Impact of Sudden Global Events on Cross-Field Research Cooperation
Abstract
1. Introduction
- (i)
- According to the data of published papers related to COVID-19 during the COVID-19 pandemic period, three mechanisms leading to a large increase in the number of COVID-19 papers were analyzed.
- (ii)
- The multi-field paper association structure network based on COVID-19 was constructed. The changes of cooperation between different fields were analyzed based on the influence of COVID-19.
- (iii)
- From the perspective of knowledge dissemination, the different factors that affect the dissemination of new discoveries in a certain field were studied.
2. Related Work
2.1. Scientific Collaboration
2.2. Evolution of the Study of Scientific Collaboration Networks over Time
2.3. The Propagation Dynamics of Complex Network
3. Methods
3.1. Three Mechanisms Leading to a Large Number of COVID-19 Related Articles
3.2. Construction of Multi-Field Paper Association Structure Network Based on COVID-19
3.3. Paper Association Mechanism and Wall Breaking Principle between Multiple Research Fields during the COVID-19 Epidemic
4. Model and Simulation
4.1. Knowledge Dissemination Model of the New Discoveries in the Multiple Fields
4.2. The Basic Reproduction Number
4.3. Relevant New Findings
- (i)
- When a new discovery comes into being in the COVID-19 field, the greater is the number of articles in the COVID-19 field at the moment, the higher is the possibility that this new discovery will be spread widely in the COVID-19 field.
- (ii)
- If the incentive mechanism and the potential mechanism of this field are stronger, the new discovery is more likely to spread widely.
- (iii)
- If a new discovery is not easy to make scholars lose interest, then it is more likely that this new discovery will be widely spread.
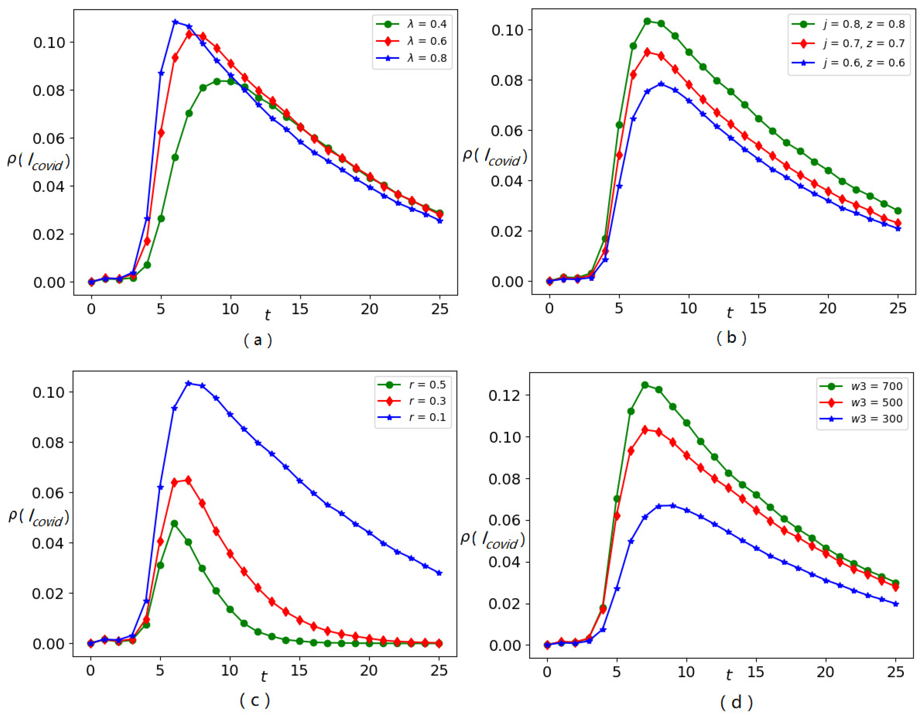
4.4. Simulation Results
5. Conclusions
Author Contributions
Funding
Acknowledgments
Conflicts of Interest
References
- Cao, X.T. COVID-19: Immunopathology and its implications for therapy. Nat. Rev. Immunol. 2020, 20, 269–270. [Google Scholar] [CrossRef] [PubMed]
- Yang, L.; Liu, S.; Liu, J.; Zhang, Z.; Wan, X.; Huang, B.; Chen, Y.; Zhang, Y. COVID-19: Immunopathogenesis and Immunotherapeutics. Signal Transduct. Target. Ther. 2020, 5, 1–8. [Google Scholar] [CrossRef] [PubMed]
- Jeyanathan, M.; Afkhami, S.; Smaill, F.; Miller, M.S.; Lichty, B.D.; Xing, Z. Immunological considerations for COVID-19 vaccine strategies. Nat. Rev. Immunol. 2020, 20, 615–632. [Google Scholar] [CrossRef] [PubMed]
- Porter, S.J.; Hook, D.W. How COVID-19 is Changing Research Culture; Digital Science: London, UK, 2020. [Google Scholar]
- Bertuzzo, E.; Mari, L.; Pasetto, D.; Miccoli, S.; Casagr, R.; Gatto, M.; Rinaldo, A. The geography of COVID-19 spread in Italy and implications for the relaxation of confinement measures. Nat. Commun. 2020, 11. [Google Scholar] [CrossRef] [PubMed]
- Lasisi, T.T.; Eluwole, K.K. Is the weather-induced COVID-19 spread hypothesis a myth or reality? Evidence from the Russian Federation. Environ. Sci. Pollut. Res. 2020, 1–5. [Google Scholar] [CrossRef]
