Numerical Investigation of the Resistance of a Zero-Emission Full-Scale Fast Catamaran in Shallow Water
Abstract
1. Introduction
2. Geometry and Parameters
2.1. Catamaran Geometry and Dimensions
2.2. Parameters for Analysis
3. Methodology
3.1. Computational Methods
3.1.1. Flow Simulation
3.1.2. Free Surface Capturing
3.1.3. Dynamic Trim and Sinkage
3.1.4. Coordinate System
3.2. Computational Domain and Boundary Conditions
3.3. Mesh Generation
3.4. Numerical Validation and Verification
3.4.1. NPL 4a02 Catamaran
3.4.2. Stavanger Demonstrator
3.4.3. Mesh Convergence Study for the London Demonstrator
4. Results and Discussion
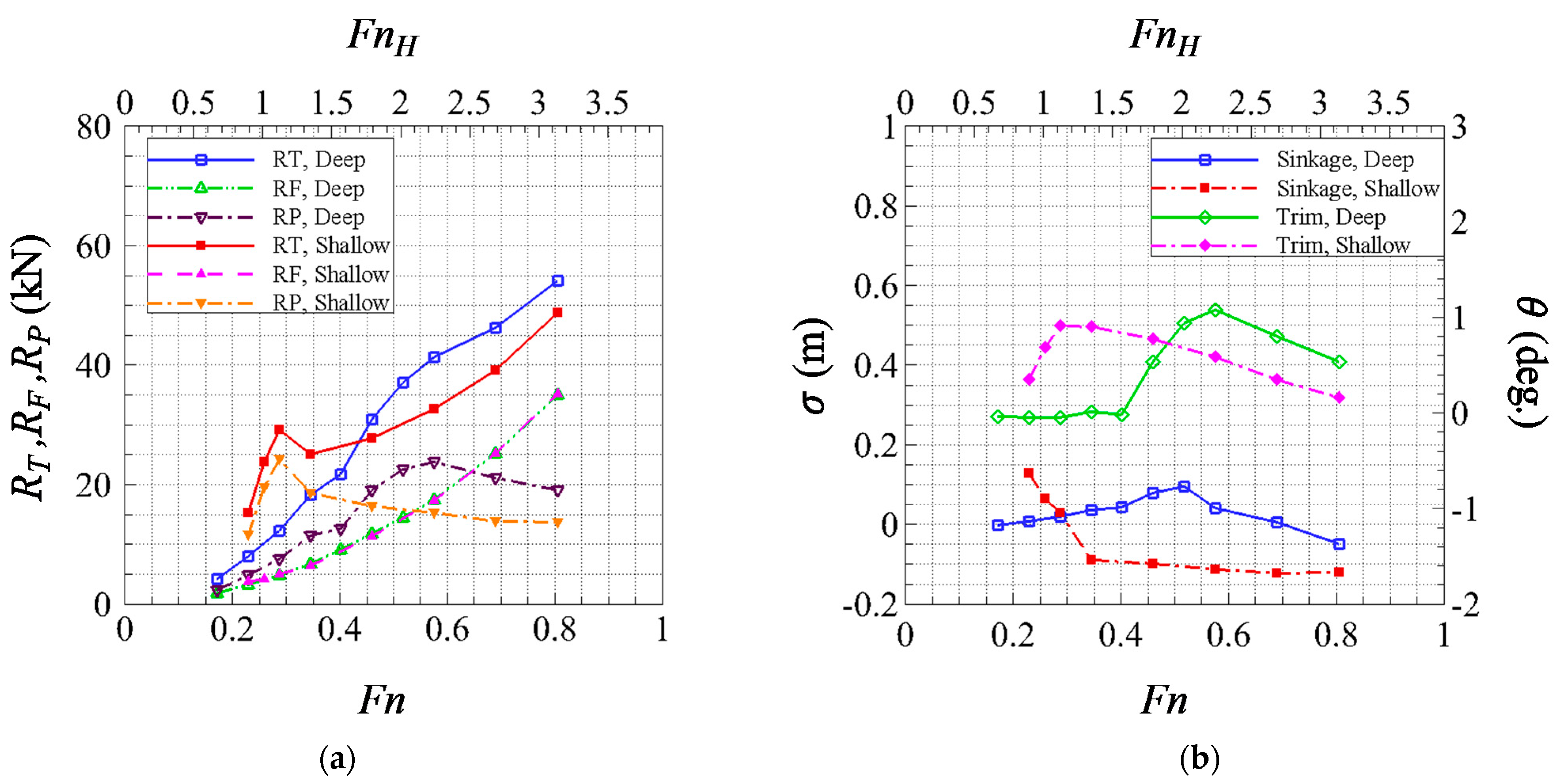
4.1. Resistance, Sinkage and Trim
4.2. Wave Patterns
4.3. Longitudinal Wave Cuts
4.4. Crossflow Fields
5. Conclusions
Author Contributions
Funding
Data Availability Statement
Acknowledgments
Conflicts of Interest
Nomenclature
| b | Breadth of the demihull |
| B | Breadth of the catamaran |
| CT | Total resistance coefficient |
| CF | Frictional resistance coefficient |
| CF,ITTC | Frictional resistance coefficient calculated according to ITTC 1957 correlation line formula |
| CP | Pressure resistance coefficient |
| Fn | Froude number |
| FnH | Depth Froude number |
| g | Gravity acceleration |
| H | Water depth |
| Lpp | Length between perpendiculars |
| Re | Reynolds number |
| RT | Total resistance |
| RF | Frictional resistance |
| RP | Pressure resistance |
| s | Separation distance between the demihulls |
| Ssw | Static wetted surface area |
| Sdw | Dynamic wetted surface area |
| T | Draught |
| U | Ship speed relative to the incoming flow |
| Sinkage | |
| Trim | |
| AP | Aft Perpendicular |
| CFD | Computational Fluid Dynamics |
| FP | Forward Perpendicular |
| HSVA | Hamburg Ship Model Basin |
| ITTC | International Towing Tank Committee |
