U-Net_dc: A Novel U-Net-Based Model for Endometrial Cancer Cell Image Segmentation
Abstract
1. Introduction
2. Background
2.1. Convolutions
2.2. Upsampling
2.2.1. Unpooling
2.2.2. Transposed Convolution
2.3. Loss Functions
3. Related Work
3.1. Classic Image Segmentation Models
3.1.1. Fully Convolutional Networks (FCNs)
3.1.2. Deep Convolutional Encoder–Decoder Architecture (SegNet)
3.1.3. Pyramid Scene Parsing Network (PSPNet)
3.2. U-Net Models
3.2.1. U-Net
3.2.2. U-Net++
3.2.3. DoubleU-Net
4. Proposed Model: U-Net_dc
4.1. U-Net Doubling
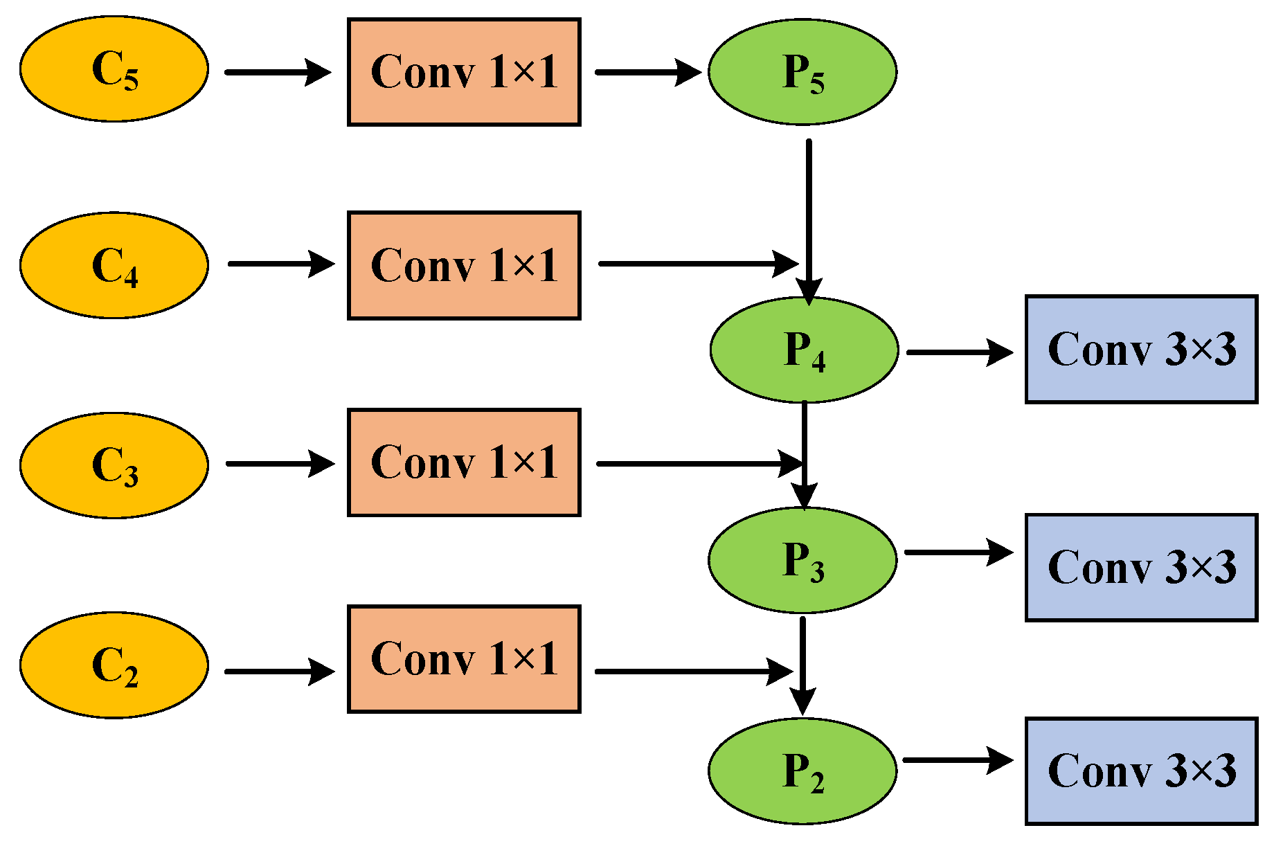
4.2. Multiscale Fusion
4.3. Additional DAC and RMP Modules
4.3.1. Atrous Convolutions
4.3.2. Dense Atrous Convolution (DAC)
4.3.3. Residual Multi-Kernel Pooling (RMP)
5. Experiments and Results
5.1. Datasets
5.2. Evaluation Metrics
5.3. Results
5.3.1. On Endometrial Cancer Cell Dataset
5.3.2. On DSB2018 Dataset
5.4. Discussion on Strengths and Weaknesses of Compared Models
6. Conclusions
- The original U-Net encoder and decoder were extended twice, as in [16], with an additional skip connection operation introduced between them, for better extraction of image features.