- Mahmud, T.; Rahman, M.A.; Fattah, S.A. CovXNet: A multi-dilation convolutional neural network for automatic COVID-19 and other pneumonia detection from chest X-ray images with transferable multi-receptive feature optimization. Comput. Biol. Med. 2020, 122, 103869. [Google Scholar] [CrossRef]
- Oni, T.; Micklesfield, L.K.; Wadende, P.; Obonyo, C.O.; Woodcock, J.; Mogo, E.R.I.; Odunitan-Wayas, F.A.; Assah, F.; Tatah, L.; Foley, L.; et al. Implications of COVID-19 control measures for diet and physical activity, and lessons for addressing other pandemics facing rapidly urbanising countries. Glob. Health Action 2020, 13, 1810415. [Google Scholar] [CrossRef]
- Abbasi, A.; Hossain, L.; Uddin, S.; Rasmussen, K.J. Evolutionary dynamics of scientific collaboration networks: Multi-levels and cross-time analysis. Scientometrics 2011, 89, 687–710. [Google Scholar] [CrossRef]
- Ramasco, J.J.; Dorogovtsev, S.N.; Pastor-Satorras, R. Self-organization of collaboration networks. Phys. Rev. E 2004, 70, 036106. [Google Scholar] [CrossRef]
- Chirita, P.A.; Damian, A.; Nejdl, W.; Siberski, W. Search strategies for scientific collaboration networks. In Proceedings of the 2005 ACM Workshop on Information Retrieval in Peer-to-Peer Networks, Bremen, Germany, 4 November 2005; pp. 33–40. [Google Scholar]
- Pan, P.K.; Kaski, K.; Fortunato, S. World citation and collaboration networks: Uncovering the role of geography in science. Sci. Rep. 2012, 2, 902. [Google Scholar] [CrossRef]
- Zhou, J.; Zeng, A.; Fan, Y.; Di, Z. Identifying important scholars via directed scientific collaboration networks. Scientometrics 2018, 114, 1327–1343. [Google Scholar] [CrossRef]
- Chadegani, A.A.; Salehi, H.; Yunus, M.; Farhadi, H.; Fooladi, M.; Farhadi, M.; Ebrahim, N.A. A comparison between two main academic literature collections: Web of Science and Scopus databases. Asian Soc. Sci. 2013, 9, 18–26. [Google Scholar] [CrossRef]
- Lu, S.F.; Jin, G.Z.; Uzzi, B.; Jones, B. The retraction penalty: Evidence from the Web of Science. Sci. Rep. 2013, 3, 1–5. [Google Scholar] [CrossRef]
- Paul-Hus, A.; Desrochers, N.; Costas, R. Characterization, description, and considerations for the use of funding acknowledgement data in Web of Science. Scientometrics 2016, 108, 167–182. [Google Scholar] [CrossRef]
- Newman, M.E.J. Scientific collaboration networks. I. Network construction and fundamental results. Phys. Rev. E 2001, 64, 016131. [Google Scholar] [CrossRef] [PubMed]
- Newman, M.E.J. The structure of scientific collaboration networks. Proc. Natl. Acad. Sci. USA 2001, 98, 404–409. [Google Scholar] [CrossRef] [PubMed]
- Newman, M.E.J. Coauthorship networks and patterns of scientific collaboration. Proc. Natl. Acad. Sci. USA 2004, 101, 5200–5205. [Google Scholar] [CrossRef]
- Newman, M.E.J. Scientific collaboration networks. II. Shortest paths, weighted networks, and centrality. Phys. Rev. E 2001, 64, 016132. [Google Scholar] [CrossRef]
- Liu, X.F.; Xu, X.K.; Small, M.; Chi, K.T. Attack resilience of the evolving scientific collaboration network. PLoS ONE 2011, 6, e26271. [Google Scholar] [CrossRef]
- Zhao, L.; Zhang, Q.; Wang, L. Benefit distribution mechanism in the team members’ scientific research collaboration network. Scientometrics 2014, 100, 363–389. [Google Scholar] [CrossRef]
