Drowsiness Estimation Using Electroencephalogram and Recurrent Support Vector Regression
Abstract
1. Introduction
2. Materials and Methods
2.1. Participants
2.2. Tasks
2.3. Recordings
2.3.1. Physiological Measurements
2.3.2. Psychological Measurements
2.4. Data Analysis
2.4.1. Feature Extraction
2.4.2. Statistical Analysis
2.4.3. Recurrent Support Vector Regression (RSVR)
- (1)
- Build an initial regression model from one trial dataset and use this to estimate the drowsiness condition in the next trial dataset.
- (2)
- Perform analysis of the correlation between the drowsiness condition estimated from regression analysis and each signal parameter selected from statistical analysis. Calculate the mean of the correlation coefficients and RMSE evaluated.
- (3)
- If the second driving trial is being conducted, include the estimates from regression analysis with the training data, rebuild the regression model, and record the mean of the correlation coefficients and RMSE.
- (4)
- For experiments later than the second driving trial, verify whether the current mean of the correlation coefficients is larger and RMSE is smaller than the previously recorded value. If this is so, include the estimates from regression analysis with the previous training data and rebuild the regression model. Otherwise, keep the previous regression model and training data. It means the new estimates from the regression analysis will not be included to the previous training data.
- (5)
- Use the current regression model to estimate drowsiness for further driving trials.
- (6)
- Repeat Steps 4–5 until the final driving trial.
3. Results
3.1. Validation of KSS Similarity
3.2. Feature Extraction and Selection
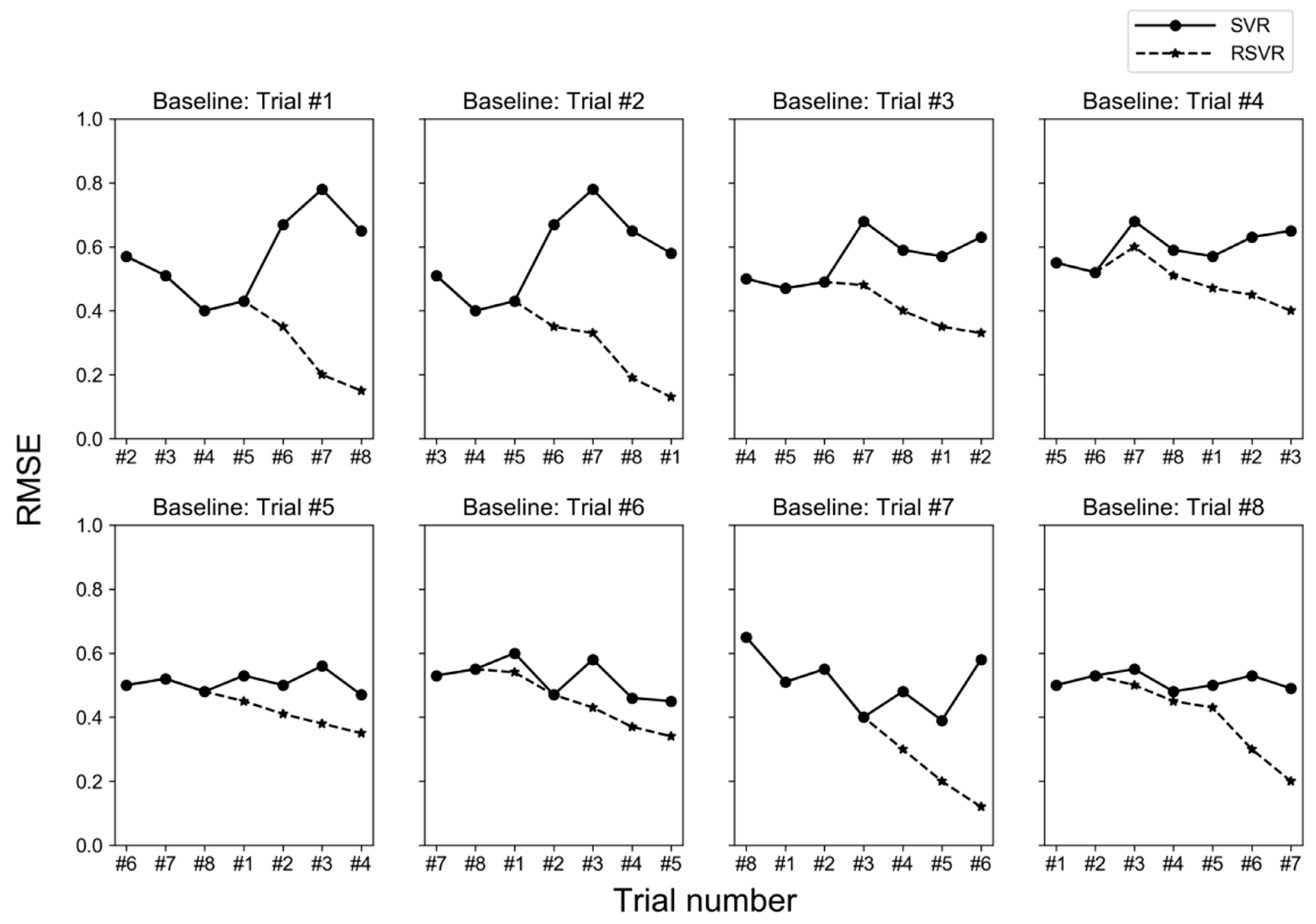
3.3. Analysis of Regression Techniques
3.4. Statistical Analysis of Estimation Methods
4. Discussion
4.1. Validation of KSS Similarity
4.2. Feature Extraction and Selection
4.3. Drowsiness Estimation and RSVR
5. Conclusions
Author Contributions
Funding
Acknowledgments
Conflicts of Interest
References
- Abtahi, S.; Hariri, B.; Shirmohammadi, S. Driver drowsiness monitoring based on yawning detection. In Proceedings of the 2011 IEEE International Instrumentation and Measurement Technology Conference, Binjiang, China, 10–12 May 2011; pp. 1–4. [Google Scholar]
- Morris, D.M.; Pilcher, J.J.; Switzer III, F.S. Lane heading difference: An innovative model for drowsy driving detection using retrospective analysis around curves. Accid. Anal. Prev. 2015, 80, 117–124. [Google Scholar] [CrossRef] [PubMed]
- Sandström, M.; Lampsijärvi, E.; Holmström, A.; Maconi, G.; Ahmadzai, S.; Meriläinen, A.; Hæggström, E.; Forsman, P. Detecting lane departures from steering wheel signal. Accid. Anal. Prev. 2017, 99, 272–278. [Google Scholar] [CrossRef]
