954. [Google Scholar]
- Alnaes, M.S.; Logg, A.; Ølgaard, K.B.; Rognes, M.E.; Wells, G.N. Unified Form Language: A domain-specific language for weak formulations of partial differential equations. ACM Trans. Math. Softw. 2014, 40, 1–37. [Google Scholar] [CrossRef]
- Scroggs, M.W.; Baratta, I.A.; Richardson, C.N.; Wells, G.N. Basix: A runtime finite element basis evaluation library. J. Open Source Softw. 2022, 7, 3982. [Google Scholar] [CrossRef]
- Scroggs, M.W.; Dokken, J.S.; Richardson, C.N.; Wells, G.N. Construction of arbitrary order finite element degree-of-freedom maps on polygonal and polyhedral cell meshes. ACM Trans. Math. Softw. 2022, 48, 18. [Google Scholar] [CrossRef]
- Trefethen, L.N.; Bau, D. Numerical Linear Algebra; SIAM: Philadelphia, PA, USA, 1997. [Google Scholar]
- Logg, A.; Wells, G.N.; Hake, J. DOLFIN: A C++/Python Finite Element Library. In Automated Solution of Differential Equations by the Finite Element Method; Lecture Notes in Computational Science and Engineering; Logg, A., Mardal, K.A., Wells, G., Eds.; Springer: Berlin/Heidelberg, Germany, 2012; Volume 84, Chapter 10. [Google Scholar]
- Arnold, D.N.; Logg, A. Periodic table of the finite elements. Siam News 2014, 47, 212. [Google Scholar]
- Cockburn, B.; Fu, G. A Systematic Construction of Finite Element Commuting Exact Sequences. SIAM J. Numer. Anal. 2017, 55, 1650–1688. [Google Scholar] [CrossRef]
- The DefElement Contributors. DefElement: An Encyclopedia of Finite Element Definitions. 2023. Available online: https://defelement.com (accessed on 6 February 2023).
- Gresho, P.M.; Sani, R.L. Incompressible Flow and the Finite Element Method, Volume 1, Advection-Diffusion and Isothermal Laminar Flow; Wiley: Hoboken, NJ, USA, 2000; p. 480. [Google Scholar]
- John, V.; Linke, A.; Merdon, C.; Neilan, M.; Rebholz, L.G. On the Divergence Constraint in Mixed Finite Element Methods for Incompressible Flows. SIAM Rev. 2017, 59, 492–544. [Google Scholar] [CrossRef]
- Sime, N.; Maljaars, J.M.; Wilson, C.R.; van Keken, P.E. An Exactly Mass Conserving and Pointwise Divergence Free Velocity Method: Application to Compositional Buoyancy Driven Flow Problems in Geodynamics. Geochem. Geophys. Geosyst. 2021, 22, e2020GC009349. [Google Scholar] [CrossRef]
- Benzi, M.; Golub, G.H.; Liesen, J. Numerical solution of saddle point problems. Acta Numer. 2005, 14, 1–137. [Google Scholar] [CrossRef]
- Paige, C.C.; Saunders, M.A. Solution of Sparse Indefinite Systems of Linear Equations. SIAM J. Numer. Anal. 1975, 12, 617–629. [Google Scholar] [CrossRef]
- Hutschenreuter, S.; Anderson, C.S.; Betti, S.; Bower, G.C.; Brown, J.A.; Brüggen, M.; Carretti, E.; Clarke, T.; Clegg, A.; Costa, A.; et al. The Galactic Faraday rotation sky 2020. Astron. Astrophys. 2022, 657, A43. [Google Scholar] [CrossRef]








Disclaimer/Publisher’s Note: The statements, opinions and data contained in all publications are solely those of the individual author(s) and contributor(s) and not of MDPI and/or the editor(s). MDPI and/or the editor(s) disclaim responsibility for any injury to people or property resulting from any ideas, methods, instructions or products referred to in the content. |
© 2025 by the authors. Licensee MDPI, Basel, Switzerland. This article is an open access article distributed under the terms and conditions of the Creative Commons Attribution (CC BY) license (https://creativecommons.org/licenses/by/4.0/).
Share and Cite
Pavlou, G.E.; Pavlidou, V.; Harmandaris, V. Reconstructing the Magnetic Field in an Arbitrary Domain via Data-Driven Bayesian Methods and Numerical Simulations. Computation 2025, 13, 37. https://doi.org/10.3390/computation13020037
Pavlou GE, Pavlidou V, Harmandaris V. Reconstructing the Magnetic Field in an Arbitrary Domain via Data-Driven Bayesian Methods and Numerical Simulations. Computation. 2025; 13(2):37. https://doi.org/10.3390/computation13020037
Chicago/Turabian StylePavlou, Georgios E., Vasiliki Pavlidou, and Vagelis Harmandaris. 2025. "Reconstructing the Magnetic Field in an Arbitrary Domain via Data-Driven Bayesian Methods and Numerical Simulations" Computation 13, no. 2: 37. https://doi.org/10.3390/computation13020037
APA StylePavlou, G. E., Pavlidou, V., & Harmandaris, V. (2025). Reconstructing the Magnetic Field in an Arbitrary Domain via Data-Driven Bayesian Methods and Numerical Simulations. Computation, 13(2), 37. https://doi.org/10.3390/computation13020037

