On the Malleability of Consumer Attitudes toward Disruptive Technologies: A Pilot Study of Cryptocurrencies
Abstract
:1. Introduction
2. Theoretical Background
3. Methodology
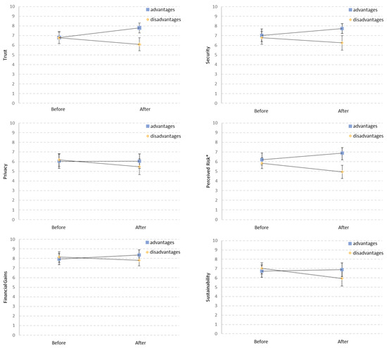
4. Results
4.1. Trust
4.2. Security
4.3. Privacy
4.4. Perceived Risk
4.5. Financial Gains
4.6. Sustainability
5. Discussion and Conclusions
5.1. Theoretical Implications
5.2. Practical Implications
5.3. Limitations and Future Research
Author Contributions
Funding
Informed Consent Statement
Data Availability Statement
Conflicts of Interest
Appendix A
| Construct | Variable | Modified Question |
| Trust | VAR_1.1 | Cryptocurrencies are trustworthy. |
| VAR_1.2 | Even if cryptocurrencies are not fully regulated, I still trust them. | |
| VAR_1.3 | Generally, I trust cryptocurrency exchange systems. | |
| Security | VAR_2.1 * | I am worried about owning cryptocurrencies because of their security. |
| VAR_2.2 | I feel secure about buying, holding, and transferring cryptocurrencies. | |
| VAR_2.3 | Cryptocurrencies are secure for conducting financial transactions. | |
| Privacy | VAR_3.1 * | When using cryptocurrencies my privacy is at risk. |
| VAR_3.2 | I feel safe providing personal information to cryptocurrency exchange systems. | |
| Perceived * Risk | VAR_4.1 | I feel at risk since I cannot touch or feel cryptocurrencies. |
| VAR_4.2 | I am concerned about the potential of my cryptocurrencies being stolen. | |
| VAR_4.3 | The use of cryptocurrencies exposes me to a general risk. | |
| VAR_4.4 | If I use cryptocurrencies, hackers may be able to read my transaction history. | |
| Financial Gains | VAR_5.1 | I believe cryptocurrencies will increase in value in the future. |
| VAR_5.2 | Investing into cryptocurrencies will yield a high return on my investment. | |
| Sustainability | VAR_6.1 | Cryptocurrencies have the potential to positively contribute to an environmentally friendly and sustainable society. |
| VAR_6.2 * | Cryptocurrency mining has a negative impact on humanity. | |
| Scale: 1 … totally disagree; 10 … totallyagree. * reverse coded | ||
| The items are based on [36,37,38,39,40,41] and were modified to fit the purpose of this study. | ||
Appendix B
| Topic | Link |
| Advantages | Benefits of cryptocurrencies. Available online: https://www.youtube.com/watch?v=nTo4iQYQuPs (Accessed on 1 June 2022). |
| Disadvantages | Problems of cryptocurrencies. Available online: https://www.youtube.com/watch?v=5-UO1t5EU90 (Accessed on 1 June 2022). |
References
- Gleim, M.R.; Stevens, J.L. Blockchain: A Game Changer for Marketers? Mark. Lett. 2021, 32, 123–128. [Google Scholar] [CrossRef]
- Rejeb, A.; Keogh, J.G.; Treiblmaier, H. How Blockchain Technology Can Benefit Marketing: Six Pending Research Areas. Front. Blockchain 2020, 3, 1e12. [Google Scholar] [CrossRef] [Green Version]
- Kannengießer, N.; Lins, S.; Dehling, T.; Sunyaev, A. Trade-Offs between Distributed Ledger Technology Characteristics. ACM Comput. Surv. 2020, 53, 42:1–42:37. [Google Scholar] [CrossRef]
- Parkhurst, K. Discerning between Hype and Reality: Common Misconceptions about Blockchain. J. Digit. Bank. 2019, 4, 119–124. [Google Scholar]
