Nonsingular Terminal Sliding Mode Control for Vehicular Platoon Systems with Measurement Delays and Noise
Abstract
1. Introduction
- (1)
- The first contribution lies in the design of an SMO for estimating the vehicle states subject to the time-varying measurement delays and noise. Using the Lyapunov–Razumikhin method, the estimation error of SMO achieves uniform ultimate boundedness as long as the varying measurement delays and noise are bounded. Specifically, both the velocity and acceleration of the vehicle are accurately estimated, relying solely on position value subject to measurement delay and noise.
- (2)
- Using the states estimated by an SMO, a disturbed NTSMC is developed to allow the closed-loop system to converge to a neighborhood of the origin in finite time. Sliding mode dynamics composed of state estimates are rigorously analyzed to ensure that the state of the system is maintained in the neighborhood of the ideal sliding mode surface.
- (3)
- A coupled spacing policy is employed in the platoon controller to guarantee string stability of the vehicular platoon system and is independent of initial spacing errors.
2. System Description and Problem Formulation
2.1. System Description
2.2. Problem Formulation
3. Distributed NTSMC Scheme with Sliding Mode Observer
3.1. Design of SMO
- 1.
- When ,where . Defining , if , one has
- 2.
3.2. SMO-Based Distributed Nonsingular Terminal Sliding Mode Control
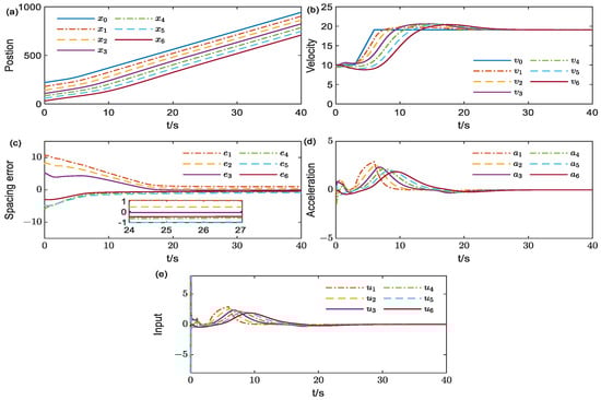
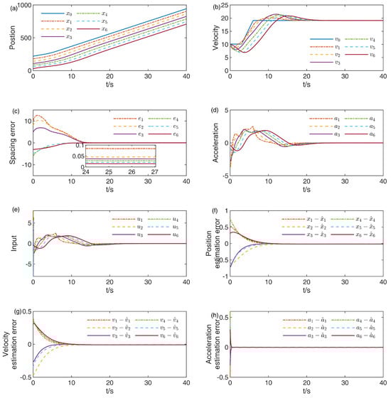
4. Simulation Results
5. Conclusions
Author Contributions
Funding
Data Availability Statement
Conflicts of Interest
References
- Li, S.E.; Zheng, Y.; Li, K.; Wu, Y.; Hedrick, J.K.; Gao, F.; Zhang, H. Dynamical Modeling and Distributed Control of Connected and Automated Vehicles: Challenges and Opportunities. IEEE Intell. Transp. Syst. Mag. 2017, 9, 46–58. [Google Scholar] [CrossRef]
- Xu, L.; Wang, L.Y.; Yin, G.; Zhang, H. Communication information structures and contents for enhanced safety of highway vehicle platoons. IEEE Trans. Veh. Technol. 2014, 63, 4206–4220. [Google Scholar] [CrossRef]
- van de Hoef, S.; Johansson, K.H.; Dimarogonas, D.V. Fuel-Efficient En Route Formation of Truck Platoons. IEEE Trans. Intell. Transp. Syst. 2018, 19, 102–112. [Google Scholar] [CrossRef]
- Li, M.; Li, S.; Luo, X.; Zheng, X.; Guan, X. Distributed periodic event-triggered terminal sliding mode control for vehicular platoon system. Sci. China Inf. Sci. 2023, 66, 229203. [Google Scholar] [CrossRef]
- Wu, J.; Wang, Y.; Shen, Z.; Wang, L.; Du, H.; Yin, C. Distributed multilane merging for connected autonomous vehicle platooning. Sci. China Inf. Sci. 2021, 64, 212202. [Google Scholar] [CrossRef]
- Chang, R.; Hou, T.T.; Bai, Z.Z.; Sun, C.Y. Event-triggered adaptive tracking control for nonlinear systems with input saturation and unknown control directions. Int. J. Robust Nonlinear Control 2024, 34, 3891–3911. [Google Scholar] [CrossRef]
