Regularized Mixture Rasch Model
Abstract
1. Introduction
2. Regularized Mixture Models
2.1. Two Alternative Approaches to Regularizing the Mixture Rasch Model
2.2. Estimation
2.3. Computation of Standard Errors
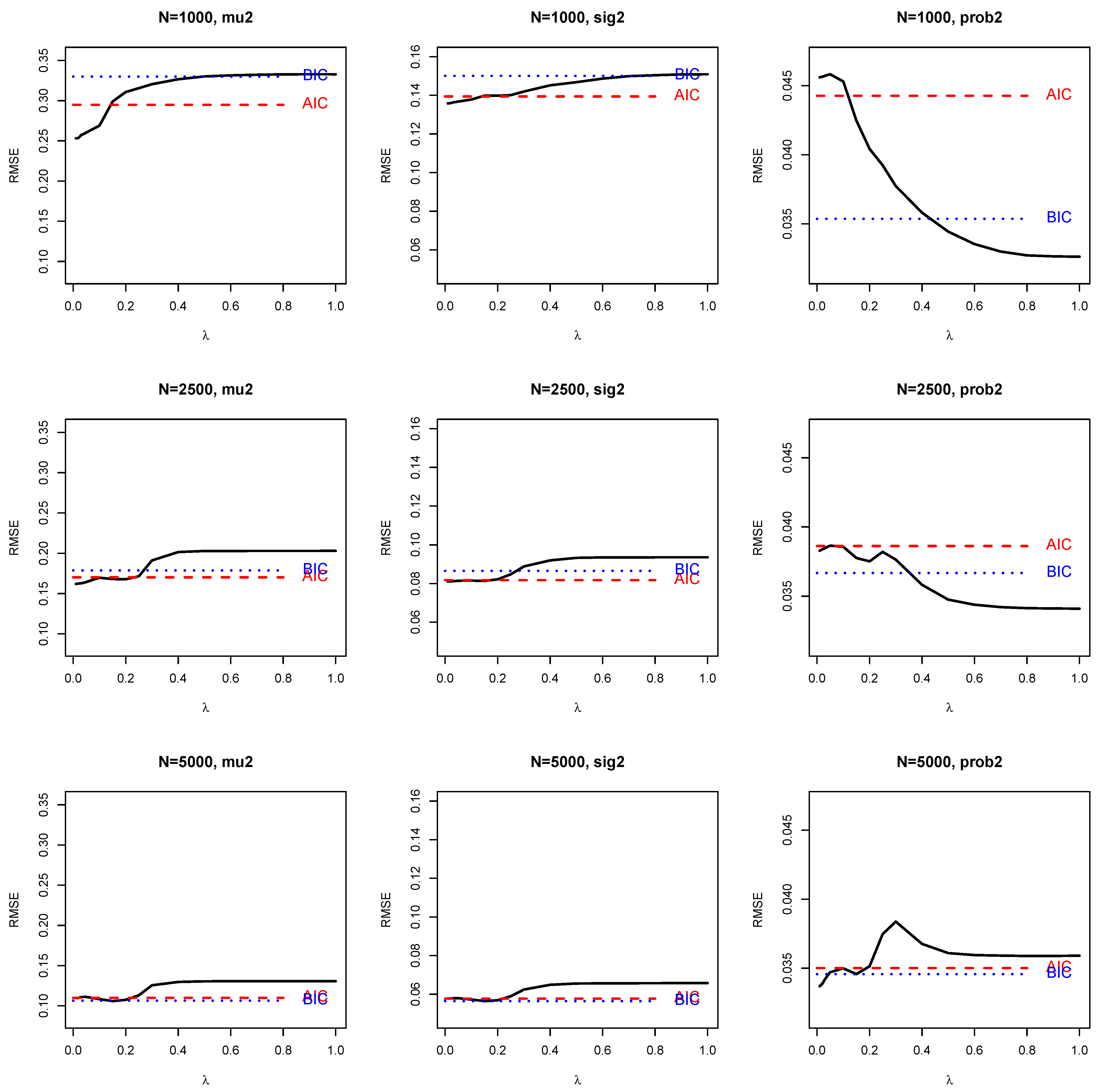
3. Simulation Study 1: Simulation Study Involving Two Latent Classes
3.1. Method
3.2. Results
4. Simulated Case Study 2: Illustrative Example with a Nonspeeded and a Speeded Latent Class
5. Simulated Case Study 3: Illustrative Example Involving Three Latent Classes
6. Discussion
Funding
Institutional Review Board Statement
Informed Consent Statement
Data Availability Statement
Conflicts of Interest
Abbreviations
| AIC | Akaike information criterion |
| BIC | Bayesian information criterion |
| DIF | differential item functioning |
| EM | expectation maximization |
| MRM | mixture Rasch model |
| RM | Rasch model |
| RMRM | regularized mixture Rasch model |
| RMSE | root mean square error |
| SCAD | smoothly clipped absolute deviation |
References
- Rasch, G. Probabilistic Models for Some Intelligence and Attainment Tests; Danish Institute for Educational Research: Copenhagen, Denmark, 1960. [Google Scholar]
- von Davier, M. The Rasch model. In Handbook of Item Response Theory, Volume 1: Models; van der Linden, W.J., Ed.; CRC Press: Boca Raton, FL, USA, 2016; pp. 31–48. [Google Scholar] [CrossRef]
- Debelak, R.; Strobl, C.; Zeigenfuse, M.D. An Introduction to the Rasch Model with Examples in R; CRC Press: Boca Raton, FL, USA, 2022. [Google Scholar] [CrossRef]
- Robitzsch, A. A comprehensive simulation study of estimation methods for the Rasch model. Stats 2021, 4, 814–836. [Google Scholar] [CrossRef]
- Xu, X.; von Davier, M. Fitting the Structured General Diagnostic Model to NAEP Data; Research Report No. RR-08-28; Educational Testing Service: Princeton, NJ, USA, 2008. [Google Scholar] [CrossRef]
- Rost, J. Rasch models in latent classes: An integration of two approaches to item analysis. Appl. Psychol. Meas. 1990, 14, 271–282. [Google Scholar] [CrossRef]
- von Davier, M.; Rost, J. Mixture distribution item response models. In Handbook of Statistics, Vol. 26: Psychometrics; Rao, C.R., Sinharay, S., Eds.; Elsevier: Amsterdam, The Netherlands, 2007; Volume 26, pp. 643–661. [Google Scholar] [CrossRef]
- Frick, H.; Strobl, C.; Leisch, F.; Zeileis, A. Flexible Rasch mixture models with package psychomix. J. Stat. Softw. 2012, 48, 1–25. [Google Scholar] [CrossRef]
- von Davier, M. Mixture Distribution Diagnostic Models; (Research Report No. RR-07-32); Educational Testing Service: Princeton, NJ, USA, 2007. [Google Scholar] [CrossRef]