- Patel, M.; Lal, S.K.L.; Kavanagh, D.; Rossiter, P. Applying neural network analysis on heart rate variability data to assess driver fatigue. Expert Syst. Appl. 2011, 38, 7235–7242. [Google Scholar] [CrossRef]
- Sahayadhas, A.; Sundaraj, K.; Murugappan, M.; Palaniappan, R. Physiological signal based detection of driver hypovigilance using higher order spectra. Expert Syst. Appl. 2015, 42, 8669–8677. [Google Scholar] [CrossRef]
- Piotrowski, Z.; Szypulska, M. Classification of falling asleep states using HRV analysis. Biocybern. Biomed. Eng. 2017, 37, 290–301. [Google Scholar] [CrossRef]
- Hu, S.; Zheng, G. Driver drowsiness detection with eyelid related parameters by Support Vector Machine. Expert Syst. Appl. 2009, 36, 7651–7658. [Google Scholar] [CrossRef]
- Ma’touq, J.; Al-Nabulsi, J.; Al-Kazwini, A.; Baniyassien, A.; Al-Haj Issa, G.; Mohammad, H. Eye blinking-based method for detecting driver drowsiness. J. Med. Eng. Technol. 2014, 38, 416–419. [Google Scholar] [CrossRef]
- Jackson, M.L.; Kennedy, G.A.; Clarke, C.; Gullo, M.; Swann, P.; Downey, L.A.; Hayley, A.C.; Pierce, R.J.; Howard, M.E. The utility of automated measures of ocular metrics for detecting driver drowsiness during extended wakefulness. Accid. Anal. Prev. 2016, 87, 127–133. [Google Scholar] [CrossRef]
- Lee, B.G.; Lee, B.L.; Chung, W.Y. Mobile healthcare for automatic driving sleep-onset detection using wavelet-based EEG and respiration signals. Sensors 2014, 14, 17915–17936. [Google Scholar] [CrossRef]
- Igasaki, T.; Nagasawa, K.; Murayama, N.; Hu, Z. Drowsiness estimation under driving environment by heart rate variability and/or breathing rate variability with logistic regression analysis. In Proceedings of the 2015 8th International Conference on Biomedical Engineering and Informatics (BMEI), Shenyang, China, 14–16 October 2015; pp. 189–193. [Google Scholar]
- Balasubramanian, V.; Adalarasu, K. EMG-based analysis of change in muscle activity during simulated driving. J. Bodyw. Mov. Ther. 2007, 11, 151–158. [Google Scholar] [CrossRef]
- Akbar, I.A.; Rumagit, A.M.; Utsunomiya, M.; Morie, T.; Igasaki, T. Three drowsiness categories assessment by electroencephalogram in driving simulator environment. In Proceedings of the 2017 39th Annual International Conference of the IEEE Engineering in Medicine and Biology Society (EMBC), Seogwipo, South Korea, 11–15 July 2017; pp. 2904–2907. [Google Scholar]
- Chen, L.; Zhao, Y.; Zhang, J.; Zou, J. Automatic detection of alertness/drowsiness from physiological signals using wavelet-based nonlinear features and machine learning. Expert Syst. Appl. 2015, 42, 7344–7355. [Google Scholar] [CrossRef]