 - Dense atrous convolution (DAC) and residual multi-kernel pooling (RMP) [22] modules were introduced into the intermediate process of encoding and decoding, which allowed the model to obtain receptive fields of different sizes and better extract rich feature expression, on one side, and detect objects of different sizes and better obtain context information, on the other side.
 
Author Contributions
Funding
Data Availability Statement
Conflicts of Interest
References
- Chua, L.O.; Roska, T. CNN Paradigm. IEEE Trans. Circuits Syst. I Fundam. Theory Appl. 1993, 40, 147–156. [Google Scholar] [CrossRef]
 - Chen, H.; Zhang, Y.; Kalra, M.K.; Lin, F.; Chen, Y.; Liao, P.; Zhou, J.; Wang, G. Low-dose CT with a residual encoder-decoder convolutional neural network. IEEE Trans. Med. Imaging 2017, 36, 2524–2535. [Google Scholar] [CrossRef] [PubMed]
 - Qassim, H.; Verma, A.; Feinzimer, D. Compressed residual-VGG16 CNN model for big data places image recognition. In Proceedings of the 2018 IEEE 8th Annual Computing and Communication Workshop and Conference (CCWC), Las Vegas, NV, USA, 27 February 2018; pp. 169–175. [Google Scholar]
 - He, K.; Zhang, X.; Ren, S.; Sun, J. Deep residual learning for image recognition. In Proceedings of the IEEE Conference on Computer Vision and Pattern Recognition, Las Vegas, NV, USA, 26 June–1 July 2016; pp. 770–778. [Google Scholar]
 - Liu, Z.; Lin, Y.; Cao, Y.; Hu, H.; Wei, Y.; Zhang, Z.; Lin, S.; Guo, B. Swin transformer: Hierarchical vision transformer using shifted windows. In Proceedings of the IEEE/CVF International Conference on Computer Vision, Montreal, QC, Canada, 10–17 October 2021; pp. 10012–10022. [Google Scholar]
 - Liao, S.; Huang, C.; Liang, Y.; Zhang, H.; Liu, S. Solder Joint Defect Inspection Method Based on ConvNeXt-YOLOX. IEEE Trans. Compon. Packag. Manuf. Technol. 2022, 12, 1890–1898. [Google Scholar] [CrossRef]
 - Long, J.; Shelhamer, E.; Darrell, T. Fully convolutional networks for semantic segmentation. In Proceedings of the IEEE Conference on Computer Vision and Pattern Recognition, Boston, MA, USA, 8–10 June 2015; pp. 3431–3440. [Google Scholar]
 - Badrinarayanan, V.; Kendall, A.; Cipolla, R. Segnet: A deep convolutional encoder-decoder architecture for image segmentation. IEEE Trans. Pattern Anal. Mach. Intell. 2017, 39, 2481–2495. [Google Scholar] [CrossRef] [PubMed]
 - Chen, L.-C.; Papandreou, G.; Kokkinos, I.; Murphy, K.; Yuille, A.L. Deeplab: Semantic image segmentation with deep convolutional nets, atrous convolution, and fully connected crfs. IEEE Trans. Pattern Anal. Mach. Intell. 2017, 40, 834–848. [Google Scholar] [CrossRef] [PubMed]
 - Quan, B.; Liu, B.; Fu, D.; Chen, H.; Liu, X. Improved deeplabv3 for better road segmentation in remote sensing images. In Proceedings of the 2021 International Conference on Computer Engineering and Artificial Intelligence (ICCEAI), Shanghai, China, 27 August 2021; pp. 331–334. [Google Scholar]