- Shi, Q.; Xu, B.; Xu, X.; Xiao, Y.; Wang, W.; Wang, H. Diversity of social ties in scientific collaboration networks. Phys. A Stat. Mech. Appl. 2011, 390, 4627–4635. [Google Scholar] [CrossRef]
- Ferligoj, A.; Kronegger, L.; Mali, F.; Snijders, T.A.; Doreian, P. Scientific collaboration dynamics in a national scientific system. Scientometrics. 2015, 104, 985–1012. [Google Scholar] [CrossRef] [PubMed]
- Li, Y.; Li, H.; Liu, N.; Liu, X. Important institutions of interinstitutional scientific collaboration networks in materials science. Scientometrics 2018, 117, 85–103. [Google Scholar] [CrossRef]
- Ke, Q.; Ahn, Y.Y. Tie strength distribution in scientific collaboration networks. Phys. Rev. E 2014, 90, 032804. [Google Scholar] [CrossRef] [PubMed]
- Sonnenwald, D.H. Scientific collaboration: A synthesis of challenges and strategies. Annu. Rev. Inf. Sci. Technol. 2007, 41, 643–681. [Google Scholar] [CrossRef]
- Hara, N.; Solomon, P.; Kim, S.L.; Sonnenwald, D.H. An emerging view of scientific collaboration: Scientists’ perspectives on collaboration and factors that impact collaboration. J. Am. Soc. Inf. Sci. Technol. 2003, 54, 952–965. [Google Scholar] [CrossRef]
- Katz, J. Geographical proximity and scientific collaboration. Scientometrics 1994, 31, 31–43. [Google Scholar] [CrossRef]
- Kretschmer, H. Author productivity and geodesic distance in bibliographic co-authorship networks, and visibility on the Web. Scientometrics 2004, 60, 409–420. [Google Scholar] [CrossRef]
- Barabâsi, A.L.; Jeong, H.; Néda, Z.; Ravasz, E.; Schubert, A.; Vicsek, T. Evolution of the social network of scientific collaborations. Phys. A Stat. Mech. Its Appl. 2002, 311, 590–614. [Google Scholar] [CrossRef]
- Kim, J.; Diesner, J. The effect of data pre-processing on understanding the evolution of collaboration networks. J. Inf. 2015, 9, 226–236. [Google Scholar] [CrossRef]
- Wagner, C.S.; Roessner, J.D.; Bobb, K.; Klein, J.T.; Boyack, K.W.; Keyton, J.; Rafols, I.; Bornerf, K. Approaches to understanding and measuring interdisciplinary scientific research (IDR): A review of the literature. J. Inf. 2011, 5, 14–26. [Google Scholar] [CrossRef]
- Boman, J.H., IV; Mowen, T.J. Same feathers, different flocks: Breaking down the meaning of ‘behavioral Homophily’in the etiology of crime. J. Crim. Justice. 2018, 54, 30–40. [Google Scholar] [CrossRef] [PubMed]
- Ruan, Z.; Hui, P.; Lin, H.; Liu, Z. Risks of an epidemic in a two-layered railway-local area traveling network. Eur. Phys. J. B 2013, 86, 13. [Google Scholar] [CrossRef] [PubMed]
- Duyckaerts, C.; Clavaguera, F.; Potier, M.C. The prion-like propagation hypothesis in Alzheimer’s and Parkinson’s disease. Curr. Opin. Neurol. 2019, 32, 266–271. [Google Scholar] [CrossRef] [PubMed]
- Zhu, L.; Zhao, H.; Wang, H. Stability and spatial patterns of an epidemic-like rumor propagation model with diffusions. Phys. Scr. 2019, 94, 085007. [Google Scholar] [CrossRef]
- WHO: A Total of 36002827 New Crown Cases Were Confirmed in the World. Available online: http://www.xinhuanet.com/2020-10/09/c_1126583044.htm (accessed on 9 October 2020).