- Kaida, K.; Takahashi, M.; Åkerstedt, T.; Nakata, A.; Otsuka, Y.; Haratani, T.; Fukasawa, K. Validation of the Karolinska sleepiness scale against performance and EEG variables. Clin. Neurophysiol. 2006, 117, 1574–1581. [Google Scholar] [CrossRef] [PubMed]
- Yeo, M.V.M.; Li, X.; Shen, K.; Wilder-Smith, E.P.V. Can SVM be used for automatic EEG detection of drowsiness during car driving? Saf. Sci. 2009, 47, 115–124. [Google Scholar] [CrossRef]
- Dijk, D.J.; Lockley, S.W. Integration of human sleep-wake regulation and circadian rhythmicity. J. Appl. Physiol. 2002, 92, 852–862. [Google Scholar] [CrossRef] [PubMed]
- Lin, C.T.; Chuang, C.H.; Huang, C.S.; Tsai, S.F.; Lu, S.W.; Chen, Y.H.; Ko, L.W. Wireless and wearable EEG system for evaluating driver vigilance. IEEE Trans. Biomed. Circuits Syst. 2014, 8, 165–176. [Google Scholar]
- Maia, Q.; Grandner, M.A.; Findley, J.; Gurubhagavatula, I. Short and long sleep duration and risk of drowsy driving and the role of subjective sleep insufficiency. Accid. Anal. Prev. 2013, 59, 618–622. [Google Scholar] [CrossRef] [PubMed]
- Aidman, E.; Johnson, K.; Paech, G.M.; Della Vedova, C.; Pajcin, M.; Grant, C.; Kamimori, G.; Mitchelson, E.; Hoggan, B.L.; Fidock, J.; et al. Caffeine reduces the impact of drowsiness on driving errors. Transp. Res. Part F Traffic Psychol. Behav. 2018, 54, 236–247. [Google Scholar] [CrossRef]
- Soldatos, C.R.; Kales, J.D.; Scharf, M.B.; Bixler, E.O.; Kales, A. Cigarette smoking associated with sleep difficulty. Science 1980, 207, 551–553. [Google Scholar] [CrossRef]
- Hjorth, B. EEG analysis based on time domain properties. Electroencephalogr. Clin. Neurophysiol. 1970, 29, 306–310. [Google Scholar] [CrossRef]
- Oh, S.-H.; Lee, Y.-R.; Kim, H.-N. A Novel EEG Feature Extraction Method Using Hjorth Parameter. Int. J. Electron. Electr. Eng. 2014, 2, 106–110. [Google Scholar] [CrossRef]
- Vidaurre, C.; Krämer, N.; Blankertz, B.; Schlögl, A. Time Domain Parameters as a feature for EEG-based Brain–Computer Interfaces. Neural Networks 2009, 22, 1313–1319. [Google Scholar] [CrossRef] [PubMed]
- Eoh, H.J.; Chung, M.K.; Kim, S.H. Electroencephalographic study of drowsiness in simulated driving with sleep deprivation. Int. J. Ind. Ergon. 2005, 35, 307–320. [Google Scholar] [CrossRef]
- Pedregosa, F.; Varoquaux, G.; Gramfort, A.; Michel, V.; Thirion, B.; Grisel, O.; Blondel, M.; Prettenhofer, P.; Weiss, R.; Dubourg, V.; et al. Scikit-learn: Machine Learning in Python. J. Mach. Learn. Res. 2011, 12, 2825–2830. [Google Scholar]
- Awais, M.; Badruddin, N.; Drieberg, M. A Hybrid Approach to Detect Driver Drowsiness Utilizing Physiological Signals to Improve System Performance and Wearability. Sensors 2017, 17, 1991. [Google Scholar] [CrossRef] [PubMed]