 - Chen, L.-C.; Zhu, Y.; Papandreou, G.; Schroff, F.; Adam, H. Encoder-decoder with atrous separable convolution for semantic image segmentation. In Proceedings of the European Conference on Computer Vision (ECCV), Munich, Germany, 8–14 September 2018; pp. 801–818. [Google Scholar]
 - Zhao, H.; Shi, J.; Qi, X.; Wang, X.; Jia, J. Pyramid scene parsing network. In Proceedings of the IEEE Conference on Computer Vision and Pattern Recognition, Honolulu, HI, USA, 21–26 July 2017; pp. 2881–2890. [Google Scholar]
 - Ronneberger, O.; Fischer, P.; Brox, T. U-net: Convolutional networks for biomedical image segmentation. In Proceedings of the Medical Image Computing and Computer-Assisted Intervention–MICCAI 2015: 18th International Conference, Munich, Germany, 5–9 October 2015; Springer: Berlin/Heidelberg, Germany, 2015; pp. 234–241. [Google Scholar]
 - Zhou, Z.; Siddiquee, M.M.R.; Tajbakhsh, N.; Liang, J. U-Net++: A nested u-net architecture for medical image segmentation. In Proceedings of the Deep Learning in Medical Image Analysis and Multimodal Learning for Clinical Decision Support: 4th International Workshop, DLMIA 2018, and 8th International Workshop, ML-CDS 2018, Held in Conjunction with MICCAI 2018, Granada, Spain, 20 September 2018; Springer: Berlin/Heidelberg, Germany, 2018; pp. 3–11. [Google Scholar]
 - Huang, H.; Lin, L.; Tong, R.; Hu, H.; Zhang, Q.; Iwamoto, Y.; Han, X.; Chen, Y.-W.; Wu, J. U-Net 3+: A full-scale connected U-Net for medical image segmentation. In Proceedings of the ICASSP 2020–2020 IEEE International Conference on Acoustics, Speech and Signal Processing (ICASSP), Barcelona, Spain, 4–9 May 2020; Barcelona International Convention Centre: Barcelona, Spain, 2020; pp. 1055–1059. [Google Scholar]
 - Jha, D.; Riegler, M.A.; Johansen, D.; Halvorsen, P.; Johansen, H.D. Doubleu-net: A deep convolutional neural network for medical image segmentation. In Proceedings of the 2020 IEEE 33rd International Symposium on Computer-Based Medical Systems (CBMS), Rochester, MN, USA, 28–30 July 2020; pp. 558–564. [Google Scholar]
 - Qin, X.; Zhang, Z.; Huang, C.; Dehghan, M.; Zaiane, O.R.; Jagersand, M. U2-Net: Going deeper with nested U-structure for salient object detection. Pattern Recognit. 2020, 106, 107404. [Google Scholar] [CrossRef]
 - Zhang, L.; Zhang, J.; Shen, P.; Zhu, G.; Li, P.; Lu, X.; Zhang, H.; Shah, S.A.; Bennamoun, M. Block level skip connections across cascaded V-Net for multi-organ segmentation. IEEE Trans. Med. Imaging 2020, 39, 2782–2793. [Google Scholar] [CrossRef] [PubMed]
 - Sun, B.-Y.; Zhang, X.-M.; Li, J.; Mao, X.-M. Feature fusion using locally linear embedding for classification. IEEE Trans. Neural Netw. 2009, 21, 163–168. [Google Scholar] [CrossRef] [PubMed]
 - Lin, T.-Y.; Dollár, P.; Girshick, R.; He, K.; Hariharan, B.; Belongie, S. Feature pyramid networks for object detection. In Proceedings of the IEEE Conference on Computer Vision and Pattern Recognition, Honolulu, HI, USA, 21–26 July 2017; pp. 2117–2125. [Google Scholar]
 - Wang, Z.; Chen, J.; Hoi, S.C. Deep learning for image super-resolution: A survey. IEEE Trans. Pattern Anal. Mach. Intell. 2020, 43, 3365–3387. [Google Scholar] [CrossRef] [PubMed]
