Information and Inference
Abstract
:1. Introduction
“What makes relevant inferences possible […] is the existence in the world of dependable regularities. Some, like the laws of physics, are quite general. Others, like the bell-food regularity in Pavlov’s lab, are quite transient and local. […] No regularities, no inference. No inference, no action.”
2. The Model for Information
“Technologies therefore share common ancestries and combine, morph, and combine again to create further technologies. Technology evolves much as a coral reef builds itself from activities of small organisms—it creates itself from itself.”
3. Information and Inference
3.1. Selection and Inference
3.2. Reliability
3.3. Inference Patterns
3.4. Content and Event Inference
“does the search include content only […] or also events […]? Call the former ‘content interpretation’ and the latter ‘event interpretation’. In both cases, the interpretation connects the [information] with sets of slices, but in the first case, the slices will be content slices only. For example:
a Logician or Mathematician may treat the content of [information] as a set of symbols with rules (content interpretation); a computer query may just search for the string “John Smith” (content interpretation); a person may also consider memories of John Smith as a person (event interpretation); more generally, people may relate content to events that they remember (for example, relating people to holidays, parties, or other social events)—this is a major focus of modern social media (event interpretation).”
3.5. Types of Inference
- Content inference;
- Causation—in this case, the inference is based on one or more causation processes;
- Similarity—in this case, the inference is based on the similarity between sets of slices and the assumption that the similarity will extend.
- P (σ, t) = V means that the set of properties P of slice σ at time t has value V (P and V are tuples);
- P (σ) = V means that P (σ, t) = V is true for all t under consideration;
- P (Σ) = V means that P (σ) = V for all σ Σ.
- (E/C) Socrates is a man.
- (E/C) All men are mortal.
- Therefore, Socrates is mortal.
- (C) P Q.
- (C) Q R.
- Therefore, P R.
- Ci and Dj are assertions in an ecosystem for various i, j;
- Δi is the set of slices representing Ci in the ecosystem;
- Φj is the set of slices representing Dj in the ecosystem;
- R is ecosystem content that represents application of ecosystem rules to demonstrate that {Ci} implies {Dj};
- Ψ is the set of slices that represent the content R in the ecosystem;
- T is the ecosystem representation of truth;
- E (Ω) = T represents the application of an ecosystem process to measure the ecosystem truthfulness of Ω and the process returns T.
- (E/C) E (Δi) = T for all i.
- (C) E (Ψ) = T.
- Therefore, E (Φj) = T for all j.
- (E) P (σ, t) = V. (e.g., the height of the wheat)
- (E) There is a slice τ containing σ from time t that instantiates an ecosystem process pattern. (e.g., it rains)
- Therefore, ∃ σ’ τ and time t’ for which Q (σ’, t + t’) = U. (e.g., the wheat has grown).
- (E) P (σ, t) = V.
- (E) There is a slice τ containing σ from time t − t’ to time t that instantiates an ecosystem process pattern.
- Therefore, ∃ σ’ τ for which Q (σ’, t − t’) = U.
“Quantum mechanics is certainly imposing. But an inner voice tells me that it is not yet the real thing. The theory says a lot, but does not really bring us any closer to the secret of the "old one." I, at any rate, am convinced that He does not throw dice.”
- (E) P (Σ1 Σ2) = V.
- (E) Q (Σ1) = U.
- Therefore, Q (Σ2 \ Σ1) = U.
- (E) P (Σ1 Σ2) = V.
- (E) Q (Σ1) = U.
- (E) For all σ for which Q has been measured, if Q (σ) ≠ U, then P (σ) ≠ V. (i.e., there are no known counter-examples)
- Therefore, Q(Σ2 \ Σ1) = U.
- Pi (Σi) = Vi, for sets of slices Σi.
- Therefore Qj (Φj) = Uj, for sets of slices Φj.
4. Inference Reliability
4.1. Inference Strategy
4.2. Inference Quality
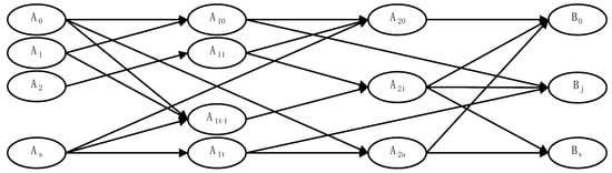
- the completeness of the assertion vertices (i.e., including input assertions, interim assertions and output assertions) and the absence of extraneous vertices (Figure 2);
- the completeness of the connections and absence of extraneous connections (Figure 2);
- the inference model used for each connection (Figure 3).
