On Numerical Modeling of Thermal Performance Enhancementof a Heat Thermal Energy Storage System Using a Phase Change Material and a Porous Foam
Abstract
:1. Introduction
2. Physical and Mathematical Problem
2.1. Physical Model
2.2. Conjectures
2.3. Mathematical Formulation
2.4. Boundary and Initial Conditions (B & ICs)
- , and (IC);
- at and (channel entrance);
- at and (channel exit);
- (no-slip condition) and (adiabatic condition) at and (Top and Bottom walls, respectively).
2.5. Entropy Generation Rate
2.6. LTNE Intensity
3. Lattice Boltzmann Method (LBM)
3.1. LB Equations
3.2. Validation
4. Results
4.1. Grid Test
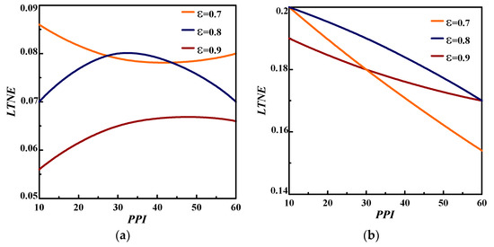
4.2. PPI’s Effect on the LTNE Condition
4.3. PPI’s Effect on the Dimensionless Entropy Generation Rate
5. Conclusions
- Enthalpy-based REV-TLBM method has a robust ability for handling the phase change phenomena in a porous channel subjected to steady forced fluid flow.
- During charging and discharging process, the LTNE hypothesis is valid for the case of Re = 200 and 400 whatever the PPI and .
- For the melting and solidifying periods, small PPI (=10) and porosity () give a maximum LTNE regardless of Re.
- The system irreversibility can be reduced via a small PPI (=10) and Re (=200) during the charging case, while a large value (PPI = 60) can be used during the discharging period.
- High porosity (=0.9) is recommended to mitigate the system irreversibility whatever the parameters deemed.
- From the channel’s 1/5 and during the solidification process, thermal conduction dominates the overall heat transfer as the PPI increases.
- During the charging process, a low porosity value (=0.7) with a low PPI (=10) improves heat transfer, reduces the system irreversibility and speeds up the melting rate, while for a high porosity (=0.9), a moderate PPI (=30) should be considered an optimal value during the fusion loop. This was supported in Ref. [2].
- During the solidification process, an increase in PPI gives rise to a thermal conduction improvement. For more details, one could consult Ref. [3].
- Tracks such as the use of porous media with inexpensive MCPs can be followed to better deepen our knowledge of such systems.
- PCMs and latent heat energy storage systems should be also economically analysed to assess their feasibility on commercial scale, as the initial cost for setting up such systems may turn out to be high.
Author Contributions
Funding
Data Availability Statement
Acknowledgments
Conflicts of Interest
Nomenclature
| Specific interfacial area () | |
| Biot number, | |
| Lattice speed () | |
| Specific heat capacity at constant pressure () | |
| Sound speed () | |
| Darcy number, | |
| Ligament diameter () | |
| Pore size () | |
| Eckert number, | |
| Discrete velocity in direction i | |
| Forchheimer form coefficient | |
| Body force per unit mass () | |
| Discrete body force in direction i() | |
| Distribution function in direction i | |
| Equilibrium distribution function in direction i | |
| Characteristic length scale () | |
| Forchheimer form coefficient | |
| Interfacial heat transfer coefficient () | |
| Porous medium permeability () | |
| Thermal conductivity ratio, | |
| Latent heat () | |
| Interstitial Nusselt number, | |
| Dimensionless pressure | |
| Pressure () | |
| Prandtl number, | |
| Reynolds number, | |
| Pore Reynolds number, | |
| Heat capacity ratio, | |
| Stefan number, () | |
| Temperature () | |
| PCM melting temperature () | |