 - Gu, Z.; Cheng, J.; Fu, H.; Zhou, K.; Hao, H.; Zhao, Y.; Zhang, T.; Gao, S.; Liu, J. Ce-net: Context encoder network for 2d medical image segmentation. IEEE Trans. Med. Imaging 2019, 38, 2281–2292. [Google Scholar] [CrossRef] [PubMed]
 - Li, Z.; Chen, X.; Jiang, J.; Han, Z.; Li, Z.; Fang, T.; Huo, H.; Li, Q.; Liu, M. Cascaded multiscale structure with self-smoothing atrous convolution for semantic segmentation. IEEE Trans. Geosci. Remote Sens. 2021, 60, 1–13. [Google Scholar] [CrossRef]
 - Zhang, Z.H.; Yang, Z.; Sun, Y.; Wu, Y.F.; Xing, Y.D. Lenet-5 Convolution Neural Network with Mish Activation Function and Fixed Memory Step Gradient Descent Method. In Proceedings of the 2019 16th International Computer Conference on Wavelet Active Media Technology and Information Processing (ICCWAMTIP), Chengdu, China, 13 December 2019. [Google Scholar]
 - Kim, J.H.; Lee, H.; Hong, S.J.; Kim, S.; Park, J.; Hwang, J.Y.; Choi, J.P. Objects segmentation from high-resolution aerial images using U-Net with pyramid pooling layers. IEEE Geosci. Remote Sens. Lett. 2018, 16, 115–119. [Google Scholar] [CrossRef]
 - Krizhevsky, A.; Sutskever, I.; Hinton, G.E. Imagenet classification with deep convolutional neural networks. Commun. ACM 2017, 60, 84–90. [Google Scholar] [CrossRef]
 - Szegedy, C.; Liu, W.; Jia, Y.; Sermanet, P.; Reed, S.; Anguelov, D.; Erhan, D.; Vanhoucke, V.; Rabinovich, A. Going deeper with convolutions. In Proceedings of the IEEE Conference on Computer Vision and Pattern Recognition, Boston, MA, USA, 8–10 June 2015; pp. 1–9. [Google Scholar]
 - Szegedy, C.; Vanhoucke, V.; Ioffe, S.; Shlens, J.; Wojna, Z. Rethinking the inception architecture for computer vision. In Proceedings of the IEEE Conference on Computer Vision and Pattern Recognition, Las Vegas, NV, USA, 26 June–1 July 2016; pp. 2818–2826. [Google Scholar]
 - Muhammad, U.; Wang, W.; Chattha, S.P.; Ali, S. Pre-trained VGGNet architecture for remote-sensing image scene classification. In Proceedings of the 2018 24th International Conference on Pattern Recognition (ICPR), Beijing, China, 21 August 2018; pp. 1622–1627. [Google Scholar]
 - Xie, S.; Girshick, R.; Dollár, P.; Tu, Z.; He, K. Aggregated residual transformations for deep neural networks. In Proceedings of the IEEE Conference on Computer Vision and Pattern Recognition, Honolulu, HI, USA, 21–26 July 2017; pp. 1492–1500. [Google Scholar]
 - Zeiler, M.D.; Fergus, R. Visualizing and understanding convolutional networks. In Proceedings of the Computer Vision–ECCV 2014: 13th European Conference, Zurich, Switzerland, 6–12 September 2014; Springer: Berlin/Heidelberg, Germany, 2014; pp. 818–833. [Google Scholar]
 - Noh, H.; Hong, S.; Han, B. Learning deconvolution network for semantic segmentation. In Proceedings of the IEEE international Conference on Computer Vision, Santiago, Chile, 7–13 December 2015; pp. 1520–1528. [Google Scholar]
 - Langer, S. Approximating smooth functions by deep neural networks with sigmoid activation function. J. Multivar. Anal. 2021, 182, 104696. [Google Scholar] [CrossRef]