- The Director General of the World Health Organization, Tedros Adhanom Ghebreyesus Announced That the Novel Coronavirus Pneumonia Risk Level Would Be Raised to “Very High” from the Previous “High” Level. Available online: http://www.xinhuanet.com/world/2020-02/28/c_1125641349.htm (accessed on 28 February 2020).
- Gasmi, A.; Noor, S.; Tippairote, T.; Dadar, M.; Menzel, A.; Bjorklund, G. Individual risk management strategy and potential therapeutic options for the COVID-19 pandemic. Clin. Immunol. 2020, 215, 108409. [Google Scholar] [CrossRef]
- Fiorino, G.; Colombo, M.; Natale, C.; Azzolini, E.; Lagioia, M.; Danese, S. Clinician Education and Adoption of Preventive Measures for COVID-19: A Survey of a Convenience Sample of General Practitioners in Lombardy, Italy. Ann. Intern. Med. 2020. [Google Scholar] [CrossRef]
- Guner, H.R.; Hasanoglu, İ.; Aktas, F. COVID-19: Prevention and control measures in community. Turk. J. Med Sci. 2020, 50, 571–577. [Google Scholar] [CrossRef]
- Horbach, S.P.J.M. Pandemic Publishing: Medical journals strongly speed up their publication process for Covid-19. Quant. Sci. Stud. 2020, 1, 1056–1067. [Google Scholar] [CrossRef]
- Moreno, Y.; Pastor-Satorras, R.; Vespignani, A. Epidemic outbreaks in complex heterogeneous networks. Eur. Phys. J. B-Condens. Matter Complex Syst. 2002, 26, 521–529. [Google Scholar] [CrossRef]
- Hummon, N.P.; Dereian, P. Connectivity in a citation network: The development of DNA theory. Soc. Netw. 1989, 11, 39–63. [Google Scholar] [CrossRef]
- Dawson, S.; Gašević, D.; Siemens, G.; Joksimovic, S. Current state and future trends: A citation network analysis of the learning analytics field. In Proceedings of the Fourth International Conference on Learning Analytics and Knowledge, Indianapolis, IN, USA, 24–28 March 2014; pp. 231–240. [Google Scholar]
- Kajikawa, Y.; Ohno, J.; Takeda, Y.; Matsushima, K.; Komiyama, H. Creating an academic landscape of sustainability science: An analysis of the citation network. Sustain. Sci. 2007, 2, 221. [Google Scholar] [CrossRef]











| The Value of | Average Shortest Path Length |
|---|---|
| 0 | NULL |
| 500 | 5.497 |
| 700 | 5.37 |
Publisher’s Note: MDPI stays neutral with regard to jurisdictional claims in published maps and institutional affiliations. |
© 2021 by the authors. Licensee MDPI, Basel, Switzerland. This article is an open access article distributed under the terms and conditions of the Creative Commons Attribution (CC BY) license (http://creativecommons.org/licenses/by/4.0/).
Share and Cite
Dang, Z.; Li, L.; Peng, H.; Zhang, J. Impact of Sudden Global Events on Cross-Field Research Cooperation. Information 2021, 12, 26. https://doi.org/10.3390/info12010026
Dang Z, Li L, Peng H, Zhang J. Impact of Sudden Global Events on Cross-Field Research Cooperation. Information. 2021; 12(1):26. https://doi.org/10.3390/info12010026
Chicago/Turabian StyleDang, Zhongkai, Lixiang Li, Haipeng Peng, and Jiaxuan Zhang. 2021. "Impact of Sudden Global Events on Cross-Field Research Cooperation" Information 12, no. 1: 26. https://doi.org/10.3390/info12010026
APA StyleDang, Z., Li, L., Peng, H., & Zhang, J. (2021). Impact of Sudden Global Events on Cross-Field Research Cooperation. Information, 12(1), 26. https://doi.org/10.3390/info12010026