- Chang, R.; Bai, Z.Z.; Zhang, B.Y.; Sun, C.Y. Adaptive finite-time prescribed performance tracking control for unknown nonlinear systems subject to full-state constraints and input saturation. Int. J. Robust Nonlinear Control 2022, 32, 9347–9362. [Google Scholar] [CrossRef]
- Li, Y.; Yin, G.; Zhuang, W.; Zhang, N.; Wang, J.; Geng, K. Compensating delays and noises in motion control of autonomous electric vehicles by using deep learning and unscented Kalman predictor. IEEE Trans. Syst. Man Cybern. Syst. 2020, 50, 4326–4338. [Google Scholar] [CrossRef]
- Germani, A.; Manes, C.; Pepe, P. A new approach to state observation of nonlinear systems with delayed output. IEEE Trans. Autom. Control 2002, 47, 96–101. [Google Scholar] [CrossRef]
- Ahmed-Ali, T.; Karafyllis, I.; Lamnabhi-Lagarrigue, F. Global exponential sampled-data observers for nonlinear systems with delayed measurements. Syst. Control Lett. 2013, 62, 539–549. [Google Scholar] [CrossRef]
- He, Q.; Liu, J. Sliding mode observer for a class of globally Lipschitz non-linear systems with time-varying delay and noise in its output. IET Control Theory Appl. 2014, 8, 1328–1336. [Google Scholar] [CrossRef]
- Ryu, J.; Gerdes, J.C. Integrating inertial sensors with global positioning system (GPS) for vehicle dynamics control. J. Dyn. Sys. Meas. Control 2004, 126, 243–254. [Google Scholar] [CrossRef]
- Wang, Y.; Liu, Y.; Fujimoto, H.; Hori, Y. Vision-Based Lateral State Estimation for Integrated Control of Automated Vehicles Considering Multirate and Unevenly Delayed Measurements. IEEE/ASME Trans. Mechatron. 2018, 23, 2619–2627. [Google Scholar] [CrossRef]
- Fiengo, G.; Lui, D.G.; Petrillo, A.; Santini, S.; Tufo, M. Distributed Robust PID Control For Leader Tracking in Uncertain Connected Ground Vehicles with V2V Communication Delay. IEEE/ASME Trans. Mechatron. 2019, 24, 1153–1165. [Google Scholar] [CrossRef]
- Dasgupta, S.; Raghuraman, V.; Choudhury, A.; Teja, T.N.; Dauwels, J. Merging and splitting maneuver of platoons by means of a novel PID controller. In Proceedings of the 2017 IEEE Symposium Series on Computational Intelligence (SSCI), Honolulu, HI, USA, 27 November–1 December 2017; pp. 1–8. [Google Scholar]
- Tiganasu, A.; Lazar, C.; Caruntu, C.F. Cyber Physical Systems-Oriented Design of Cooperative Control for Vehicle Platooning. In Proceedings of the International Conference on Control Systems & Computer Science, Bucharest, Romania, 29–31 May 2017; pp. 21–27. [Google Scholar]
- Ma, Y.; Li, Z.; Malekian, R.; Zhang, R.; Song, X.; Sotelo, M.A. Hierarchical Fuzzy Logic-Based Variable Structure Control for Vehicles Platooning. IEEE Trans. Intell. Transp. Syst. 2019, 20, 1329–1340. [Google Scholar] [CrossRef]
- Lin, Y.C.; Nguyen, H.L.T. Adaptive Neuro-Fuzzy Predictor-Based Control for Cooperative Adaptive Cruise Control System. IEEE Trans. Intell. Transp. Syst. 2020, 21, 1054–1063. [Google Scholar] [CrossRef]