- Garcés Correa, A.; Orosco, L.; Laciar, E. Automatic detection of drowsiness in EEG records based on multimodal analysis. Med. Eng. Phys. 2014, 36, 244–249. [Google Scholar] [CrossRef]
- Jacobé de Naurois, C.; Bourdin, C.; Bougard, C.; Vercher, J.L. Adapting artificial neural networks to a specific driver enhances detection and prediction of drowsiness. Accid. Anal. Prev. 2018, 121, 118–128. [Google Scholar] [CrossRef]
- Murata, A.; Fujii, Y.; Naitoh, K. Multinomial Logistic Regression Model for Predicting Driver’s Drowsiness Using Behavioral Measures. Procedia Manuf. 2015, 3, 2426–2433. [Google Scholar] [CrossRef]
- Friedrichs, F.; Yang, B. Drowsiness monitoring by steering and lane data based features under real driving conditions. In Proceedings of the 2010 18th European Signal Processing Conference, Aalborg, Denmark, 23–27 August 2010; pp. 209–213. [Google Scholar]
- Li, G.; Lee, B.; Chung, W. Smartwatch-Based Wearable EEG System for Driver Drowsiness Detection. IEEE Sens. J. 2015, 15, 7169–7180. [Google Scholar] [CrossRef]
- Zhang, Z.; Luo, D.; Rasim, Y.; Li, Y.; Meng, G.; Xu, J.; Wang, C. A Vehicle Active Safety Model: Vehicle Speed Control Based on Driver Vigilance Detection Using Wearable EEG and Sparse Representation. Sensors 2016, 16, 242. [Google Scholar] [CrossRef]
- Zhang, X.; Li, J.; Liu, Y.; Zhang, Z.; Wang, Z.; Luo, D.; Zhou, X.; Zhu, M.; Salman, W.; Hu, G.; et al. Design of a Fatigue Detection System for High-Speed Trains Based on Driver Vigilance Using a Wireless Wearable EEG. Sensors 2017, 17, 486. [Google Scholar] [CrossRef]
- Larue, G.S.; Rakotonirainy, A.; Pettitt, A.N. Driving performance impairments due to hypovigilance on monotonous roads. Accid. Anal. Prev. 2011, 43, 2037–2046. [Google Scholar] [CrossRef] [PubMed]





| Subject | Pre-Driving Task | Post-Driving Task | ||
|---|---|---|---|---|
| Direct Observation | Indirect Observation | Direct Observation | Indirect Observation | |
| #1 | 5.4 ± 0.9 | 5.4 ± 0.9 NS | 6.3 ± 0.6 | 6.3 ± 0.6 NS |
| #2 | 3.6 ± 0.4 | 3.6 ± 0.4 NS | 6.1 ± 0.5 | 6.1 ± 0.5 NS |
| #3 | 4.6 ± 2.6 | 4.6 ± 2.5 NS | 6.8 ± 2.2 | 6.7 ± 2.2 NS |
| #4 | 6.4 ± 1.9 | 6.4 ± 1.8 NS | 7.8 ± 1.0 | 7.8 ± 1.1 NS |
| #5 | 4.8 ± 2.4 | 4.8 ± 2.4 NS | 8.1 ± 1.2 | 8.0 ± 1.3 NS |
| #6 | 3.6 ± 2.5 | 3.6 ± 2.5 NS | 7.1 ± 0.9 | 7.1 ± 0.9 NS |
| #7 | 6.0 ± 2.0 | 6.0 ± 2.0 NS | 7.3 ± 1.5 | 7.3 ± 1.5 NS |
| #8 | 4.3 ± 2.2 | 4.2 ± 2.2 NS | 6.0 ± 2.4 | 6.0 ± 2.4 NS |
| #9 | 6.0 ± 2.0 | 6.0 ± 2.0 NS | 7.2 ± 0.9 | 7.1 ± 0.9 NS |
| #10 | 3.5 ± 0.4 | 3.5 ± 0.4 NS | 6.3 ± 0.9 | 6.3 ± 0.8 NS |
| #11 | 4.0 ± 1.4 | 4.0 ± 1.4 NS | 6.3 ± 1.6 | 6.3 ± 1.6 NS |
| #12 | 3.8 ± 1.1 | 3.8 ± 1.2 NS | 5.4 ± 0.7 | 5.3 ± 0.7 NS |
| #13 | 3.4 ± 0.3 | 3.4 ± 0.3 NS | 5.2 ± 2.9 | 5.2 ± 2.9 NS |
| #14 | 4.2 ± 0.7 | 4.2 ± 0.7 NS | 5.9 ± 0.7 | 5.9 ± 0.7 NS |
| #15 | 4.1 ± 1.2 | 4.1 ± 1.2 NS | 6.4 ± 0.7 | 6.4 ± 0.7 NS |