- Vantage Market Research. Cryptocurrency Market Size, Share & Trends Analysis Report by Offering (Hardware, Software), by Process (Mining, Transaction), by Type (Bitcoin, Ethereum, Bitcoin Cash, Ripple), by Region (North America, Europe, Asia Pacific, Latin America, Middle East & Africa)—Global Industry Assessment (2016–2021) & Forecast (2022–2028); Vantage Market Research: Washington, DC, USA, 2022. [Google Scholar]
- Dinu, L.-G. Using Cryptocurrencies, a Management Strategy for the Future. Intern. Audit. Risk Manag. 2022, 17, 19–32. [Google Scholar] [CrossRef]
- Yoon, Y.; Sarial-Abi, G.; Gürhan-Canli, Z. Effect of Regulatory Focus on Selective Information Processing. J. Consum. Res. 2012, 39, 93–110. [Google Scholar] [CrossRef]
- Janakiraman, R.; Lim, J.H.; Rishika, R. The Effect of a Data Breach Announcement on Customer Behavior: Evidence from a Multichannel Retailer. J. Mark. 2018, 82, 85–105. [Google Scholar] [CrossRef]
- Treiblmaier, H. What Is Coming across the Horizon and How Can We Handle It? Bitcoin Scenarios as a Starting Point for Rigorous and Relevant Research. Future Internet 2022, 14, 162. [Google Scholar] [CrossRef]
- Breward, M.; Hassanein, K.; Head, M. Understanding Consumers’ Attitudes Toward Controversial Information Technologies: A Contextualization Approach. Inf. Syst. Res. 2017, 28, 760–774. [Google Scholar] [CrossRef]
- Cui, T.H.; Ghose, A.; Halaburda, H.; Iyengar, R.; Pauwels, K.; Sriram, S.; Tucker, C.; Venkataraman, S. Informational Challenges in Omnichannel Marketing: Remedies and Future Research. J. Mark. 2021, 85, 103–120. [Google Scholar] [CrossRef]
- Pineda Rincón, E.A.; Moreno-Sandoval, L.G. Design of an Architecture Contributing to the Protection and Privacy of the Data Associated with the Electronic Health Record. Information 2021, 12, 313. [Google Scholar] [CrossRef]
- Tsoukas, V.; Gkogkidis, A.; Kampa, A.; Spathoulas, G.; Kakarountas, A. Enhancing Food Supply Chain Security through the Use of Blockchain and TinyML. Information 2022, 13, 213. [Google Scholar] [CrossRef]
- Caldarelli, G. Wrapping Trust for Interoperability: A Preliminary Study of Wrapped Tokens. Information 2022, 13, 6. [Google Scholar] [CrossRef]
- Negara, E.S.; Hidayanto, A.N.; Andryani, R.; Syaputra, R. Survey of Smart Contract Framework and Its Application. Information 2021, 12, 257. [Google Scholar] [CrossRef]
- Sunyaev, A.; Kannengießer, N.; Beck, R.; Treiblmaier, H.; Lacity, M.; Kranz, J.; Fridgen, G.; Spankowski, U.; Luckow, A. Token Economy. Bus. Inf. Syst. Eng. 2021, 63, 457–478. [Google Scholar] [CrossRef]
- Wang, L.; Luo, X.; Lee, F. Unveiling the Interplay between Blockchain and Loyalty Program Participation: A Qualitative Approach Based on Bubichain. Int. J. Inf. Manag. 2019, 49, 397–410. [Google Scholar] [CrossRef]
- Garaus, M.; Treiblmaier, H. The Influence of Blockchain-Based Food Traceability on Retailer Choice: The Mediating Role of Trust. Food Control 2021, 129, 108082. [Google Scholar] [CrossRef]
- Hasan, O.; Brunie, L.; Bertino, E. Privacy-Preserving Reputation Systems Based on Blockchain and Other Cryptographic Building Blocks: A Survey. ACM Comput. Surv. 2022, 55, 1–37. [Google Scholar] [CrossRef]
- Feng, W.; Wang, Y.; Zhang, Z. Can Cryptocurrencies Be a Safe Haven: A Tail Risk Perspective Analysis. Appl. Econ. 2018, 50, 4745–4762. [Google Scholar] [CrossRef]
- Moss, S. Implicit Theories of Malleability. Sicotests, 2016. Available online: https://www.sicotests.com/psyarticle.asp?id=182 (accessed on 10 May 2022).