- Paek, I.; Cho, S.J. A note on parameter estimate comparability: Across latent classes in mixture IRT modeling. Appl. Psychol. Meas. 2015, 39, 135–143. [Google Scholar] [CrossRef]
- Bulut, O.; Suh, Y. Detecting multidimensional differential item functioning with the multiple indicators multiple causes model, the item response theory likelihood ratio test, and logistic regression. Front. Educ. 2017, 2, 51. [Google Scholar] [CrossRef]
- Holland, P.W.; Wainer, H. (Eds.) Differential Item Functioning: Theory and Practice; Lawrence Erlbaum: Hillsdale, NJ, USA, 1993. [Google Scholar] [CrossRef]
- Penfield, R.D.; Camilli, G. Differential item functioning and item bias. In Handbook of Statistics, Volume 26: Psychometrics; Rao, C.R., Sinharay, S., Eds.; Elsevier: Amsterdam, The Netherlands, 2007; pp. 125–167. [Google Scholar] [CrossRef]
- Cho, S.J.; Suh, Y.; Lee, W. An NCME instructional module on latent DIF analysis using mixture item response models. Educ. Meas. 2016, 35, 48–61. [Google Scholar] [CrossRef]
- Frick, H.; Strobl, C.; Zeileis, A. Rasch mixture models for DIF detection: A comparison of old and new score specifications. Educ. Psychol. Meas. 2015, 75, 208–234. [Google Scholar] [CrossRef] [PubMed]
- Rost, J. A logistic mixture distribution model for polychotomous item responses. Br. J. Math. Stat. Psychol. 1991, 44, 75–92. [Google Scholar] [CrossRef]
- von Davier, M.; Rost, J. Polytomous mixed Rasch models. In Rasch Models; Fischer, G.H., Molenaar, I.W., Eds.; Springer: New York, NY, USA, 1995; pp. 371–379. [Google Scholar] [CrossRef]
- Choi, Y.J.; Alexeev, N.; Cohen, A.S. Differential item functioning analysis using a mixture 3-parameter logistic model with a covariate on the TIMSS 2007 mathematics test. Int. J. Test. 2015, 15, 239–253. [Google Scholar] [CrossRef]
- Formann, A.K.; Kohlmann, T. Structural latent class models. Sociol. Methods Res. 1998, 26, 530–565. [Google Scholar] [CrossRef]
- Formann, A.K.; Kohlmann, T. Three-parameter linear logistic latent class analysis. In Applied Latent Class Analysis; Hagenaars, J.A., McCutcheon, A.L., Eds.; Cambridge University Press: Cambridge, UK, 2002; pp. 183–210. [Google Scholar]
- Muthén, B.; Asparouhov, T. Item response mixture modeling: Application to tobacco dependence criteria. Addict. Behav. 2006, 31, 1050–1066. [Google Scholar] [CrossRef] [PubMed]
- Revuelta, J. Estimating the π* goodness of fit index for finite mixtures of item response models. Br. J. Math. Stat. Psychol. 2008, 61, 93–113. [Google Scholar] [CrossRef] [PubMed]