| Dimensionlesstemperature | |
| Time (s) | |
| Velocity () | |
| Dimensionless velocity | |
| Cartesian coordinates () | |
| Dimensionless coordinates | |
| Greek symbols | |
| Gradient operator | |
| Divergence operator | |
| Laplacian operator | |
| Lattice step | |
| Time step | |
| Thermal diffusivity () | |
| Media porosity | |
| Pore density (PPI) | |
| Thermal conductivity () | |
| Dynamic fluid viscosity () | |
| PCM’s melting fraction | |
| Kinematic viscosity () | |
| Density () | |
| Dimensionless time | |
| Dimensionless relaxation time | |
| Weight coefficient in direction i | |
| Superscripts/subscripts | |
| eff | Effective |
| f | Fluid |
| s | Solid |
| h | Hot |
| m | Melting |
| Initial state | |
| in | Inlet |
| out | Outlet |
| Ref | Reference |
References
- Li, D.; Ding, Y.; Wang, P.; Wang, S.; Yao, H.; Wang, J.; Huang, Y. Integrating Two-Stage Phase Change Material Thermal Storage for Cascaded Waste Heat Recovery of Diesel-Engine-Powered Distributed Generation Systems: A Case Study. Energies 2019, 12, 2121. [Google Scholar] [CrossRef] [Green Version]
- Mabrouk, R.; Naji, H.; Dhahri, H.; Younsi, Z. Insight into Foam Pore Effect on Phase Change Process in a Plane Channel under Forced Convection Using the Thermal Lattice Boltzmann Method. Energies 2020, 13, 3979. [Google Scholar] [CrossRef]
- Tao, Y.B.; You, Y.; He, Y.L. Lattice Boltzmann simulation on phase change heat transfer in metal foams/paraffin composite phase change material. Appl. Therm. Eng. 2016, 93, 476–485. [Google Scholar] [CrossRef]
- Mabrouk, R.; Dhahri, H.; Naji, H.; Hammouda, S.; Younsi, Z. Lattice Boltzmann simulation of forced convection melting of a composite phase change material with heat dissipation through an open-ended channel. Int. J. Heat Mass Transf. 2020, 153, 119606. [Google Scholar] [CrossRef]
- Sardari, P.T.; Mohammed, H.I.; Giddings, D.; Gillott, M.; Grant, D. Numerical study of a multiple-segment metal foam-PCM latent heat storage unit: Effect of porosity, pore density and location of heat source. Energy 2019, 189, 116108. [Google Scholar] [CrossRef]
- Zadeh, S.M.H.; Mehryan, S.A.M.; Ghalambaz, M.; Ghodrat, M.; Young, J.; Chamkha, A. Hybrid thermal performance enhancement of a circular latent heat storage system by utilizing partially filled copper foam and Cu/GO nano-additives. Energy 2020, 213, 118761. [Google Scholar] [CrossRef]
- Zhang, C.; Yu, M.; Fan, Y.; Zhang, X.; Zhao, Y.; Qiu, L. Numerical study on heat transfer enhancement of PCM using three combined methods based on heat pipe. Energy 2020, 195, 116809. [Google Scholar] [CrossRef]
- Esapour, M.; Hamzehnezhad, A.; Darzi, A.A.R.; Jourabian, M. Melting and solidification of PCM embedded in porous metal foam in horizontal multi-tube heat storage system. Energy Convers. Manag. 2018, 171, 398–410. [Google Scholar] [CrossRef]
- Yang, X.H.; Bai, Q.S.; Zhang, Q.L.; Hu, W.J.; Jin, L.W.; Yan, J.Y. Thermal and economic analysis of charging and discharging characteristics of composite phase change materials for cold storage. Appl. Energy 2018, 225, 585–599. [Google Scholar] [CrossRef]
- Nield, D.A.; Bejan, A. Convection in Porous Media, 4th ed.; Springer: New York, NY, USA, 2013. [Google Scholar]
- Gao, D.; Tian, F.B.; Chen, Z.; Zhang, D. An improved lattice Boltzmann method for solid-liquid phase change in porous media under local thermal non-equilibrium conditions. Int. J. Heat Mass Transf. 2017, 110, 58–62. [Google Scholar] [CrossRef] [Green Version]