- Pi (Σi) = Vi, for sets of slices Σi.
- Therefore Qj (Φj) = Uj, for sets of slices Φj.
- {σi:σi ∈ Σi}
- {φj:φj ∈ Φj}
- Pi (σi) = Vi
- Qj (φj) ≠ Uj.
“For information has trouble, as we all do, testifying on its own behalf... Piling up information from the same source doesn’t increase reliability. In general, people look beyond information to triangulate reliability.”
4.3. Inference Limitations
- Ecosystem inertia: this applies when an ecosystem inference pattern has not kept up to date with the changes in selection pressures;
- Selection conflict: this applies when there are selection pressures that diminish the quality of inference (and ecosystem inertia may be a source of selection conflict);
- Inference tangling: this applies when different ecosystem conventions apply to different parts of the inference instance; an inference that is assumed to have been derived using a set of ecosystem conventions has not been;
- Output collapse: this applies when only one inference output is produced rather than a range;
- Inference strategy: this applies when the inference strategy is limited in its scope as described in Section 4.1.
“One of the most baffling and recalcitrant of the problems which business executives face is employee resistance to change.”
5. Examples of Inference
5.1. Science
- to what extent do theories consider the full selection environment and the limitations of ecosystem conventions?
- to what extent do theories consider the components of information quality discussed in Section 4.2?
- what does the selection-oriented view of information say about the structures of knowledge that persist over time?
- how can we interpret “truth” or “approximate truth” in relation to the theories?
“[…] it turns upon our vaguely pragmatic inclination to adjust one strand of the fabric of science rather than another in accommodating some particular recalcitrant experience. Conservatism figures in such choices, and so does the quest for simplicity.”
“A new scientific truth does not triumph by convincing its opponents…but rather because its opponents eventually die, and a new generation grows up that is familiar with it.”
“Holist underdetermination […] arises whenever our inability to test hypotheses in isolation leaves us underdetermined in our response to a failed prediction or some other piece of disconfirming evidence. That is, because hypotheses have empirical implications or consequences only when conjoined with other hypotheses and/or background beliefs about the world, a failed prediction or falsified empirical consequence typically leaves open to us the possibility of blaming and abandoning one of these background beliefs and/or ‘auxiliary’ hypotheses rather than the hypothesis we set out to test in the first place.”
“The totality of our so-called knowledge or beliefs […] impinges on experience only along the edges. […] the total field is so underdetermined by its boundary conditions, experience, that there is much latitude of choice as to what statements to reevaluate in the light of any single contrary experience.”
“[S]ince no hypothesis is ever completely verified, in accepting a hypothesis the scientist must make the decision that the evidence is sufficiently strong or that the probability is sufficiently high to warrant the acceptance of the hypothesis.”
“The rule in the history of physics seems to be that whenever a theory replaces a predecessor, which has however itself enjoyed genuine predictive success, the ‘correspondence principle’ applies. This requires the mathematical equations of the old theory to re-emerge as limiting cases of […] the new. […] The principle operates, not just as after-the-event requirement on a new theory […] but often also as a heuristic tool in the actual development of the new theory.”
5.2. Mathematics
“[I]t is essential to mathematics that its signs are also employed in mufti”
“[i]t is the use outside mathematics, and so the meaning [‘Bedeutung’] of the signs, that makes the sign-game into mathematics”
5.3. Machine Learning
“Symbolists view learning as the inverse of deduction and take ideas from philosophy, psychology, and logic. Connectionists reverse engineer the brain and are inspired by neuroscience and physics. Evolutionaries simulate evolution on the computer and draw on genetics and evolutionary biology. Bayesians believe learning is a form of probabilistic inference and have their roots in statistics. Analogizers learn by extrapolating from similarity judgments and are influenced by psychology and mathematical optimization.”
“It will become increasingly important to develop AI algorithms that are not just powerful and scalable, but also transparent to inspection—to name one of many socially important properties.”
“It is also important that AI algorithms taking over social functions be predictable to those they govern.”
“…it will require an AGI [Artificial General Intelligence] that thinks like a human engineer concerned about ethics, not just a simple product of ethical engineering.”
