An Exploratory Analysis of Stream Teratogenicity and Human Health Using Zebrafish Whole-Sediment Toxicity Test
Abstract
:1. Introduction
2. Experimental Section
2.1. Site Selection and Sampling

2.2. Health Data Collection
2.3. Sediment Chemical Analysis
2.4. Zebrafish Sediment Contact Assay

2.5. Treatment of Data and Analysis
3. Results
3.1. Characterization of Early Life-Stage Endpoints Using Principal Component Analysis
| a. Early Life-stage Endpoints—48 h | |||
|---|---|---|---|
| 48HPF ELSE | Mean | Std Dev | Max |
| Dead | 2.311 | 1.91 | 6 |
| Unhatched | 3.69 | 1.91 | 6 |
| Underdeveloped | 2.69 | 1.83 | 6 |
| HypoPigment | 0.51 | 1.09 | 5 |
| Ed:Cardiac | 0.04 | 0.22 | 2 |
| Ed:Yolk | 1.03 | 1.45 | 6 |
| Ed:Cranial | 0 | 0 | 0 |
| Ed:Abdom | 0.05 | 0.27 | 3 |
| Mal:Axis | 0.07 | 0.29 | 2 |
| Mal:Somite | 1.83 | 1.63 | 5 |
| Mal:Tail | 0.12 | 0.41 | 4 |
| Mal:Eyes | 0.06 | 0.25 | 2 |
| Mal:Heart | 0.23 | 0.66 | 4 |
| Mal:Circ | 0.09 | 0.41 | 4 |
| Mal:Head | 0.06 | 0.26 | 2 |
| b. Early Life-stage Endpoints—72 h | |||
| 72HPF ELSE | Mean | Std Dev | Max |
| Dead | 2.65 | 2.05 | 6 |
| Unhatched | 3.03 | 1.97 | 6 |
| Underdeveloped | 2.01 | 1.77 | 6 |
| HypoPigment | 0.81 | 1.28 | 5 |
| Ed:Cardiac | 0.56 | 0.92 | 5 |
| Ed:Yolk | 0.89 | 1.21 | 5 |
| Ed:Cranial | 0.04 | 0.23 | 2 |
| Ed:Abdom | 0.06 | 0.32 | 3 |
| Mal:Axis | 0.53 | 0.80 | 4 |
| Mal:Somite | 0.41 | 0.84 | 5 |
| Mal:Tail | 0.40 | 0.74 | 3 |
| Mal:Eyes | 0.20 | 0.55 | 3 |
| Mal:Heart | 0.94 | 1.24 | 5 |
| Mal:Circ | 1.14 | 1.29 | 5 |
| Mal:Head | 0.26 | 0.64 | 3 |


| a. Loading Scores for Principal Components—48 h | ||||
|---|---|---|---|---|
| 48HPF ELSE | PC1 | PC2 | PC3 | PC4 |
| Dead | −0.85 | −0.03 | 0.38 | 0.11 |
| Unhatched | 0.85 | 0.01 | −0.37 | −0.11 |
| Underdeveloped | 0.74 | −0.40 | 0.06 | 0.15 |
| Hypopigment | 0.36 | 0.63 | −0.26 | −0.33 |
| Ed:Cardiac | 0.25 | 0.37 | −0.04 | −0.30 |
| Ed:Yolk | 0.58 | −0.47 | 0.16 | 0.01 |
| Ed:Cranial | 0 | 0 | 0 | 0 |
| Ed:Abdom | 0.22 | 0.21 | -0.21 | 0.02 |
| Mal:Axis | 0.26 | 0.16 | 0.11 | −0.37 |
| Mal:Somite | 0.50 | −0.66 | 0.07 | 0.21 |
| Mal:Tail | 0.33 | 0.12 | 0.39 | −0.23 |
| Mal:Eyes | 0.31 | 0.24 | 0.69 | −0.004 |
| Mal:Heart | 0.38 | 0.58 | 0.11 | 0.55 |
| Mal:Circ | 0.24 | 0.43 | 0.05 | 0.72 |
| Mal:Head | 0.26 | 0.09 | 0.74 | −0.21 |
| b. Loading Scores for Principal Components—72 h | ||||
| 72HPF ELSE | PC1 | PC2 | PC3 | PC4 |
| Dead | −0.55 | 0.56 | −0.24 | 0.25 |
