Partial Fractional Fourier Transform (PFrFT)-MIMO-OFDM for Known Underwater Acoustic Communication Channels
Abstract
:1. Introduction
2. System Model
2.1. PFrFT Based UWA Transceiver
2.2. Discrete Fractional Fourier Transform (DFrFT)
2.3. MIMO PFrFT-OFDM System
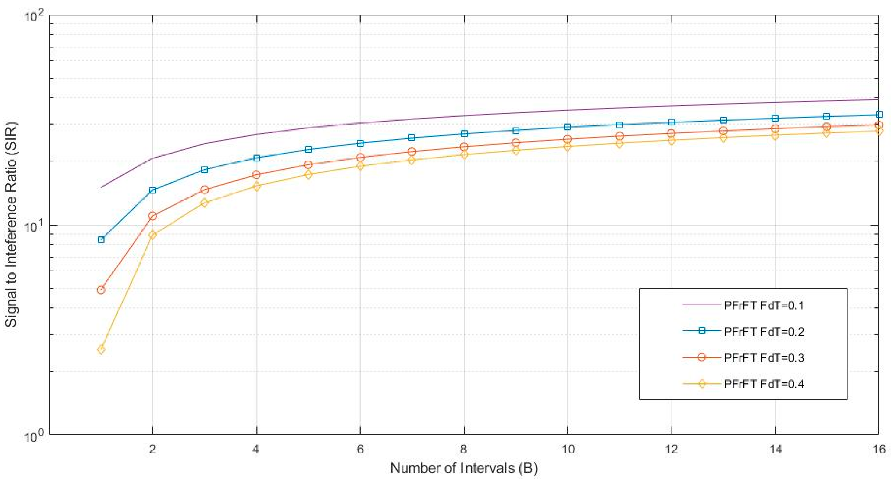
2.4. Selection of Optimal Fractional Order
2.5. Complexity Consideration
3. Simulation Result and Discussion
3.1. Parameter of MIMO-OFDM
3.2. Parameter of UWA Channel
3.3. Simulation Analysis
4. Conclusions
Author Contributions
Funding
Conflicts of Interest
References
- Yerramalli, S.; Stojanovic, M.; Mitra, U. Partial FFT demodulation: A detection method for highly Doppler distorted OFDM systems. IEEE Trans. Signal Process. 2012, 60, 5906–5918. [Google Scholar] [CrossRef] [Green Version]
- Li, B.; Huang, J.; Zhou, S.; Ball, K.; Stojanovic, M.; Freitag, L.; Willett, P. MIMO-OFDM for high-rate underwater acoustic communications. IEEE J. Ocean. Eng. 2009, 34, 634–644. [Google Scholar]
- Tao, J. DFT-precoded MIMO OFDM underwater acoustic communications. IEEE J. Ocean. Eng. 2017, 43, 805–819. [Google Scholar] [CrossRef]
- Qiao, G.; Babar, Z.; Ma, L.; Liu, S.; Wu, J. MIMO-OFDM underwater acoustic communication systems—A review. Phys. Commun. 2017, 23, 56–64. [Google Scholar] [CrossRef]
- Stojanovic, M.; Preisig, J. Underwater acoustic communication channels: Propagation models and statistical characterization. IEEE Commun. Mag. 2009, 47, 84–89. [Google Scholar] [CrossRef]
- Li, B.; Stojanovic, S.Z.M.; Freitag, L.; Willet, P. Multicarrier Communication over underwater acoustic channels with nonuniform Doppler shifts. IEEE J. Ocean. Eng. 2008, 33, 198–209. [Google Scholar]
- Schniter, P. Low-complexity equalization of OFDM in doubly selective channels. IEEE Trans. Signal Process. 2004, 52, 1002–1011. [Google Scholar] [CrossRef]
- Huang, J.; Zhou, S.; Huang, J.; Berger, C.R.; Willett, P. Progressive inter-carrier interference equalization for OFDM transmission over time-varying underwater acoustic channels. IEEE J. Sel. Top. Signal Process. 2011, 5, 1524–1536. [Google Scholar] [CrossRef]
- Fang, K.; Rugini, L.; Leus, G. Low-complexity block turbo equalization for OFDM systems in time-varying channels. IEEE Trans. Signal Process. 2008, 56, 5555–5566. [Google Scholar] [CrossRef] [Green Version]
- Rugini, L.; Banelli, P.; Leus, G. Low-complexity banded equalizers for OFDM systems in Doppler spread channels. EURASIP J. Appl. Signal Process. 2006, 2006, 1–13. [Google Scholar] [CrossRef] [Green Version]
- Li, Y.; Sha, X.; Zheng, F.; Wang, K. Low Complexity Equalization of HCM Systems with DPFFT Demodulation over Doubly-Selective Channels. IEEE Signal Process. Lett. 2014, 21, 862–865. [Google Scholar]
- Aval, Y.M.; Stojanovic, M. Differentially coherent multischannel detection of acoustic OFDM signals. IEEE J. Ocean. Eng. 2014, 40, 251–268. [Google Scholar] [CrossRef]