- Ibrahim, A.; Goswami, D.; Li, H.; Soroa, I.M.; Basten, T. Multi-layer multi-rate model predictive control for vehicle platooning under IEEE 802.11p. Transp. Res. Part C Emerg. Technol. 2021, 124, 102905. [Google Scholar] [CrossRef]
- Yu, K.; Yang, H.; Tan, X.; Kawabe, T.; Guo, Y.; Liang, Q.; Fu, Z.; Zheng, Z. Model Predictive Control for Hybrid Electric Vehicle Platooning Using Slope Information. IEEE Trans. Intell. Transp. Syst. 2016, 17, 1894–1909. [Google Scholar] [CrossRef]
- Liu, P.; Kurt, A.; Ozguner, U. Distributed Model Predictive Control for Cooperative and Flexible Vehicle Platooning. IEEE Trans. Control Syst. Technol. 2019, 27, 1115–1128. [Google Scholar] [CrossRef]
- Kwon, J.W.; Chwa, D. Adaptive Bidirectional Platoon Control Using a Coupled Sliding Mode Control Method. IEEE Trans. Intell. Transp. Syst. 2014, 15, 2040–2048. [Google Scholar] [CrossRef]
- Guo, X.; Wang, J.; Liao, F.; Teo, R.S.H. Distributed Adaptive Integrated-Sliding-Mode Controller Synthesis for String Stability of Vehicle Platoons. IEEE Trans. Intell. Transp. Syst. 2016, 17, 2419–2429. [Google Scholar] [CrossRef]
- Wang, J.; Luo, X.; Yan, J.; Guan, X. Distributed Integrated Sliding Mode Control for Vehicle Platoons Based on Disturbance Observer and Multi Power Reaching Law. IEEE Trans. Intell. Transp. Syst. 2022, 23, 3366–3376. [Google Scholar] [CrossRef]
- Wang, J.; Luo, X.; Wang, L.; Zuo, Z.; Guan, X. Integral Sliding Mode Control Using a Disturbance Observer for Vehicle Platoons. IEEE Trans. Ind. Electron. 2020, 67, 6639–6648. [Google Scholar] [CrossRef]
- Guo, G.; Li, P.; Hao, L.Y. Adaptive Fault-Tolerant Control of Platoons with Guaranteed Traffic Flow Stability. IEEE Trans. Veh. Technol. 2020, 69, 6916–6927. [Google Scholar] [CrossRef]
- Guo, X.G.; Wang, J.L.; Liao, F.; Teo, R.S.H. CNN-Based Distributed Adaptive Control for Vehicle-Following Platoon With Input Saturation. IEEE Trans. Intell. Transp. Syst. 2018, 19, 3121–3132. [Google Scholar] [CrossRef]
- Li, M.; Li, S.; Luo, X.; Fan, Y.; Guan, X. Distributed recursive terminal sliding mode control for vehicular platoon systems with mismatched disturbances. Trans. Inst. Meas. Control, 2024; early access. [Google Scholar] [CrossRef]
- Zheng, X.; Li, S.; Luo, X.; Zhang, Y.; Li, X.; Guan, X. Fast Distributed Platooning of Connected Vehicular Systems With Inaccurate Velocity Measurement. IEEE Trans. Syst. Man Cybern. Syst. 2023, 53, 5996–6006. [Google Scholar] [CrossRef]
- Chang, S.; Wang, Y.; Zuo, Z. Fixed-Time Active Disturbance Rejection Control and Its Application to Wheeled Mobile Robots. IEEE Trans. Syst. Man Cybern. Syst. 2021, 51, 7120–7130. [Google Scholar] [CrossRef]
- Boo, J.; Chwa, D. Integral sliding mode control-based robust bidirectional platoon control of vehicles with the unknown acceleration and mismatched disturbance. IEEE Trans. Intell. Transp. Syst. 2023, 24, 10881–10894. [Google Scholar] [CrossRef]
- Yan, Y.; Du, H.; Han, Q.L.; Li, W. Discrete multi-objective switching topology sliding mode control of connected autonomous vehicles with packet loss. IEEE Trans. Intell. Veh. 2022, 8, 2926–2938. [Google Scholar] [CrossRef]