 - Soomro, T.A.; Hellwich, O.; Afifi, A.J.; Paul, M.; Gao, J.; Zheng, L. Strided U-Net Model: Retinal Vessels Segmentation using Dice Loss. In Proceedings of the International Conference on Digital Image Computing: Techniques and Applications, Canberra, Australia, 10–13 December 2018. [Google Scholar]
 - Duan, K.; Keerthi, S.S.; Chu, W.; Shevade, S.K.; Poo, A.N. Multi-category classification by soft-max combination of binary classifiers. Mult. Classif. Syst. 2003, 2709, 125–134. [Google Scholar]
 - Sandler, M.; Howard, A.; Zhu, M.; Zhmoginov, A.; Chen, L.-C. Mobilenetv2: Inverted residuals and linear bottlenecks. In Proceedings of the IEEE Conference on Computer Vision and Pattern Recognition, Salt Lake City, UT, USA, 18–22 June 2018; pp. 4510–4520. [Google Scholar]
 - Iffe, S.; Szegedy, C. Batch normalization: Accelerating deep network training by reducing internal covariate shift. In Proceedings of the International Conference on Machine Learning, Lille, France, 6–11 July 2015; pp. 448–456. [Google Scholar]
 - Schmidt-Hieber, J. Nonparametric regression using deep neural networks with ReLU activation function. Ann. Statist. 2020, 48, 1857–1897. [Google Scholar]
 - Zhu, Y.; Newsam, S. Densenet for dense flow. In Proceedings of the 2017 IEEE International Conference on Image Processing (ICIP), Beijing, China, 17–20 September 2017; pp. 790–794. [Google Scholar]
 - Hu, J.; Shen, L.; Sun, G. Squeeze-and-excitation networks. In Proceedings of the IEEE Conference on Computer Vision and Pattern Recognition, Salt Lake City, UT, USA, 18–22 June 2018; pp. 7132–7141. [Google Scholar]
 - Szegedy, C.; Ioffe, S.; Vanhoucke, V.; Alemi, A. Inception-v4, inception-resnet and the impact of residual connections on learning. In Proceedings of the AAAI Conference on Artificial Intelligence, San Francisco, CA, USA, 4–9 February 2017; p. 31. [Google Scholar]
 - Caicedo, J.C.; Goodman, A.; Karhohs, K.W.; Cimini, B.A.; Ackerman, J.; Haghighi, M.; Heng, C.; Becker, T.; Doan, M.; McQuin, C.; et al. Nucleus segmentation across imaging experiments: The 2018 Data Science Bowl. Nat. Methods 2019, 16, 1247–1253. [Google Scholar] [CrossRef] [PubMed]
 - Liu, H.; Rashid, T.; Ware, J.; Jensen, P.; Austin, T.; Nasrallah, I.; Bryan, R.; Heckbert, S.; Habes, M. Adaptive Squeeze-and-Shrink Image Denoising for Improving Deep Detection of Cerebral Microbleeds. In Proceedings of the Medical Image Computing and Computer Assisted Intervention–MICCAI 2021: 24th International Conference, Strasbourg, France, 27 September–1 October 2021; Springer: Berlin/Heidelberg, Germany, 2021; pp. 265–275. [Google Scholar]
 















| Endometrial Cancer Cell Dataset  | DSB2018 Dataset  | |
|---|---|---|
| Training set | 390 images | 402 images | 
| Validation set | 130 images | 134 images | 
| Test set | 130 images | 134 images | 
| Model | First Fold  | Second Fold  | Third Fold  | Fourth Fold  | Fifth Fold  | Final Result  | 
|---|---|---|---|---|---|---|