| #16 | 2.0 ± 0.8 | 2.0 ± 0.8 NS | 5.9 ± 0.6 | 5.9 ± 0.6 NS |
| Electrode Name | Correlation Coefficient (R2) | |||||||||
|---|---|---|---|---|---|---|---|---|---|---|
| δ | θ | α | β | γ | β/α | (θ + α)/β | Act. | Mob. | Com. | |
| Fp1 | 0.04 | 0.13 | 0.14 | 0.22 | 0.19 | 0.01 | 0.06 | 0.15 | 0.10 | 0.05 |
| Fp2 | 0.12 | 0.13 | 0.27 | 0.24 | 0.21 | 0.02 | 0.07 | 0.12 | 0.03 | 0.05 |
| F3 | 0.10 | 0.11 | 0.10 | 0.20 | 0.16 | 0.07 | 0.10 | 0.09 | 0.00 | 0.01 |
| F4 | 0.02 | 0.05 | 0.09 | 0.25 | 0.21 | 0.06 | 0.09 | 0.11 | 0.09 | 0.13 |
| F7 | 0.10 | 0.11 | 0.10 | 0.19 | 0.16 | 0.02 | 0.10 | 0.12 | 0.04 | 0.01 |
| F8 | 0.12 | 0.07 | 0.06 | 0.24 | 0.20 | 0.03 | 0.07 | 0.09 | 0.01 | 0.02 |
| Fz | 0.13 | 0.17 | 0.04 | 0.24 | 0.19 | 0.03 | 0.04 | 0.13 | 0.07 | 0.01 |
| C3 | 0.17 | 0.10 | 0.19 | 0.12 | 0.19 | 0.12 | 0.18 | 0.20 | 0.09 | 0.08 |
| C4 | 0.15 | 0.10 | 0.20 | 0.15 | 0.18 | 0.20 | 0.22 | 0.31 | 0.11 | 0.09 |
| Cz | 0.17 | 0.08 | 0.30 | 0.14 | 0.19 | 0.30 | 0.22 | 0.31 | 0.18 | 0.09 |
| P3 | 0.12 | 0.20 | 0.50 | 0.14 | 0.20 | 0.54 | 0.42 | 0.52 | 0.43 | 0.15 |
| P4 | 0.10 | 0.16 | 0.46 | 0.13 | 0.19 | 0.46 | 0.38 | 0.48 | 0.33 | 0.17 |
| Pz | 0.15 | 0.20 | 0.60 | 0.13 | 0.19 | 0.61 | 0.60 | 0.53 | 0.49 | 0.15 |
| O1 | 0.18 | 0.18 | 0.85 | 0.17 | 0.20 | 0.76 | 0.74 | 0.70 | 0.69 | 0.18 |
| O2 | 0.18 | 0.17 | 0.75 | 0.16 | 0.21 | 0.64 | 0.72 | 0.64 | 0.59 | 0.18 |
| T3 | 0.15 | 0.06 | 0.29 | 0.15 | 0.24 | 0.30 | 0.23 | 0.22 | 0.09 | 0.08 |
| T4 | 0.13 | 0.06 | 0.28 | 0.15 | 0.22 | 0.23 | 0.24 | 0.21 | 0.12 | 0.09 |
| T5 | 0.15 | 0.18 | 0.36 | 0.14 | 0.20 | 0.23 | 0.30 | 0.40 | 0.31 | 0.01 |
| T6 | 0.14 | 0.17 | 0.37 | 0.15 | 0.22 | 0.25 | 0.31 | 0.36 | 0.30 | 0.01 |
© 2019 by the authors. Licensee MDPI, Basel, Switzerland. This article is an open access article distributed under the terms and conditions of the Creative Commons Attribution (CC BY) license (http://creativecommons.org/licenses/by/4.0/).
Share and Cite
Akbar, I.A.; Igasaki, T. Drowsiness Estimation Using Electroencephalogram and Recurrent Support Vector Regression. Information 2019, 10, 217. https://doi.org/10.3390/info10060217
Akbar IA, Igasaki T. Drowsiness Estimation Using Electroencephalogram and Recurrent Support Vector Regression. Information. 2019; 10(6):217. https://doi.org/10.3390/info10060217
Chicago/Turabian StyleAkbar, Izzat Aulia, and Tomohiko Igasaki. 2019. "Drowsiness Estimation Using Electroencephalogram and Recurrent Support Vector Regression" Information 10, no. 6: 217. https://doi.org/10.3390/info10060217
APA StyleAkbar, I. A., & Igasaki, T. (2019). Drowsiness Estimation Using Electroencephalogram and Recurrent Support Vector Regression. Information, 10(6), 217. https://doi.org/10.3390/info10060217