- Huang, N.; Zuo, S.; Wang, F.; Cai, P.; Wang, F. The Dark Side of Malleability: Incremental Theory Promotes Immoral Behaviors. Front. Psychol. 2017, 8, 1341. [Google Scholar] [CrossRef] [PubMed] [Green Version]
- Aaker, J.L. The Malleable Self: The Role of Self-Expression in Persuasion. J. Mark. Res. 1999, 36, 45–57. [Google Scholar] [CrossRef]
- Nillesen, E.; Grimm, M.; Goedhuys, M.; Reitmann, A.-K.; Meysonnat, A. On the Malleability of Gender Attitudes: Evidence from Implicit and Explicit Measures in Tunisia. World Dev. 2021, 138, 105263. [Google Scholar] [CrossRef]
- Cullen, C.; Barnes-Holmes, D.; Barnes-Holmes, Y.; Stewart, I. The Implicit Relational Assessment Procedure (IRAP) and the Malleability of Ageist Attitudes. Psychol. Rec. 2009, 59, 591–620. [Google Scholar] [CrossRef]
- Leavy, A.M.; Hourigan, M.; Murphy, B.; Yilmaz, N. Malleable or Fixed? Exploring Pre-Service Primary Teachers’ Attitudes towards Statistics. Int. J. Math. Educ. Sci. Technol. 2021, 52, 427–451. [Google Scholar] [CrossRef]
- Bassili, J.N.; Brown, R.D. Implicit and Explicit Attitudes: Research, Challenges, and Theory. In The Handbook of Attitudes; Lawrence Erlbaum Associates Publishers: Mahwah, NJ, USA, 2005; pp. 543–574. ISBN 978-0-8058-4492-4. [Google Scholar]
- Facts and Factors. Global Cryptocurrency Market Size, Share, Forecast 2021–2028; Research Report; Facts & Factors: Beijing, China, 2022; Available online: https://www.fortunebusinessinsights.com/industry-reports/cryptocurrency-market-100149 (accessed on 10 May 2022).
- Wieland, A.; Durach, C.F.; Kembro, J.; Treiblmaier, H. Statistical and Judgmental Criteria for Scale Purification. Supply Chain Manag. Int. J. 2017, 22, 321–328. [Google Scholar] [CrossRef] [Green Version]
- Hernández-Ortega, B. The Role of Post-Use Trust in the Acceptance of a Technology: Drivers and Consequences. Technovation 2011, 31, 523–538. [Google Scholar] [CrossRef]
- Ghosh, A.; Gupta, S.; Dua, A.; Kumar, N. Security of Cryptocurrencies in Blockchain Technology: State-of-Art, Challenges and Future Prospects. J. Netw. Comput. Appl. 2020, 163, 102635. [Google Scholar] [CrossRef]
- Cowan, K.; Javornik, A.; Jiang, P. Privacy Concerns When Using Augmented Reality Face Filters? Explaining Why and When Use Avoidance Occurs. Psychol. Mark. 2021, 38, 1799–1813. [Google Scholar] [CrossRef]
- Ben Amor, N.; Ben Yahia, I. Investigating Blockchain Technology Effects on Online Platforms Transactions: Do Risk Aversion and Technophilia Matter? J. Internet Commer. 2021, 20, 1–26. [Google Scholar] [CrossRef]
- Gruber, V.; Schlegelmilch, B.B.; Houston, M.J. Inferential Evaluations of Sustainability Attributes: Exploring How Consumers Imply Product Information. Psychol. Mark. 2014, 31, 440–450. [Google Scholar] [CrossRef] [Green Version]
- Alti, A.; Tetlock, P.C. Biased Beliefs, Asset Prices, and Investment: A Structural Approach. J. Financ. 2014, 69, 325–361. [Google Scholar] [CrossRef]
- Gil-Cordero, E.; Cabrera-Sánchez, J.P.; Arrás-Cortés, M.J. Cryptocurrencies as a Financial Tool: Acceptance Factors. Mathematics 2020, 8, 1974. [Google Scholar] [CrossRef]
- Forsythe, S.; Liu, C.; Shannon, D.; Gardner, L.C. Development of a Scale to Measure the Perceived Benefits and Risks of Online Shopping. J. Interact. Mark. 2006, 20, 55–75. [Google Scholar] [CrossRef]
- Nasir, M.A.; Wu, J.; Yago, M.; Li, H. Influence of Psychographics and Risk Perception on Internet Banking Adoption: Current State of Affairs in Britain. Int. J. Econ. Financ. Issues 2015, 5, 461–468. [Google Scholar]
- Yamauchi, K.T.; Templer, D.J. The Development of a Money Attitude Scale. J. Personal. Assess. 1982, 46, 522–528. [Google Scholar] [CrossRef]