6. Conclusions
Acknowledgments
Conflicts of Interest
References and Notes
- Walton, P. Digital information and value. Information 2015, 6, 733–749. [Google Scholar] [CrossRef]
- Walton, P. A Model for Information. Information 2014, 5, 479–507. [Google Scholar] [CrossRef]
- Walton, P. Measures of information. Information 2015, 6, 23–48. [Google Scholar] [CrossRef]
- Walton, P. Information and Meaning. Information 2016, 7, 41. [Google Scholar] [CrossRef]
- Moral, R.; González, M.; Navarro, J.; Marijuán, P.C. From Genomics to Scientomics: Expanding the Bioinformation Paradigm. Information 2011, 2, 651–671. [Google Scholar] [CrossRef]
- Marijuán, P.C.; Moral, R.; Navarro, J. Scientomics: An emergent perspective in knowledge organization. Knowl. Organ. 2012, 39, 153–164. [Google Scholar]
- Mercier, H.; Sperber, D. The Enigma of Reason; Harvard University Press: Cambridge, MA, USA, 2017. [Google Scholar]
- Lorenz, E.N. Deterministic Nonperiodic Flow. J. Atmos. Sci. 1963, 20, 130–141. [Google Scholar] [CrossRef]
- Arthur, B.W. The Nature of Technology: What It Is and How It Evolves; The Free Press and Penguin Books: New York, NY, USA, 2009. [Google Scholar]
- Zhong, Y. Unity-Based Diversity: System Approach to Defining Information. Information 2011, 2, 406–416. [Google Scholar] [CrossRef]
- Burgin, M. Theory of Information: Fundamentality, Diversity and Unification; World Scientific Publishing: Singapore, 2010. [Google Scholar]
- Logan, R. What Is Information?: Why Is It Relativistic and What Is Its Relationship to Materiality, Meaning and Organization. Information 2012, 3, 68–91. [Google Scholar] [CrossRef]
- Quine, W.V.O. “Two Dogmas of Empiricism”, Reprinted in from a Logical Point of View, 2nd ed.; Harvard University Press: Cambridge, MA, USA, 1951; pp. 20–46. [Google Scholar]
- Kahneman, D. Thinking, Fast and Slow; Macmillan: London, UK, 2011. [Google Scholar]
- Gates, B.; Myhrvold, N.; Rinearson, P. The Road Ahead; Viking Penguin: New York, NY, USA, 1995. [Google Scholar]
- Domingos, P. The Master Algorithm: How the Quest for the Ultimate Learning Machine Will Remake Our World; Penguin: London, UK, 2015. [Google Scholar]
- Bostrom, N. The Ethics of Artificial Intelligence (PDF); Cambridge University Press: Cambridge, MA, USA, 2011. [Google Scholar]
- Goldacre, B. Bad Science; Harper Perennial: London, UK, 2009. [Google Scholar]
- Simon, H.A.; Rescher, N. Cause and Counterfactual. Philos. Sci. 1966, 33, 323–340. [Google Scholar] [CrossRef]
- Macknik, S.L.; Martinez-Conde, S. Sleights of Mind; Picador: Surrey, UK, 2011. [Google Scholar]
- Einstein, A. Letter to Max Born (4 December 1926); The Born-Einstein Letters (Translated by Irene Born); Walker and Company: New York, NY, USA, 1971. [Google Scholar]
- Carnap, R. Logical Foundations of Probability, 2nd ed.; University of Chicago Press: Chicago, IL, USA, 1962. [Google Scholar]
- Vickers, J. The Problem of Induction, Zalta, E.N., Ed.; Spring 2016 Edition; The Stanford Encyclopedia of Philosophy: Stanford, CA, USA; Available online: https://plato.stanford.edu/archives/spr2016/entries/induction-problem/ (accessed on 25 May 2017).
- The Green Book: Appraisal and Evaluation in Central Government. Available online: https://www.gov.uk/government/publications/the-green-book-appraisal-and-evaluation-in-central-governent (accessed on 25 May 2017).
- Sommerville, I. Software Engineering; Addison-Wesley: Harlow, UK, 2010. [Google Scholar]
- Brown, J.S.; Duguid, P. The Social Life of Information; Harvard Business Press: Boston, MA, USA, 2000. [Google Scholar]
- Kuhn, T.S. The Structure of Scientific Revolutions, Enlarged 2nd ed.; University of Chicago Press: Chicago, IL, USA, 1970. [Google Scholar]
- Lawrence, P.R. How to Deal with Resistance to Change. Harv. Bus. Rev. 1954, 32, 49–57. [Google Scholar] [CrossRef]
- Norris, P. Digital Divide: Civic Engagement, Information Poverty and the Internet Worldwide; Cambridge University Press: New York, NY, USA, 2001. [Google Scholar]
- Popper, K.R. The Logic of Scientific Discovery; Hutchinson: London, UK, 1959. [Google Scholar]
- Planck, M. Scientific Autobiography and Other Papers; Gaynor, F., Translator; Williams & Northgate: London, UK, 1950. [Google Scholar]
- Stanford, K. Underdetermination of Scientific Theory; Zalta, E.N., Ed.; The Stanford Encyclopedia of Philosophy: Stanford, CA, USA, Spring 2016 Edition Available online: https://plato.stanford.edu/archives/spr2016/entries/scientific-underdetermination/ (accessed on 25 May 2017).