| Unhatched | 0.66 | −0.53 | 0.19 | −0.11 |
| Underdeve | 0.69 | −0.32 | −0.08 | 0.24 |
| Hypopigment | 0.40 | −0.49 | −0.04 | −0.01 |
| Ed:Cardiac | 0.52 | −0.16 | −0.22 | −0.53 |
| Ed:Yolk | 0.64 | −0.17 | −0.07 | 0.09 |
| Ed:Cranial | 0.45 | 0.31 | 0.46 | −0.20 |
| Ed:Abdom | 0.24 | −0.06 | 0.58 | 0.54 |
| Mal:Axis | 0.58 | 0.20 | 0.19 | −0.28 |
| Mal:Somite | 0.41 | 0.09 | 0.27 | 0.22 |
| Mal:Tail | 0.64 | 0.43 | 0.06 | 0.03 |
| Mal:Eyes | 0.62 | 0.61 | 0.04 | 0.01 |
| Mal:Heart | 0.61 | 0.12 | −0.41 | 0.39 |
| Mal:Circ | 0.64 | −0.10 | −0.48 | 0.23 |
| Mal:Head | 0.61 | 0.56 | −0.14 | −0.18 |
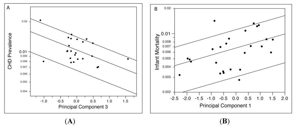
3.2. ELS Responses and Infant Health

3.3. Chemical Contamination of Sediments in Lake Michigan Coastal Streams

3.4. Early Life-Stage Response to Sediment Characteristics
| a. PC1 Model (R2 = 0.18, P = 0.0001) | b. PC2 Model (R2 = 0.05, P = 0.0627) | ||||
|---|---|---|---|---|---|
| PC1 (48HPF) | Estimate | t Ratio | PC2 (48HPF) | Estimate | t Ratio |
| ∑PCB ng/g * | −0.72 | −4.21 | ∑PCB ng/g * | −0.41 | −2.69 |
| ∑Dioxin ng/g | −2.84 | −2.68 | ∑Dioxin ng/g | 0.62 | 0.66 |
| ∑PBDE ng/g | −0.1 | −0.23 | ∑PBDE ng/g | −0.12 | −0.31 |
| c. PC3 Model (R2 = 0.06, P = 0.0449) | d. PC4 Model (R2 = 0.01, P = 0.68) | ||||
| Prin3 (48HPF) | Estimate | t Ratio | Prin4 (48HPF) | Estimate | t Ratio |
| ∑PCB ng/g * | 0.39 | 2.85 | ∑PCB ng/g | 0.03 | 0.22 |
| ∑Dioxin ng/g * | −0.53 | −0.62 | ∑Dioxin ng/g | 0.55 | 0.64 |
| ∑PBDE ng/g | 0.17 | 0.51 | ∑PBDE ng/g | 0.14 | 0.39 |
| a. PC1 Model (R2 = 0.034, P = 0.183) | b. PC2 Model (R2 = 0.087, P = 0.005) | ||||
|---|---|---|---|---|---|
| PC1 (72HPF) | Estimate | t Ratio | PC2 (72HPF) | Estimate | t Ratio |
| ∑PCB ng/g | −0.32 | −1.87 | ∑PCB ng/g * | 0.48 | 3.43 |
| ∑Dioxin ng/g | −1.14 | −0.82 | ∑Dioxin ng/g | −0.21 | -0.24 |
| ∑PBDE ng/g | −0.35 | −0.62 | ∑PBDE ng/g | 0.42 | 1.22 |
| c. PC3 Model (R2 = 0.033, P = 0.191) | d. PC4 Model (R2 = 0.084, P = 0.007) | ||||
| PC3 (72HPF) | Estimate | t Ratio | PC4 (72HPF) | Estimate | t Ratio |
| ∑PCB ng/g | −0.14 | −1.35 | ∑PCB ng/g * | 0.30 | 3.05 |
| ∑Dioxin ng/g | −0.26 | −0.42 | ∑Dioxin ng/g | 0.46 | 0.77 |
| ∑PBDE ng/g | −0.26 | −1.05 | ∑PBDE ng/g | 0.19 | 0.80 |
4. Discussion
4.1. Implications of ELS Endpoint Response to City-Bound Watersheds
4.2. Linking ELS Endpoint Assays to Sediment Chemical Contamination
5. Conclusions
Acknowledgments
Author Contributions
Conflicts of Interest
References