- Akerlof, K.; DeBono, R.; Berry, P.; Leiserowitz, A.; Roser-Renouf, C.; Clarke, K.-L.; Rogaeva, A.; Nisbet, M.C.; Weathers, M.R.; Maibach, E.W. Public Perceptions of Climate Change as a Human Health Risk: Surveys of the United States, Canada and Malta. Int. J. Environ. Res. Public Health 2010, 7, 2559–2606. [Google Scholar] [CrossRef] [PubMed]
- Buchanan, T.; Paine, C.; Joinson, A.N.; Reips, U.-D. Development of Measures of Online Privacy Concern and Protection for Use on the Internet. J. Am. Soc. Inf. Sci. Technol. 2007, 58, 157–165. [Google Scholar] [CrossRef] [Green Version]

| Gender | Male | Female | |
|---|---|---|---|
| 65% | 35% | ||
| Age | 18–24 | 25–35 | 35+ |
| 46% | 26% | 28% | |
| Cryptocurrency ownership | Yes | No | |
| 67% | 33% | ||
| Occupational status | Student | Employed | Self-employed |
| 52% | 42% | 6% |
| Pre (1) | Post (2) | |||||
|---|---|---|---|---|---|---|
| Advantages | Disadvantages | Unpaired t-Test | Advantages | Disadvantages | Unpaired t-Test | |
| Trust | 6.81 (2.24) | 6.77 (2.14) | t = 0.11 (p = 0.92) | 7.79 (1.84) | 6.10 (2.35) | t = 4.01 (p < 0.05) |
| Security | 7.03 (2.31) | 6.78 (2.33) | t = 0.53 (p = 0.59) | 7.74 (1.83) | 6.26 (2.65) | t = 3.25 (p < 0.05) |
| Privacy | 6.05 (2.59) | 6.18 (2.35) | t = −0.26 (p = 0.79) | 6.06 (2.65) | 5.47 (2.87) | t = 1.07 (p = 0.29) |
| Perceived Risk | 6.21 (2.38) | 5.84 (1.97) | t = 0.85 (p = 0.40) | 6.87 (2.04) | 4.93 (2.42) | t = 4.34 (p < 0.05) |
| Financial Gains | 7.95 (2.07) | 8.15 (1.91) | t = −0.50 (p = 0.61) | 8.37 (1.88) | 7.80 (1.98) | t = 1.47 (p = 0.14) |
| Sustainability | 6.72 (2.33) | 7.02(2.12) | t = −0.67 (p = 0.50) | 6.88 (2.57) | 5.93 (2.83) | t = 1.75 (p = 0.08) |
| Advantages | Disadvantages | |||||
|---|---|---|---|---|---|---|
| Pre (1) | Post (2) | Paired t-Test | Pre (1) | Post (2) | Paired t-Test | |
| Trust | 6.81 (2.24) | 7.79 (1.84) | t = −4.62 (p < 0.05) | 6.77 (2.14) | 6.10 (2.35) | t = 2.55 (p < 0.05) |
| Security | 7.03 (2.31) | 7.74 (1.83) | t = −3.13 (p < 0.05) | 6.78 (2.33) | 6.26 (2.65) | t = 1.73 (p = 0.09) |
| Privacy | 6.05 (2.59) | 6.06 (2.65) | t = −0.02 (p = 0.98) | 6.18 (2.35) | 5.47 (2.87) | t = 1.62 (p = 0.11) |
| Perceived Risk | 6.21 (2.38) | 6.87 (2.04) | t = −2.58 (p < 0.05) | 5.84 (1.97) | 4.93 (2.42) | t = 3.77 (p < 0.05) |
| Financial Gains | 7.95 (2.07) | 8.37 (1.88) | t = −2.17 (p < 0.05) | 8.15 (1.91) | 7.80 (1.98) | t = 1.46 (p = 0.15) |
| Sustainability | 6.72 (2.33) | 6.88 (2.57) | t = −0.55 (p = 0.58) | 7.02 (2.12) | 5.93 (2.83) | t = 3.04 (p < 0.05) |
Publisher’s Note: MDPI stays neutral with regard to jurisdictional claims in published maps and institutional affiliations. |
© 2022 by the authors. Licensee MDPI, Basel, Switzerland. This article is an open access article distributed under the terms and conditions of the Creative Commons Attribution (CC BY) license (https://creativecommons.org/licenses/by/4.0/).
Share and Cite
Treiblmaier, H.; Gorbunov, E. On the Malleability of Consumer Attitudes toward Disruptive Technologies: A Pilot Study of Cryptocurrencies. Information 2022, 13, 295. https://doi.org/10.3390/info13060295
Treiblmaier H, Gorbunov E. On the Malleability of Consumer Attitudes toward Disruptive Technologies: A Pilot Study of Cryptocurrencies. Information. 2022; 13(6):295. https://doi.org/10.3390/info13060295
Chicago/Turabian StyleTreiblmaier, Horst, and Evgeny Gorbunov. 2022. "On the Malleability of Consumer Attitudes toward Disruptive Technologies: A Pilot Study of Cryptocurrencies" Information 13, no. 6: 295. https://doi.org/10.3390/info13060295
APA StyleTreiblmaier, H., & Gorbunov, E. (2022). On the Malleability of Consumer Attitudes toward Disruptive Technologies: A Pilot Study of Cryptocurrencies. Information, 13(6), 295. https://doi.org/10.3390/info13060295