- Sen, S.; Cohen, A.S. Applications of mixture IRT models: A literature review. Meas. Interdiscip. Res. Persp. 2019, 17, 177–191. [Google Scholar] [CrossRef]
- Smit, A.; Kelderman, H.; van der Flier, H. The mixed Birnbaum model: Estimation using collateral information. Methods Psychol. Res. Online 2000, 5, 31–43. [Google Scholar]
- Chen, Y.; Li, X.; Liu, J.; Ying, Z. Robust measurement via a fused latent and graphical item response theory model. Psychometrika 2018, 83, 538–562. [Google Scholar] [CrossRef] [PubMed]
- Sun, J.; Chen, Y.; Liu, J.; Ying, Z.; Xin, T. Latent variable selection for multidimensional item response theory models via L1 regularization. Psychometrika 2016, 81, 921–939. [Google Scholar] [CrossRef]
- Huang, P.H.; Chen, H.; Weng, L.J. A penalized likelihood method for structural equation modeling. Psychometrika 2017, 82, 329–354. [Google Scholar] [CrossRef]
- Jacobucci, R.; Grimm, K.J.; McArdle, J.J. Regularized structural equation modeling. Struct. Equ. Model. 2016, 23, 555–566. [Google Scholar] [CrossRef]
- Chen, Y.; Li, X.; Liu, J.; Ying, Z. Regularized latent class analysis with application in cognitive diagnosis. Psychometrika 2017, 82, 660–692. [Google Scholar] [CrossRef]
- Robitzsch, A.; George, A.C. The R package CDM for diagnostic modeling. In Handbook of Diagnostic Classification Models; von Davier, M., Lee, Y.S., Eds.; Springer: Cham, Switzerland, 2019; pp. 549–572. [Google Scholar] [CrossRef]
- Robitzsch, A. Regularized latent class analysis for polytomous item responses: An application to SPM-LS data. J. Intell. 2020, 8, 30. [Google Scholar] [CrossRef]
- Belzak, W.; Bauer, D.J. Improving the assessment of measurement invariance: Using regularization to select anchor items and identify differential item functioning. Psychol. Methods 2020, 25, 673–690. [Google Scholar] [CrossRef] [PubMed]
- Bauer, D.J.; Belzak, W.C.M.; Cole, V.T. Simplifying the assessment of measurement invariance over multiple background variables: Using regularized moderated nonlinear factor analysis to detect differential item functioning. Struct. Equ. Model. 2020, 27, 43–55. [Google Scholar] [CrossRef] [PubMed]
- Chen, Y.; Li, C.; Xu, G. DIF statistical inference and detection without knowing anchoring items. arXiv 2021, arXiv:2110.11112. [Google Scholar] [CrossRef]
- Gürer, C.; Draxler, C. Penalization approaches in the conditional maximum likelihood and Rasch modelling context. Br. J. Math. Stat. Psychol. 2022. [Google Scholar] [CrossRef] [PubMed]