- Sexton, K.; Hattis, D. Assessing cumulative health risks from exposure to environmental mixtures—Three fundamental questions. Environ. Health Persp. 2006, 115, 825–832. [Google Scholar] [CrossRef]
- Sexton, K. Cumulative risk assessment: An overview of methodological approaches for evaluating combined health effects from exposure to multiple environmental stressors. Int J. Environ. Res. Public Health 2012, 9, 370–390. [Google Scholar] [CrossRef]
- Dellinger, M.; Ehlinger, T.; Carvan, M. Human Health Effects Review on Chemicals of Emerging Concern; International Joint Comission: Ottowa, ON, Canada, 2011. [Google Scholar]
- Strauss, W.J.; Ryan, L.; Morara, M.; Iroz-Elardo, N.; Davis, M.; Cupp, M.; Nishioka, M.G.; Quackenboss, J.; Galke, W.; Ozkaynak, H.; et al. Improving cost-effectiveness of epidemiological studies via designed missingness strategies. Stat. Med. 2010, 29, 1377–1387. [Google Scholar] [CrossRef]
- Ochoa-Acuna, H.; Frankenberger, J.; Hahn, L.; Carbajo, C. Drinking-water herbicide exposure in indiana and prevalence of small-for-gestational-age and preterm delivery. Environ. Health Persp. 2009, 117, 1619–1624. [Google Scholar] [CrossRef]
- Winchester, P.D.; Huskins, J.; Ying, J. Agrichemicals in surface water and birth defects in the united states. Acta Paediatr. 2009, 98, 664–669. [Google Scholar] [CrossRef]
- Waller, S.A.; Paul, K.; Peterson, S.E.; Hitti, J.E. Agricultural-related chemical exposures, season of conception, and risk of gastroschisis in washington state. Am. J. Obstet. Gynecol. 2010, 202, e1–e6. [Google Scholar]
- Hitt, N.P.; Hendryx, M. Ecological integrity of streams related to human cancer mortality rates. Ecohealth 2010, 7, 91–104. [Google Scholar] [CrossRef]
- Paul, J.F.; McDonald, M.E.; Hedtke, S.F. Stream condition and infant mortality in U.S. Mid-Atlantic states. Hum. Ecol. Risk Asses. 2008, 14, 728–741. [Google Scholar] [CrossRef]
- Brack, W.; Klamer, H.J.C.; de Ada, M.L.; Barcelo, D. Effect-directed analysis of key toxicants in european river basins—A review. Environ. Sci Pollut. Res. Int. 2007, 14, 30–38. [Google Scholar] [CrossRef]
- Hollert, H.; Keiter, S.; Koenig, N.; Rudolf, M.; Ulrich, M.; Braunbeck, T. A new sediment contact assay to assess particle-bound pollutants using zebrafish (Danio rerio) embryos. J. Soils Sediment. 2003, 3, 197–207. [Google Scholar] [CrossRef]
- Fish Embryo Toxicity Assays. Available online: http://www.oecd.org/chemicalsafety/testing/36817242.pdf (accessed on 25 October 2013).