| SegNet | 0.798 | 0.806 | 0.790 | 0.797 | 0.795 | 0.797 | 
| PSPNet | 0.770 | 0.787 | 0.760 | 0.779 | 0.776 | 0.774 | 
| U-Net | 0.801 | 0.817 | 0.798 | 0.829 | 0.827 | 0.814 | 
| U-Net++ | 0.804 | 0.823 | 0.799 | 0.813 | 0.812 | 0.810 | 
| DoubleU-Net | 0.811 | 0.827 | 0.807 | 0.825 | 0.825 | 0.819 | 
| U-Net_dc | 0.847 | 0.859 | 0.840 | 0.851 | 0.859 | 0.851 | 
| Model | First Fold  | Second Fold  | Third Fold  | Fourth Fold  | Fifth Fold  | Final Result  | 
|---|---|---|---|---|---|---|
| SegNet | 0.879 | 0.890 | 0.879 | 0.886 | 0.884 | 0.884 | 
| PSPNet | 0.870 | 0.888 | 0.859 | 0.874 | 0.872 | 0.873 | 
| U-Net | 0.886 | 0.897 | 0.884 | 0.906 | 0.904 | 0.895 | 
| U-Net++ | 0.895 | 0.909 | 0.885 | 0.896 | 0.904 | 0.898 | 
| DoubleU-Net | 0.893 | 0.904 | 0.890 | 0.903 | 0.906 | 0.899 | 
| U-Net_dc | 0.914 | 0.931 | 0.908 | 0.919 | 0.925 | 0.919 | 
| Model | First Fold  | Second Fold  | Third Fold  | Fourth Fold  | Fifth Fold  | Final Result  | 
|---|---|---|---|---|---|---|
| SegNet | 0.873 | 0.895 | 0.872 | 0.893 | 0.879 | 0.882 | 
| PSPNet | 0.874 | 0.871 | 0.860 | 0.871 | 0.887 | 0.873 | 
| U-Net | 0.915 | 0.909 | 0.884 | 0.907 | 0.906 | 0.904 | 
| U-Net++ | 0.890 | 0.914 | 0.879 | 0.895 | 0.896 | 0.895 | 
| DoubleU-Net | 0.903 | 0.911 | 0.886 | 0.904 | 0.902 | 0.901 | 
| U-Net_dc | 0.912 | 0.922 | 0.905 | 0.921 | 0.925 | 0.917 | 
| Model | First Fold  | Second Fold  | Third Fold  | Fourth Fold  | Fifth Fold  | Final Result  | 
|---|---|---|---|---|---|---|
| SegNet | 0.961 | 0.971 | 0.971 | 0.968 | 0.973 | 0.969 | 
| PSPNet | 0.961 | 0.967 | 0.966 | 0.965 | 0.971 | 0.966 | 
| U-Net | 0.969 | 0.973 | 0.972 | 0.974 | 0.978 | 0.973 | 
| U-Net++ | 0.967 | 0.974 | 0.973 | 0.971 | 0.978 | 0.973 | 
| DoubleU-Net | 0.965 | 0.974 | 0.974 | 0.973 | 0.978 | 0.973 | 
| U-Net_dc | 0.974 | 0.981 | 0.979 | 0.979 | 0.984 | 0.979 | 
| Model | IoU | Dice | Precision | Accuracy | 
|---|---|---|---|---|
| SegNet | 0.797 | 0.884 | 0.882 | 0.969 | 
| PSPNet | 0.774 | 0.873 | 0.873 | 0.966 | 
| U-Net | 0.814 | 0.895 | 0.904 | 0.973 | 
| U-Net++ | 0.810 | 0.898 | 0.895 | 0.973 | 
| DoubleU-Net | 0.819 | 0.899 | 0.901 | 0.973 | 
| U-Net_dc | 0.851 | 0.919 | 0.917 | 0.979 | 
| Model | First Fold  | Second Fold  | Third Fold  | Fourth Fold  | Fifth Fold  | Final Result  | 
|---|---|---|---|---|---|---|
| SegNet | 0.821 | 0.822 | 0.826 | 0.812 | 0.816 | 0.819 | 
| PSPNet | 0.758 | 0.745 | 0.721 | 0.738 | 0.742 | 0.741 | 
| U-Net | 0.842 | 0.845 | 0.850 | 0.836 | 0.842 | 0.843 | 
| U-Net++ | 0.839 | 0.846 | 0.858 | 0.834 | 0.840 | 0.843 | 
| DoubleU-Net | 0.839 | 0.844 | 0.854 | 0.833 | 0.842 | 0.842 | 
| U-Net_dc | 0.865 | 0.867 | 0.872 | 0.854 | 0.862 | 0.864 | 
| Model | First Fold  | Second Fold  | Third Fold  | Fourth Fold  | Fifth Fold  | Final Result  | 
|---|---|---|---|---|---|---|
| SegNet | 0.902 | 0.902 | 0.904 | 0.894 | 0.898 | 0.900 | 
| PSPNet | 0.862 | 0.853 | 0.835 | 0.846 | 0.849 | 0.849 | 
| U-Net | 0.913 | 0.915 | 0.917 | 0.905 | 0.913 | 0.913 | 
| U-Net++ | 0.911 | 0.916 | 0.923 | 0.907 | 0.912 | 0.914 | 