- Liang, X.; Jacobucci, R. Regularized structural equation modeling to detect measurement bias: Evaluation of lasso, adaptive lasso, and elastic net. Struct. Equ. Model. 2020, 27, 722–734. [Google Scholar] [CrossRef]
- Tutz, G.; Schauberger, G. A penalty approach to differential item functioning in Rasch models. Psychometrika 2015, 80, 21–43. [Google Scholar] [CrossRef]
- Schauberger, G.; Mair, P. A regularization approach for the detection of differential item functioning in generalized partial credit models. Behav. Res. Methods 2020, 52, 279–294. [Google Scholar] [CrossRef]
- Hastie, T.; Tibshirani, R.; Wainwright, M. Statistical Learning with Sparsity: The Lasso and Generalizations; CRC Press: Boca Raton, FL, USA, 2015. [Google Scholar] [CrossRef]
- Fan, J.; Li, R. Variable selection via nonconcave penalized likelihood and its oracle properties. J. Am. Stat. Assoc. 2001, 96, 1348–1360. [Google Scholar] [CrossRef]
- Tibshirani, R.; Saunders, M.; Rosset, S.; Zhu, J.; Knight, K. Sparsity and smoothness via the fused lasso. J. R. Stat. Soc. Ser. B Stat. Methodol. 2005, 67, 91–108. [Google Scholar] [CrossRef]
- Tutz, G.; Gertheiss, J. Regularized regression for categorical data. Stat. Model. 2016, 16, 161–200. [Google Scholar] [CrossRef]
- Sen, S.; Cohen, A.S.; Kim, S.H. Model selection for multilevel mixture Rasch models. Appl. Psychol. Meas. 2019, 43, 272–289. [Google Scholar] [CrossRef] [PubMed]
- Chen, Y.; Liu, J.; Xu, G.; Ying, Z. Statistical analysis of Q-matrix based diagnostic classification models. J. Am. Stat. Assoc. 2015, 110, 850–866. [Google Scholar] [CrossRef]
- Battauz, M. Regularized estimation of the nominal response model. Multivar. Behav. Res. 2020, 55, 811–824. [Google Scholar] [CrossRef] [PubMed]
- Oelker, M.R.; Tutz, G. A uniform framework for the combination of penalties in generalized structured models. Adv. Data Anal. Classif. 2017, 11, 97–120. [Google Scholar] [CrossRef]
- Asparouhov, T.; Muthén, B. Random Starting Values and Multistage Optimization. Technical Report. 2019. Available online: https://bit.ly/3SCLTjt (accessed on 30 September 2022).
- Robitzsch, A. sirt: Supplementary Item Response Theory Models. R Package Version 3.12-66. 2022. Available online: https://CRAN.R-project.org/package=sirt (accessed on 17 May 2022).
- Efron, B.; Tibshirani, R.J. An Introduction to the Bootstrap; CRC Press: Boca Raton, FL, USA, 1994. [Google Scholar] [CrossRef]
- R Core Team. R: A Language and Environment for Statistical Computing; R Core Team: Vienna, Austria, 2022; Available online: https://www.R-project.org/ (accessed on 11 January 2022).