- Keiter, S.; Boettcher, M.; Grund, S.; Seitz, N.; Braunbeck, T.; Hollert, H. Decrease in fish populations in the upper danube river. Environ. Sci Pollut Res. Int. 2009, 21, 186–196. [Google Scholar]
- Keiter, S.; Peddinghaus, S.; Feiler, U.; von der Goltz, B.; Hafner, C.; Ho, N.Y.; Rastegar, S.; Otte, J.C.; Ottermanns, R.; Reifferscheid, G.; et al. Dantox—A novel joint research project using zebrafish (Danio rerio) to identify specific toxicity and molecular modes of action of sediment-bound pollutants. J. Soils Sediment. 2010, 10, 714–717. [Google Scholar] [CrossRef]
- Kosmehl, T.; Hallare, A.V.; Reifferscheid, G.; Manz, W.; Braunbeck, T.; Hollert, H. A novel contact assay for testing genotoxicity of chemicals and whole sediments in zebrafish embryos. Environ. Toxicol. Chem. 2006, 25, 2097–2106. [Google Scholar] [CrossRef]
- Rocha, P.S.; Bernecker, C.; Strecker, R.; Mariani, C.F.; Pompeo, M.L.; Storch, V.; Hollert, H.; Braunbeck, T. Sediment-contact fish embryo toxicity assay with danio rerio to assess particle-bound pollutants in the tiete river basin (Sao Paulo, Brazil). Ecotoxicol. Environ. Saf. 2011, 74, 1951–1959. [Google Scholar] [CrossRef]
- Strecker, R.; Seiler, T.B.; Hollert, H.; Braunbeck, T. Oxygen requirements of zebrafish (Danio rerio) embryos in embryo toxicity tests with environmental samples. Comp. Biochem. Physiol. C Toxicol. Pharmacol. 2011, 153, 318–327. [Google Scholar]
- Lammer, E.; Carr, G.J.; Wendler, K.; Rawlings, J.M.; Belanger, S.E.; Braunbeck, T. Is the fish embryo toxicity test (fet) with the zebrafish (Danio rerio) a potential alternative for the fish acute toxicity test? Comp. Biochem. Physiol. C Toxicol. Pharmacol. 2009, 149, 196–209. [Google Scholar] [CrossRef]
- Hoffman, J.I. Incidence of congenital heart disease: II. Prenatal incidence. Pediatr. Cardiol. 1995, 16, 155–165. [Google Scholar] [CrossRef]
- Botto, L.D.; Correa, A. Decreasing the burden of congenital heart anomalies: An epidemiologic evaluation of risk factors and survival. Prog. Pediatr. Cardiol. 2003, 18, 111–121. [Google Scholar] [CrossRef]
- Srivastava, D. Congenital heart defects, trapping the genetic culprits. Circ. Res. 2000, 86, 917–918. [Google Scholar] [CrossRef]
- Wigle, D.T.; Arbuckle, T.E.; Turner, M.C.; Berube, A.; Yang, Q.; Liu, S.; Krewski, D. Epidemiologic evidence of relationships between reproductive and child health outcomes and environmental chemical contaminants. J. Toxicol. Environ. Health B Crit. Rev. 2008, 11, 373–517. [Google Scholar] [CrossRef]
- Kuehl, K.S.; Loffredo, C.A. A cluster of hypoplastic left heart malformation in baltimore, Maryland. Pediatr. Cardiol. 2006, 27, 25–31. [Google Scholar] [CrossRef]
- Loffredo, C. Epidemiology of cardiovascular malformations: Prevalence and risk factors. Am. J. Med. Genet. 2000, 97, 319–545. [Google Scholar] [CrossRef]
- Cronk, C.E.; Pelech, A.N.; Malloy, M.E.; McCarver, D.G. Excess birth prevalence of hypoplastic left heart syndrome in eastern wisconsin for birth cohorts 1997–1999. Birth Defects Res. 2004, 70, 114–120. [Google Scholar] [CrossRef]
- Yauck, J.; Malloy, M.E.; Blair, K.; Simpson, P.; Mccarver, D. Closer Residential Proximity to Trichloroethylene-Emitting Sites Increases Risk of Offspring Congenital Heart Defects Among Older Women. In Presented at 42nd Annual Meeting of the Society of Toxicology, Salt Lake City, Utah, UT, USA, 9–13 March 2003.
- Hanson-Morris, K.; Pelech., A. The Wisconsin pediatric cardiac registry: A mechanism for exploring etiologies of congenital heart defects. Wis. Med. J. 2006, 105, 45–48. [Google Scholar]
- Wisconsin State Health Plan: Healthiest Wisconsin 2020. Available online: http://www.dhs.wisconsin.gov/hw2020/ (accessed on 3 April 2010).