- Lin, M.F.; Liu, C.L.; Zhang, Y.; Chen, Y.Y. Distributed adaptive sliding-mode control for 2-D plane vehicle platoon with prescribed performance and angle constraint. ISA Trans. 2024, 145, 44–50. [Google Scholar] [CrossRef] [PubMed]
- Wang, J.; Luo, X.; Zhang, Y.; Guan, X. Distributed integrated sliding mode control via neural network and disturbance observer for heterogeneous vehicle systems with uncertainties. Trans. Inst. Meas. Control 2023, 45, 2204–2215. [Google Scholar] [CrossRef]
- Guo, X.; Wang, J.; Liao, F. Neuroadaptive quantized PID sliding-mode control for heterogeneous vehicular platoon with unknown actuator deadzone. Int. J. Robust Nonlinear Control 2019, 29, 188–208. [Google Scholar] [CrossRef]
- Guo, G.; Li, P.; Hao, L.Y. A new quadratic spacing policy and adaptive fault-tolerant platooning with actuator saturation. IEEE Trans. Intell. Transp. Syst. 2020, 23, 1200–1212. [Google Scholar] [CrossRef]
- Cacace, F.; Germani, A.; Manes, C. An observer for a class of nonlinear systems with time varying observation delay. Syst. Control Lett. 2010, 59, 305–312. [Google Scholar] [CrossRef]




| Vehicle i | 1 | 2 | 3 | 4 | 5 | 6 |
|---|---|---|---|---|---|---|
| 0.12 | 0.14 | 0.13 | 0.14 | 0.12 | 0.15 | |
| (m) | 180 | 142 | 107 | 83 | 58 | 31 |
| (m/s) | 9.8 | 10 | 10.1 | 9.9 | 9.9 | 10 |
Disclaimer/Publisher’s Note: The statements, opinions and data contained in all publications are solely those of the individual author(s) and contributor(s) and not of MDPI and/or the editor(s). MDPI and/or the editor(s) disclaim responsibility for any injury to people or property resulting from any ideas, methods, instructions or products referred to in the content. |
© 2024 by the authors. Licensee MDPI, Basel, Switzerland. This article is an open access article distributed under the terms and conditions of the Creative Commons Attribution (CC BY) license (https://creativecommons.org/licenses/by/4.0/).
Share and Cite
Li, M.; Li, S.; Luo, X.; Bai, Z. Nonsingular Terminal Sliding Mode Control for Vehicular Platoon Systems with Measurement Delays and Noise. Computation 2024, 12, 210. https://doi.org/10.3390/computation12100210
Li M, Li S, Luo X, Bai Z. Nonsingular Terminal Sliding Mode Control for Vehicular Platoon Systems with Measurement Delays and Noise. Computation. 2024; 12(10):210. https://doi.org/10.3390/computation12100210
Chicago/Turabian StyleLi, Mengjie, Shaobao Li, Xiaoyuan Luo, and Zhizhong Bai. 2024. "Nonsingular Terminal Sliding Mode Control for Vehicular Platoon Systems with Measurement Delays and Noise" Computation 12, no. 10: 210. https://doi.org/10.3390/computation12100210
APA StyleLi, M., Li, S., Luo, X., & Bai, Z. (2024). Nonsingular Terminal Sliding Mode Control for Vehicular Platoon Systems with Measurement Delays and Noise. Computation, 12(10), 210. https://doi.org/10.3390/computation12100210