- Liu, X.; Wallin, G.; Chen, Y.; Moustaki, I. Rotation to sparse loadings using Lp losses and related inference problems. arXiv 2022, arXiv:2206.02263. [Google Scholar] [CrossRef]
- Alexandrowicz, R.; Matschinger, H. Estimation of item location effects by means of the generalized logistic regression model: A simulation study and an application. Psychol. Sci. 2008, 50, 64–74. [Google Scholar]
- Jin, K.Y.; Wang, W.C. Item response theory models for performance decline during testing. J. Educ. Meas. 2014, 51, 178–200. [Google Scholar] [CrossRef]
- List, M.K.; Robitzsch, A.; Lüdtke, O.; Köller, O.; Nagy, G. Performance decline in low-stakes educational assessments: Different mixture modeling approaches. Large-Scale Assess. Educ. 2017, 5, 15. [Google Scholar] [CrossRef]
- Debeer, D.; Janssen, R. Modeling item-position effects within an IRT framework. J. Educ. Meas. 2013, 50, 164–185. [Google Scholar] [CrossRef]
- Hartig, J.; Buchholz, J. A multilevel item response model for item position effects and individual persistence. Psych. Test Assess. Model. 2012, 54, 418–431. [Google Scholar]
- Bolt, D.M.; Cohen, A.S.; Wollack, J.A. Item parameter estimation under conditions of test speededness: Application of a mixture Rasch model with ordinal constraints. J. Educ. Meas. 2002, 39, 331–348. [Google Scholar] [CrossRef]
- Maronna, R.A.; Martin, R.D.; Yohai, V.J. Robust Statistics: Theory and Methods; Wiley: New York, NY, USA, 2006. [Google Scholar] [CrossRef]
- Bolt, D.M.; Kim, J.S.; Blanton, M.; Knuth, E. Applications of item response theory in mathematics education research. J. Res. Math. Educ. 2016, 15, 31–52. [Google Scholar]
- Robitzsch, A. Four-parameter guessing model and related item response models. Preprints 2022, 2022100430. [Google Scholar] [CrossRef]







| Choice of | ||||||
|---|---|---|---|---|---|---|
| N | AIC | BIC | 0.05 | 0.1 | 0.15 | |
| 0.5 | 1000 | 6.4 | 0.4 | 12.5 | 9.1 | 5.3 |
| 2500 | 5.3 | 0.2 | 8.6 | 5.7 | 3.4 | |
| 5000 | 5.1 | 0.3 | 7.7 | 4.4 | 2.0 | |
| 1 | 1000 | 6.9 | 0.9 | 13.0 | 9.4 | 5.6 |
| 2500 | 6.7 | 2.5 | 9.8 | 6.4 | 4.4 | |
| 5000 | 6.3 | 3.9 | 7.9 | 4.9 | 4.0 | |
| Type I Error Rate for Non-DIF Effects | Power Rate for DIF Effects | ||||||||||
|---|---|---|---|---|---|---|---|---|---|---|---|
| Choice of | Choice of | ||||||||||
| N | AIC | BIC | 0.05 | 0.1 | 0.15 | AIC | BIC | 0.05 | 0.1 | 0.15 | |
| 0.5 | 1000 | 30.7 | 1.6 | 61.1 | 44.1 | 25.3 | 38.3 | 2.7 | 69.0 | 52.3 | 31.1 |
| 2500 | 21.3 | 0.5 | 37.1 | 23.2 | 13.3 | 46.8 | 2.7 | 67.4 | 48.6 | 31.2 | |