- Dellinger, J.A.; Antoniewski, S.; Lemoine, N.; Andrew, P. Etiologic or causal factors of congenital heart defects: Gene-environment interaction hypothesis. Heart Matter. 2008, 11, 1–3. [Google Scholar]
- Kiguchi, O.; Kobayashi, T.; Saitoh, K.; Ogawa, N. Pressurized liquid extraction of polychlorinated dibenzo-p-dioxins, polychlorinated dibenzofurans and coplanar polychlorinated biphenyls from contaminated soil. J. Chromatogr. A 2006, 10, 176–182. [Google Scholar]
- Liu, H.; Zhang, Q.; Cai, Z.; Li, A.; Wang, Y.J. Separation of polybrominated diphenyl ethers, polychlorinated biphenyls, polychlorinated dibenzo-p-dioxins and dibenzo-furans in environmental samples using silica gel and florisil fractionation chromatography. Anal. Chim. Acta 2006, 557, 314–320. [Google Scholar] [CrossRef]
- Mascolo, G.; Locaputo, V.; Mininni, G. New perspective on the determination of flame retardants in sewage sludge by using ultrahigh pressure liquid chromatography-tandem mass spectrometry with different ion sources. J. Chromatogr. A 2010, 27, 4601–4611. [Google Scholar] [CrossRef]
- Delzer, G.C.; McKenzie, S.W. Five-day biochemical oxygen demand. U.S. Geological Survey Techniques of Water-Resources Investigations, 2003; USGS Publications Warehouse: Virgina, VA, USA, 2003, 3rd ed. Available online: http://pubs.water.usgs.gov/twri9A/ (accessed on 25 October 2013).
- Nusslein-volhard, C.; Dahm, R. Zebrafish: A Practical Approach; Oxford University Press: Oxford, MA, USA, 2002. [Google Scholar]
- Cronk, C.E.; Gangnon, R.; Cossette, S.; McElroy, J.A.; Pelech, A.N. Modeling geographic risk of complex congenital heart defects in eastern wisconsin. Birth Defects Res. 2011, 91, 631–641. [Google Scholar] [CrossRef]
- Cedergren, M.; Selbing, A.; Kallen, B. Geographic variations in possible risk factors for severe cardiac malformations. Acta Paediatr. 2002, 91, 222–228. [Google Scholar] [CrossRef]
- Shaw, G.M.; Malcoe, L.H. Residential-mobility during pregnancy for mothers of infants with or without congenital cardiac anomalies—A reprint. Arch. Environ. Health 1992, 47, 236–238. [Google Scholar] [CrossRef]
- Krieger, N.; Chen, J.T.; Waterman, P.D.; Soobader, M.J.; Subramanian, S.V.; Carson, R. Geocoding and monitoring of us socioeconomic inequalities in mortality and cancer incidence: Does the choice of area-based measure and geographic level matter? The public health disparities geocoding project. Am. J. Epidemiol. 2002, 156, 471–482. [Google Scholar] [CrossRef]
- Lupo, P.J.; Symanski, E.; Chan, W.; Mitchell, L.E.; Waller, D.K.; Canfield, M.A.; Langlois, P.H. Differences in exposure assignment between conception and delivery: The impact of maternal mobility. Paediatr. Perinat. Epidemiol. 2010, 24, 200–208. [Google Scholar] [CrossRef]
- Fell, D.B.; Dodds, L.; King, W.D. Residential mobility during pregnancy. Paediatr. Perinat. Epidemiol. 2004, 18, 408–414. [Google Scholar] [CrossRef]
- Canfield, M.A.; Ramadhani, T.A.; Langlois, P.H.; Waller, D.K. Residential mobility patterns and exposure misclassification in epidemiologic studies of birth defects. J. Expo. Sci. Environ. Epidemiol. 2006, 16, 538–543. [Google Scholar] [CrossRef]
- Chen, L.; Bell, E.M.; Caton, A.R.; Druschel, C.M.; Lin, S. Residential mobility during pregnancy and the potential for ambient air pollution exposure misclassification. Environ. Res. 2010, 110, 162–168. [Google Scholar] [CrossRef]
- Wakefield, J. Ecologic studies revisited. Annu. Rev. Public Health 2008, 29, 75–90. [Google Scholar] [CrossRef]