- Joshi, V.; Rathod, M.K. Constructal enhancement of thermal transport in metal foam-PCM composite-assisted latent heat thermal energy storage system. Numer. Heat Transf. Appl. A 2019, 75, 413–433. [Google Scholar] [CrossRef]
- Settar, A.; Nebbali, R.; Madani, B.; Abboudi, S. Numerical investigation of convective heat transfer in a plane channel filled with metal foam under local thermal non-equilibrium. Mech. Ind. 2015, 16, 504. [Google Scholar] [CrossRef]
- Boomsma, K.; Poulikakos, D. Ontheeffectivethermalconductivityofathree-dimensionallystructuredfluid-saturatedmetalfoam. Int. J. Heat Mass Transf. 2001, 44, 827–836. [Google Scholar] [CrossRef]
- Boomsma, K.; Poulikakos, D. Corrigendum. Int. J. Heat Mass Transf. 2011, 1, 746–748. [Google Scholar] [CrossRef]
- López-Núñez, O.A.; Alfaro-Ayala, J.A.; Jaramillo, O.A.; Ramírez-Minguela, J.J.; Carlos Castro, J.; Damian-Ascencio, C.E.; Cano-Andrade, S. A numerical analysis of the energy and entropy generationrateinaLinearFresnelReflectorusing computational fluid dynamics. Renew. Energy 2020, 146, 1083–1100. [Google Scholar] [CrossRef]
- Mabrouk, R.; Naji, H.; Dhahri, H.; Hammouda, S.; Younsi, Z. Numerical investigation of porosity effect on a PCM’s thermal performance in a porous rectangular channel via thermal lattice Boltzmann method. Int. Commun. Heat Mass Transf. 2020, 153, 119606. [Google Scholar] [CrossRef]
- Huang, R.; Wu, H. Phase interface effects in the total enthalpy-based lattice Boltzmann model for solid–liquid phase change. J. Comp. Phys. 2015, 294, 346–362. [Google Scholar] [CrossRef]
- Gao, D.; Chen, Z.; Chen, L. A thermal lattice Boltzmann model for natural convectioninporousmediaunderlocalthermalnon-equilibriumconditions. Int. J. Heat Mass Transf. 2014, 70, 979–989. [Google Scholar] [CrossRef]
- Krishnan, S.; Murthy, J.Y.; Garimella, S.V. Atwo-temperaturemodelforsolid-liquidphasechangeinmetalfoams. J. Heat Transf. 2005, 127, 995–1004. [Google Scholar] [CrossRef] [Green Version]










Publisher’s Note: MDPI stays neutral with regard to jurisdictional claims in published maps and institutional affiliations. |
© 2022 by the authors. Licensee MDPI, Basel, Switzerland. This article is an open access article distributed under the terms and conditions of the Creative Commons Attribution (CC BY) license (https://creativecommons.org/licenses/by/4.0/).
Share and Cite
Mabrouk, R.; Naji, H.; Dhahri, H.; Younsi, Z. On Numerical Modeling of Thermal Performance Enhancementof a Heat Thermal Energy Storage System Using a Phase Change Material and a Porous Foam. Computation 2022, 10, 3. https://doi.org/10.3390/computation10010003
Mabrouk R, Naji H, Dhahri H, Younsi Z. On Numerical Modeling of Thermal Performance Enhancementof a Heat Thermal Energy Storage System Using a Phase Change Material and a Porous Foam. Computation. 2022; 10(1):3. https://doi.org/10.3390/computation10010003
Chicago/Turabian StyleMabrouk, Riheb, Hassane Naji, Hacen Dhahri, and Zouhir Younsi. 2022. "On Numerical Modeling of Thermal Performance Enhancementof a Heat Thermal Energy Storage System Using a Phase Change Material and a Porous Foam" Computation 10, no. 1: 3. https://doi.org/10.3390/computation10010003
APA StyleMabrouk, R., Naji, H., Dhahri, H., & Younsi, Z. (2022). On Numerical Modeling of Thermal Performance Enhancementof a Heat Thermal Energy Storage System Using a Phase Change Material and a Porous Foam. Computation, 10(1), 3. https://doi.org/10.3390/computation10010003