| 5000 | 17.5 | 0.4 | 29.6 | 14.8 | 5.9 | 58.5 | 5.4 | 74.4 | 52.0 | 27.1 | |
| 1 | 1000 | 25.6 | 1.7 | 58.5 | 38.4 | 19.7 | 70.0 | 16.5 | 90.1 | 80.5 | 61.6 |
| 2500 | 17.6 | 1.0 | 36.4 | 16.1 | 5.8 | 95.9 | 58.0 | 98.9 | 95.3 | 87.5 | |
| 5000 | 14.6 | 0.6 | 24.5 | 5.5 | 0.8 | 99.9 | 95.4 | 100.0 | 99.6 | 96.0 | |
| Bias | RMSE | |||||||||||
|---|---|---|---|---|---|---|---|---|---|---|---|---|
| Choice of | Choice of | |||||||||||
| Par | N | AIC | BIC | 0.05 | 0.1 | 0.15 | AIC | BIC | 0.05 | 0.1 | 0.15 | |
| 0.5 | 1000 | 0.04 | 0.05 | 0.03 | 0.03 | 0.04 | 0.17 | 0.17 | 0.16 | 0.16 | 0.17 | |
| 2500 | 0.02 | 0.02 | 0.02 | 0.02 | 0.02 | 0.13 | 0.13 | 0.13 | 0.13 | 0.13 | ||
| 5000 | 0.03 | 0.03 | 0.03 | 0.03 | 0.03 | 0.10 | 0.10 | 0.10 | 0.10 | 0.10 | ||
| 1 | 1000 | 0.04 | 0.04 | 0.04 | 0.04 | 0.04 | 0.16 | 0.17 | 0.16 | 0.16 | 0.17 | |
| 2500 | 0.04 | 0.05 | 0.04 | 0.04 | 0.04 | 0.10 | 0.11 | 0.10 | 0.10 | 0.10 | ||
| 5000 | 0.04 | 0.04 | 0.04 | 0.04 | 0.04 | 0.08 | 0.07 | 0.08 | 0.08 | 0.07 | ||
| 0.5 | 1000 | 0.15 | 0.19 | 0.12 | 0.13 | 0.16 | 0.34 | 0.37 | 0.30 | 0.31 | 0.34 | |
| 2500 | 0.09 | 0.11 | 0.08 | 0.09 | 0.10 | 0.28 | 0.29 | 0.27 | 0.27 | 0.28 | ||
| 5000 | 0.05 | 0.07 | 0.05 | 0.05 | 0.07 | 0.22 | 0.23 | 0.21 | 0.21 | 0.22 | ||
| 1 | 1000 | 0.09 | 0.13 | 0.07 | 0.08 | 0.10 | 0.29 | 0.33 | 0.26 | 0.27 | 0.30 | |
| 2500 | 0.02 | 0.03 | 0.02 | 0.02 | 0.02 | 0.17 | 0.18 | 0.16 | 0.17 | 0.17 | ||
| 5000 | 0.01 | 0.01 | 0.01 | 0.01 | 0.01 | 0.11 | 0.11 | 0.11 | 0.11 | 0.11 | ||
| 0.5 | 1000 | 0.00 | 0.01 | 0.00 | 0.00 | 0.01 | 0.10 | 0.10 | 0.09 | 0.09 | 0.10 | |
| 2500 | 0.00 | 0.01 | 0.00 | 0.00 | 0.01 | 0.07 | 0.07 | 0.07 | 0.07 | 0.07 | ||
| 5000 | 0.00 | 0.00 | 0.00 | 0.00 | 0.00 | 0.05 | 0.05 | 0.05 | 0.05 | 0.05 | ||
| 1 | 1000 | 0.01 | 0.02 | 0.00 | 0.00 | 0.01 | 0.09 | 0.10 | 0.09 | 0.09 | 0.09 | |
| 2500 | 0.00 | 0.00 | 0.00 | 0.00 | 0.00 | 0.05 | 0.06 | 0.05 | 0.05 | 0.05 | ||
| 5000 | 0.01 | 0.01 | 0.01 | 0.01 | 0.00 | 0.04 | 0.04 | 0.04 | 0.04 | 0.04 | ||
| 0.5 | 1000 | 0.06 | 0.05 | 0.06 | 0.06 | 0.06 | 0.16 | 0.16 | 0.15 | 0.15 | 0.16 | |
| 2500 | 0.05 | 0.03 | 0.05 | 0.05 | 0.05 | 0.11 | 0.11 | 0.11 | 0.11 | 0.11 | ||
| 5000 | 0.03 | 0.03 | 0.04 | 0.04 | 0.03 | 0.08 | 0.08 | 0.08 | 0.08 | 0.08 | ||
| 1 | 1000 | 0.04 | 0.03 | 0.04 | 0.04 | 0.04 | 0.14 | 0.15 | 0.14 | 0.14 | 0.14 | |
| 2500 | 0.03 | 0.02 | 0.03 | 0.03 | 0.03 | 0.08 | 0.09 | 0.08 | 0.08 | 0.08 | ||
| 5000 | 0.03 | 0.02 | 0.03 | 0.03 | 0.02 | 0.06 | 0.06 | 0.06 | 0.06 | 0.06 | ||
| 0.5 | 1000 | 0.03 | 0.03 | 0.03 | 0.03 | 0.03 | 0.04 | 0.03 | 0.04 | 0.04 | 0.04 | |