| DoubleU-Net | 0.912 | 0.915 | 0.921 | 0.907 | 0.913 | 0.914 | 
| U-Net_dc | 0.934 | 0.935 | 0.937 | 0.922 | 0.921 | 0.930 | 
| Model | First Fold  | Second Fold  | Third Fold  | Fourth Fold  | Fifth Fold  | Final Result  | 
|---|---|---|---|---|---|---|
| SegNet | 0.908 | 0.920 | 0.906 | 0.895 | 0.908 | 0.907 | 
| PSPNet | 0.854 | 0.861 | 0.838 | 0.829 | 0.842 | 0.845 | 
| U-Net | 0.908 | 0.918 | 0.910 | 0.902 | 0.919 | 0.911 | 
| U-Net++ | 0.922 | 0.910 | 0.917 | 0.902 | 0.925 | 0.915 | 
| DoubleU-Net | 0.917 | 0.916 | 0.912 | 0.897 | 0.917 | 0.912 | 
| U-Net_dc | 0.923 | 0.928 | 0.923 | 0.920 | 0.919 | 0.923 | 
| Model | First Fold  | Second Fold  | Third Fold  | Fourth Fold  | Fifth Fold  | Final Result  | 
|---|---|---|---|---|---|---|
| SegNet | 0.972 | 0.971 | 0.974 | 0.971 | 0.971 | 0.972 | 
| PSPNet | 0.960 | 0.956 | 0.957 | 0.957 | 0.957 | 0.957 | 
| U-Net | 0.975 | 0.975 | 0.978 | 0.975 | 0.976 | 0.976 | 
| U-Net++ | 0.975 | 0.975 | 0.979 | 0.975 | 0.976 | 0.976 | 
| DoubleU-Net | 0.975 | 0.975 | 0.978 | 0.974 | 0.976 | 0.976 | 
| U-Net_dc | 0.978 | 0.977 | 0.980 | 0.977 | 0.978 | 0.978 | 
| Model | IoU | Dice | Precision | Accuracy | 
|---|---|---|---|---|
| SegNet | 0.819 | 0.900 | 0.907 | 0.972 | 
| PSPNet | 0.741 | 0.849 | 0.845 | 0.957 | 
| U-Net | 0.843 | 0.913 | 0.911 | 0.976 | 
| U-Net++ | 0.843 | 0.914 | 0.915 | 0.976 | 
| DoubleU-Net | 0.842 | 0.914 | 0.912 | 0.976 | 
| U-Net_dc | 0.864 | 0.930 | 0.923 | 0.978 | 
Disclaimer/Publisher’s Note: The statements, opinions and data contained in all publications are solely those of the individual author(s) and contributor(s) and not of MDPI and/or the editor(s). MDPI and/or the editor(s) disclaim responsibility for any injury to people or property resulting from any ideas, methods, instructions or products referred to in the content.  | 
© 2023 by the authors. Licensee MDPI, Basel, Switzerland. This article is an open access article distributed under the terms and conditions of the Creative Commons Attribution (CC BY) license (https://creativecommons.org/licenses/by/4.0/).
Share and Cite
Ji, Z.; Yao, D.; Chen, R.; Lyu, T.; Liao, Q.; Zhao, L.; Ganchev, I. U-Net_dc: A Novel U-Net-Based Model for Endometrial Cancer Cell Image Segmentation. Information 2023, 14, 366. https://doi.org/10.3390/info14070366
Ji Z, Yao D, Chen R, Lyu T, Liao Q, Zhao L, Ganchev I. U-Net_dc: A Novel U-Net-Based Model for Endometrial Cancer Cell Image Segmentation. Information. 2023; 14(7):366. https://doi.org/10.3390/info14070366
Chicago/Turabian StyleJi, Zhanlin, Dashuang Yao, Rui Chen, Tao Lyu, Qinping Liao, Li Zhao, and Ivan Ganchev. 2023. "U-Net_dc: A Novel U-Net-Based Model for Endometrial Cancer Cell Image Segmentation" Information 14, no. 7: 366. https://doi.org/10.3390/info14070366
APA StyleJi, Z., Yao, D., Chen, R., Lyu, T., Liao, Q., Zhao, L., & Ganchev, I. (2023). U-Net_dc: A Novel U-Net-Based Model for Endometrial Cancer Cell Image Segmentation. Information, 14(7), 366. https://doi.org/10.3390/info14070366
        