- Wakefield, J.; Haneuse, S.J. Overcoming ecologic bias using the two-phase study design. Am. J. Epidemiol. 2008, 167, 908–916. [Google Scholar] [CrossRef]
- Tu, S.; Chi, N.C. Zebrafish models in cardiac development and congenital heart birth defects. Differentiation 2012, 84, 4–16. [Google Scholar] [CrossRef]
- Bakkers, J. Zebrafish as a model to study cardiac development and human cardiac disease. Cardiovasc. Res. 2011, 91, 279–288. [Google Scholar] [CrossRef]
- Heideman, W.; Antkiewicz, D.S.; Carney, S.A.; Peterson, R.E. Zebrafish and cardiac toxicology. Cardiovasc. Toxicol. 2005, 5, 203–214. [Google Scholar] [CrossRef]
- Dellinger, M.; Tofan, L.; Ehlinger, T. Predictive analytics and pattern visualization for human health risk assessment. In BENA Istanbul 2012; Balkan Environmental Association: Istanbul, Turkey, 2012; pp. 709–723. [Google Scholar]
- Robert, S.A.; Booske, B.C. US opinions on health determinants and social policy as health policy. Am. J. Public Health 2011, 101, 1655–1663. [Google Scholar] [CrossRef]
- Vila, P.M.; Swain, G.R.; Baumgardner, D.J.; Halsmer, S.E.; Remington, P.L.; Cisler, R.A. Health disparities in milwaukee by socioeconomic status. Wis. Med. J. 2007, 106, 366–372. [Google Scholar]
- Webb, B.C.; Simpson, S.L.; Hairston, K.G. From politics to parity: Using a health disparities index to guide legislative efforts for health equity. Am. J. Public Health 2011, 101, 554–560. [Google Scholar] [CrossRef]
- Wu, L.; Chen, L.; Hou, J.; Zhang, Y.; Zhao, J.; Gao, H. Assessment of sediment quality of yangtze river estuary using zebrafish (Danio rerio) embryos. Environ. Toxicol. 2010, 25, 234–242. [Google Scholar]
- Yang, F.; Zhang, Q.; Guo, H.; Zhang, S. Evaluation of cytotoxicity, genotoxicity and teratogenicity of marine sediments from qingdao coastal areas using in vitro fish cell assay, comet assay and zebrafish embryo test. Toxicol. In Vitro 2010, 24, 2003–2011. [Google Scholar] [CrossRef]
- Bartzke, M.; Delov, V.; Stahlschmidt-Allner, P.; Allner, B.; Oehlmann, J. Integrating the fish embryo toxicity test as triad element for sediment toxicity assessment based on the water framework directive approach. J. Soil. Sediment. 2010, 10, 389–399. [Google Scholar] [CrossRef]
- Klecka, G.; Persoon, C.; Currie, R. Chemicals of emerging concern in the great lakes basin: An analysis of environmental exposures. Rev. Environ. Contam. Toxicol. 2010, 207, 1–93. [Google Scholar]
- Chen, X.; Huang, C.; Wang, X.; Chen, J.; Bai, C.; Chen, Y.; Chen, X.; Dong, Q.; Yang, D. BDE-47 disrupts axonal growth and motor behavior in developing zebrafish. Aquat. Toxicol. 2012, 120–121, 35–44. [Google Scholar] [CrossRef]
- He, J.; Yang, D.; Wang, C.; Liu, W.; Liao, J.; Xu, T.; Bai, C.; Chen, J.; Lin, K.; Huang, C.; et al. Chronic zebrafish low dose decabrominated diphenyl ether (BDE-209) exposure affected parental gonad development and locomotion in F1 offspring. Ecotoxicology 2011, 20, 1813–1822. [Google Scholar] [CrossRef]
- Usenko, C.Y.; Robinson, E.M.; Usenko, S.; Brooks, B.W.; Bruce, E.D. Pbde developmental effects on embryonic zebrafish. Environ. Toxicol Chem 2011, 30, 1865–1872. [Google Scholar] [CrossRef]
- Zhu, L.Y.; Hites, R.A. Brominated flame retardants in sediment cores from lakes michigan and erie. Environ. Sci. Technol. 2005, 39, 3488–3494. [Google Scholar] [CrossRef]