| 2500 | 0.03 | 0.03 | 0.03 | 0.03 | 0.03 | 0.04 | 0.03 | 0.04 | 0.04 | 0.04 | ||
| 5000 | 0.03 | 0.03 | 0.03 | 0.03 | 0.03 | 0.03 | 0.03 | 0.03 | 0.03 | 0.04 | ||
| 1 | 1000 | 0.03 | 0.03 | 0.03 | 0.03 | 0.03 | 0.04 | 0.04 | 0.05 | 0.05 | 0.04 | |
| 2500 | 0.02 | 0.02 | 0.02 | 0.02 | 0.02 | 0.04 | 0.04 | 0.04 | 0.04 | 0.04 | ||
| 5000 | 0.01 | 0.01 | 0.01 | 0.01 | 0.01 | 0.04 | 0.03 | 0.03 | 0.03 | 0.03 | ||
| (no DIF) | 0.5 | 1000 | 0.04 | 0.01 | 0.03 | 0.04 | 0.05 | 0.57 | 0.20 | 0.60 | 0.59 | 0.56 |
| 2500 | 0.03 | 0.00 | 0.02 | 0.03 | 0.03 | 0.36 | 0.10 | 0.38 | 0.37 | 0.34 | ||
| 5000 | 0.02 | 0.00 | 0.02 | 0.02 | 0.02 | 0.25 | 0.07 | 0.27 | 0.25 | 0.21 | ||
| 1 | 1000 | 0.05 | 0.01 | 0.04 | 0.04 | 0.05 | 0.46 | 0.19 | 0.50 | 0.48 | 0.45 | |
| 2500 | 0.01 | 0.00 | 0.01 | 0.02 | 0.01 | 0.23 | 0.09 | 0.26 | 0.23 | 0.18 | ||
| 5000 | 0.01 | 0.00 | 0.01 | 0.01 | 0.00 | 0.15 | 0.05 | 0.17 | 0.11 | 0.05 | ||
| (DIF) | 0.5 | 1000 | 0.22 | 0.46 | 0.14 | 0.17 | 0.25 | 0.62 | 0.54 | 0.59 | 0.60 | 0.63 |
| 2500 | 0.15 | 0.47 | 0.09 | 0.14 | 0.22 | 0.47 | 0.51 | 0.42 | 0.47 | 0.51 | ||
| 5000 | 0.13 | 0.45 | 0.09 | 0.15 | 0.27 | 0.40 | 0.50 | 0.35 | 0.41 | 0.48 | ||
| 1 | 1000 | 0.26 | 0.77 | 0.19 | 0.22 | 0.31 | 0.67 | 0.95 | 0.56 | 0.61 | 0.72 | |
| 2500 | 0.08 | 0.37 | 0.07 | 0.09 | 0.12 | 0.37 | 0.68 | 0.34 | 0.37 | 0.44 | ||
| 5000 | 0.06 | 0.08 | 0.06 | 0.06 | 0.07 | 0.23 | 0.29 | 0.23 | 0.23 | 0.28 | ||
| Item | True | Est | SE | True | Est | |
|---|---|---|---|---|---|---|
| 1 | −1.4 | −1.31 | 0.16 | 0.0 | 0.00 | 0.74 |
| 2 | −0.9 | −0.85 | 0.15 | 0.0 | 0.00 | 0.81 |
| 3 | −1.6 | −1.59 | 0.16 | 0.0 | 0.00 | 0.82 |
| 4 | −1.1 | −1.02 | 0.17 | 0.0 | 0.00 | 0.77 |
| 5 | 0.3 | 0.32 | 0.20 | 0.0 | 0.00 | 0.59 |
| 6 | 0.4 | 0.44 | 0.17 | 0.0 | 0.00 | 0.77 |
| 7 | 0.4 | 0.50 | 0.15 | 0.0 | 0.00 | 0.86 |
| 8 | 0.9 | 0.95 | 0.15 | 0.0 | 0.00 | 0.83 |
| 9 | 0.5 | 0.56 | 0.21 | 0.0 | 0.00 | 0.63 |
| 10 | 0.5 | 0.58 | 0.18 | 0.0 | 0.00 | 0.81 |
| 11 | 0.9 | 0.94 | 0.15 | 0.0 | 0.00 | 0.84 |
| 12 | 0.4 | 0.56 | 0.29 | 0.0 | −0.34 | 0.18 |
| 13 | −1.6 | −1.68 | 0.17 | 0.0 | 0.25 | 0.65 |
| 14 | −0.6 | −0.75 | 0.27 | 0.0 | 0.49 | 0.20 |
| 15 | −0.6 | −0.54 | 0.17 | 0.0 | 0.00 | 0.85 |
| 16 | 0.9 | 1.01 | 0.20 | 0.0 | 0.00 | 0.60 |
| 17 | 0.4 | 0.53 | 0.20 | 0.0 | −0.27 | 0.72 |
| 18 | 0.9 | 1.04 | 0.22 | 0.0 | −0.24 | 0.36 |
| 19 | 0.5 | 0.59 | 0.16 | 0.1 | 0.00 | 0.65 |
| 20 | −0.1 | 0.03 | 0.15 | 0.3 | 0.00 | 0.87 |
| 21 | −1.9 | −1.75 | 0.18 | 0.5 | 0.00 | 0.85 |