- Chen, Y. Partial Fractional Fourier Transform (PFrFT)-OFDM for underwater acoustic communication. In Proceedings of the European Signal Processing Conference (EUSIPCO), Nice, France, 31 August–4 September 2015. [Google Scholar]
- Solyman, A.; Weiss, S.; Soraghan, J.J. Hybrid DFrFT and FFT based Multimode Transmission OFDM System. In Proceedings of the ICEENG, Cairo, Egypt, 29–31 May 2012. [Google Scholar]
- Chen, Y. Fractional Cosine Transform (FrCT)-Turbo based OFDM for underwater acoustic communication. In Proceedings of the Sensor Signal Processing for Defence (SSPD), Edinburgh, UK, 9–10 September 2015. [Google Scholar]
- Chen, S.; Yang, Y. Low-Complexity MMSE-SIC Equalizer Employing LDLH Factorization for OFDM Systems over Time-Varying Channels. IEEE Trans. Veh. Technol. 2010, 59, 4128–4131. [Google Scholar]
- Candan, C.; Kutay, M.; Ozaktas, H. The discrete fractional Fourier transform. IEEE Trans. Signal Process. 2000, 48, 1329–1337. [Google Scholar]
- Namias, V. The Fractional Order Fourier Transform and its Application to Quantum Mechanics. IMA J. Appl. Math. 1980, 25, 241–265. [Google Scholar]
- Singh, A.K.; Saxena, R. DFRFT: A classified review of recent methods with its application. J. Eng. 2013, 2013, 214650. [Google Scholar]
- Zhao, Y.; Yu, H.; Wei, G.; Ji, F.; Chen, F. Parameter estimation of wideband underwater acoustic multipath channels based on fractional Fourier transform. IEEE Trans. Signal Process. 2016, 64, 5396–5408. [Google Scholar]









| Whole System | Computational Complexity |
|---|---|
| PFrFT-LDLH | |
| G-PFFT [1] |
| Weight Combining | Computational Complexity |
|---|---|
| O(B(8D2 + 22D + 4)K) | |
| BMMSE | |
| G-PFFT [1] |
Publisher’s Note: MDPI stays neutral with regard to jurisdictional claims in published maps and institutional affiliations. |
© 2021 by the authors. Licensee MDPI, Basel, Switzerland. This article is an open access article distributed under the terms and conditions of the Creative Commons Attribution (CC BY) license (https://creativecommons.org/licenses/by/4.0/).
Share and Cite
Chen, Y.; Clemente, C.; Soraghan, J.J. Partial Fractional Fourier Transform (PFrFT)-MIMO-OFDM for Known Underwater Acoustic Communication Channels. Information 2021, 12, 469. https://doi.org/10.3390/info12110469
Chen Y, Clemente C, Soraghan JJ. Partial Fractional Fourier Transform (PFrFT)-MIMO-OFDM for Known Underwater Acoustic Communication Channels. Information. 2021; 12(11):469. https://doi.org/10.3390/info12110469
Chicago/Turabian StyleChen, Yixin, Carmine Clemente, and John J. Soraghan. 2021. "Partial Fractional Fourier Transform (PFrFT)-MIMO-OFDM for Known Underwater Acoustic Communication Channels" Information 12, no. 11: 469. https://doi.org/10.3390/info12110469
APA StyleChen, Y., Clemente, C., & Soraghan, J. J. (2021). Partial Fractional Fourier Transform (PFrFT)-MIMO-OFDM for Known Underwater Acoustic Communication Channels. Information, 12(11), 469. https://doi.org/10.3390/info12110469