- Rudner, R. The Scientist qua Scientist Makes Value Judgments. Philos. Sci. 1953, 20, 1–6. [Google Scholar] [CrossRef]
- Worrall, J. Structural Realism: The Best of Both Worlds? Dialectica 1989, 43, 99–124. [Google Scholar] [CrossRef]
- Floridi, L. The Philosophy of Information; Oxford University Press: Oxford, UK, 2011. [Google Scholar]
- Ryle, G.; Lewy, C.; Popper, K.R. Symposium: Why are the calculuses of logic and arithmetic applicable to reality? In Proceedings of the Logic and Reality, Symposia Read at the Joint Session of the Aristotelian Society and the Mind Association, Manchester, UK, 5–7 July 1946; pp. 20–60. [Google Scholar]
- Wiles, A. Modular elliptic curves and Fermat's Last Theorem. Ann. Math. 1995, 142, 443–551. [Google Scholar] [CrossRef]
- Villani, C. The Birth of a Theorem: A Mathematical Adventure; The Bodley Head: London, UK, 2015. [Google Scholar]
- Curry, H. Outlines of a Formalist Philosophy of Mathematics; North-Holland: Amsterdam, The Netherlands, 1958. [Google Scholar]
- Wittgenstein, L. Remarks on the Foundations of Mathematics, Revised Edition; Anscombe, G.E.M., Translator; von Wright, G.H., Rhees, R., Anscombe, G.E.M., Eds.; Basil Blackwell: Oxford, UK, 1978. [Google Scholar]
- Wittgenstein, L. Wittgenstein’s Lectures on the Foundations of Mathematics; Diamond, C., Ed.; Cornell University Press: Ithaca, NY, USA, 1976. [Google Scholar]





| Ecosystem | Inference | Challenge |
|---|---|---|
| English criminal law (prosecution) | The defendant is guilty | The defence (plus, potentially, the appeals process) |
| Science | A prediction made by a hypothesis is true | Experiments to refute or confirm the prediction |
| Mathematics | A theorem is proved | Peer review |
| Computer systems | The system will perform as required | Tests that the system meets its requirements |
| Variety of Inductive Inference | Specialisation of the “Similarity” Inference Pattern |
|---|---|
| Direct inference | Σ1 ⊂ Σ2, Q measures the frequency of P = V. |
| Q (Σ2) = U. | |
| Therefore, Q (Σ1) = U. | |
| Predictive inference | Σ1 Σ2 = . |
| P (Σ1) = P (Σ2) = V. | |
| Q (Σ1) = U. | |
| Therefore, Q (Σ2) = U. | |
| Singular predictive inference | As for predictive inference but, in addition, |Σ2| = 1. |
| Inference by analogy | |Σ1| = |Σ2| = 1. |
| Σ1 ≠ Σ2. | |
| The rest follows as per the general similarity case. | |
| Inverse inference | Σ1 Σ2. |
| Q (Σ1) = U. | |
| Therefore, Q (Σ2) = U. | |
| Universal inference | As for inverse inference but with the stronger version of similarity. |
© 2017 by the author. Licensee MDPI, Basel, Switzerland. This article is an open access article distributed under the terms and conditions of the Creative Commons Attribution (CC BY) license (http://creativecommons.org/licenses/by/4.0/).
Share and Cite
Walton, P. Information and Inference. Information 2017, 8, 61. https://doi.org/10.3390/info8020061
Walton P. Information and Inference. Information. 2017; 8(2):61. https://doi.org/10.3390/info8020061
Chicago/Turabian StyleWalton, Paul. 2017. "Information and Inference" Information 8, no. 2: 61. https://doi.org/10.3390/info8020061
APA StyleWalton, P. (2017). Information and Inference. Information, 8(2), 61. https://doi.org/10.3390/info8020061