- Song, W.; Ford, J.C.; Li, A.; Sturchio, N.C.; Rockne, K.J.; Buckley, D.R.; Mills, W.J. Polybrominated diphenyl ethers in the sediments of the great lakes. 3. Lakes ontario and erie. Environ. Sci. Technol. 2005, 39, 5600–5605. [Google Scholar] [CrossRef]
- Taylor, D.L.; Linehan, J.C.; Murray, D.W.; Prell, W.L. Indicators of sediment and biotic mercury contamination in a southern new england estuary. Mar. Pollut. Bull. 2012, 64, 807–819. [Google Scholar] [CrossRef]
- De Jonge, M.; Teuchies, J.; Meire, P.; Blust, R.; Bervoets, L. The impact of increased oxygen conditions on metal-contaminated sediments part ii: Effects on metal accumulation and toxicity in aquatic invertebrates. Water Res. 2012, 46, 3387–3397. [Google Scholar] [CrossRef]
- Antkiewicz, D.S.; Burns, C.G.; Carney, S.A.; Peterson, R.E.; Heideman, W. Heart malformation is an early response to tcdd in embryonic zebrafish. Toxicol. Sci. 2005, 84, 368–377. [Google Scholar] [CrossRef]
- Ding, C.; Zhang, T.; Wang, X.; Zhou, F.; Yang, Y.; Yin, Y. Effects of soil type and genotype on lead concentration in rootstalk vegetables and the selection of cultivars for food safety. J. Environ. Manage. 2013, 122, 8–14. [Google Scholar] [CrossRef]
- Khillare, P.S.; Jyethi, D.S.; Sarkar, S. Health risk assessment of polycyclic aromatic hydrocarbons and heavy metals via dietary intake of vegetables grown in the vicinity of thermal power plants. Food Chem. Toxicol. 2012, 50, 1642–1652. [Google Scholar] [CrossRef]
- Hernke, M.T.; Podein, R.J. Sustainability, health and precautionary perspectives on lawn pesticides, and alternatives. EcoHealth 2011, 8, 223–232. [Google Scholar] [CrossRef]
- Ankley, G.T.; Bennett, R.S.; Erickson, R.J.; Hoff, D.J.; Hornung, M.W.; Johnson, R.D.; Mount, D.R.; Nichols, J.W.; Russom, C.L.; Schmieder, P.K.; et al. Adverse outcome pathways: A conceptual framework to support ecotoxicology research and risk assessment. Environ. Toxicol. Chem. 2010, 29, 730–741. [Google Scholar] [CrossRef]
- Committee on Toxicity Testing and Assessment of Environmental Agents, National Research Council (NRC). Toxicity Testing in the 21st Century: A Vision and A Strategy; NRC: Washington, DC, USA, 2007. [Google Scholar]
© 2014 by the authors; licensee MDPI, Basel, Switzerland. This article is an open access article distributed under the terms and conditions of the Creative Commons Attribution license (http://creativecommons.org/licenses/by/3.0/).
Share and Cite
Dellinger, M.; Carvan, M.J.; Klingler, R.H.; McGraw, J.E.; Ehlinger, T. An Exploratory Analysis of Stream Teratogenicity and Human Health Using Zebrafish Whole-Sediment Toxicity Test. Challenges 2014, 5, 75-97. https://doi.org/10.3390/challe5010075
Dellinger M, Carvan MJ, Klingler RH, McGraw JE, Ehlinger T. An Exploratory Analysis of Stream Teratogenicity and Human Health Using Zebrafish Whole-Sediment Toxicity Test. Challenges. 2014; 5(1):75-97. https://doi.org/10.3390/challe5010075
Chicago/Turabian StyleDellinger, Matthew, Michael J. Carvan, Rebekah H. Klingler, Joseph E. McGraw, and Timothy Ehlinger. 2014. "An Exploratory Analysis of Stream Teratogenicity and Human Health Using Zebrafish Whole-Sediment Toxicity Test" Challenges 5, no. 1: 75-97. https://doi.org/10.3390/challe5010075
APA StyleDellinger, M., Carvan, M. J., Klingler, R. H., McGraw, J. E., & Ehlinger, T. (2014). An Exploratory Analysis of Stream Teratogenicity and Human Health Using Zebrafish Whole-Sediment Toxicity Test. Challenges, 5(1), 75-97. https://doi.org/10.3390/challe5010075