| 22 | 0.3 | 0.22 | 0.18 | 0.4 | 0.43 | 0.67 |
| 23 | −0.9 | −0.80 | 0.25 | 0.8 | 0.40 | 0.35 |
| 24 | 0.0 | 0.01 | 0.22 | 0.7 | 0.29 | 0.23 |
| 25 | −1.2 | −1.42 | 0.27 | 0.8 | 1.03 | 0.23 |
| 26 | −0.2 | −0.22 | 0.23 | 0.6 | 0.57 | 0.31 |
| True | Est Fused Reg | Est Reg | |||||||
|---|---|---|---|---|---|---|---|---|---|
| Item | |||||||||
| 1 | −0.7 | 1.4 | −0.7 | −0.74 | 1.47 | −0.74 | −0.72 | 1.44 | −0.72 |
| 2 | −0.7 | 1.4 | −0.7 | −0.70 | 1.44 | −0.70 | −0.68 | 1.41 | −0.68 |
| 3 | −2.5 | 1.1 | −2.5 | −2.62 | 1.13 | −2.19 | −2.61 | 1.10 | −2.18 |
| 4 | −1.3 | 1.3 | −1.3 | −1.29 | 1.33 | −1.29 | −1.27 | 1.30 | −1.27 |
| 5 | −1.3 | 1.0 | −1.3 | −1.32 | 1.07 | −1.32 | −1.30 | 1.05 | −1.30 |
| 6 | 1.1 | 1.1 | −0.6 | 1.17 | 1.17 | −0.57 | 1.17 | 1.17 | −0.56 |
| 7 | 1.0 | −1.1 | −0.6 | 1.03 | −1.21 | −0.64 | 1.04 | −1.24 | −0.62 |
| 8 | 0.0 | −1.8 | −1.2 | −0.05 | −1.73 | −1.34 | −0.05 | −1.76 | −1.31 |
| 9 | 0.4 | −1.2 | −1.2 | 0.42 | −1.16 | −1.16 | 0.42 | −1.16 | −1.16 |
| 10 | 1.5 | 0.3 | 0.3 | 1.45 | 0.30 | 0.30 | 1.45 | 0.29 | 0.29 |
| 11 | 2.3 | 3.7 | 3.7 | 2.34 | 3.79 | 3.79 | 2.34 | 3.81 | 3.81 |
| 12 | −0.9 | −1.5 | 1.0 | −0.84 | −1.41 | 1.05 | −0.83 | −1.43 | 1.08 |
| 13 | −0.9 | −1.5 | 1.0 | −0.92 | −1.42 | 1.15 | −0.91 | −1.44 | 1.17 |
| 14 | −1.2 | −1.2 | −1.2 | −1.16 | −1.16 | −1.16 | −1.15 | −1.15 | −1.15 |
| 15 | −1.8 | 0.0 | 3.3 | −1.70 | 0.19 | 2.89 | −1.69 | 0.16 | 3.06 |
| 16 | 0.0 | 0.0 | 3.3 | 0.07 | 0.07 | 3.21 | 0.07 | 0.07 | 3.24 |
| 17 | 1.0 | 1.0 | 3.4 | 1.00 | 1.00 | 3.20 | 0.99 | 0.99 | 3.22 |
| 18 | 0.0 | −1.2 | −1.2 | 0.02 | −1.26 | −1.26 | 0.02 | −1.26 | −1.26 |
| 19 | 1.4 | −0.4 | −0.4 | 1.49 | −0.48 | −0.48 | 1.49 | −0.63 | −0.33 |
Publisher’s Note: MDPI stays neutral with regard to jurisdictional claims in published maps and institutional affiliations. |
© 2022 by the author. Licensee MDPI, Basel, Switzerland. This article is an open access article distributed under the terms and conditions of the Creative Commons Attribution (CC BY) license (https://creativecommons.org/licenses/by/4.0/).
Share and Cite
Robitzsch, A. Regularized Mixture Rasch Model. Information 2022, 13, 534. https://doi.org/10.3390/info13110534
Robitzsch A. Regularized Mixture Rasch Model. Information. 2022; 13(11):534. https://doi.org/10.3390/info13110534
Chicago/Turabian StyleRobitzsch, Alexander. 2022. "Regularized Mixture Rasch Model" Information 13, no. 11: 534. https://doi.org/10.3390/info13110534
APA StyleRobitzsch, A. (2022). Regularized Mixture Rasch Model. Information, 13(11), 534. https://doi.org/10.3390/info13110534