| LCG | Longitudinal centre of gravity |
| MSRC | Maritime Safety Research Centre |
| VCG | Vertical centre of gravity |
References
- Papanikolaou, A.D. Review of the Design and Technology Challenges of Zero-Emission, Battery-Driven Fast Marine Vehicles. J. Mar. Sci. Eng. 2020, 8, 941. [Google Scholar] [CrossRef]
- Papanikolaou, A.; Xing-Kaeding, Y.; Strobel, J.; Kanellopoulou, A.; Zaraphonitis, G.; Tolo, E. Numerical and Experimental Optimization Study on a Fast, Zero Emission Catamaran. J. Mar. Sci. Eng. 2020, 8, 657. [Google Scholar] [CrossRef]
- Mittendorf, M.; Papanikolaou, A.D. Hydrodynamic Hull Form Optimization of Fast Catamarans Using Surrogate Models. Ship Technol. Res. 2021, 68, 14–26. [Google Scholar] [CrossRef]
- Wang, H.; Boulougouris, E.; Theotokatos, G.; Priftis, A.; Shi, G.; Dahle, M.; Tolo, E. Risk Assessment of a Battery-Powered High-Speed Ferry Using Formal Safety Assessment. Safety 2020, 6, 39. [Google Scholar] [CrossRef]
- Molland, A.F.; Wellicome, J.F.; Couser, P.R. Theoretical prediction of the wave resistance of slender hull forms in catamaran configurations. In Ship Science Report 72; University of Southampton: Southampton, UK, 1994. [Google Scholar]
- Shahjada Tarafder, M.; Suzuki, K. Computation of Wave-Making Resistance of a Catamaran in Deep Water Using a Potential-Based Panel Method. Ocean Eng. 2007, 34, 1892–1900. [Google Scholar] [CrossRef]
- Bari, G.S.; Matveev, K.I. Hydrodynamic Modeling of Planing Catamarans with Symmetric Hulls. Ocean Eng. 2016, 115, 60–66. [Google Scholar] [CrossRef]
- Insel, M.; Molland, A.F. An Investigation into the Resistance Components of High Speed Displacement Catamarans. R. Inst. Nav. Archit. 1992, 134, 1–20. [Google Scholar]
- Molland, A.F.; Wellicome, J.F.; Couser, P.R. Resistance experiments on a systematic series of high speed displacement catamaran forms: Variation of length-displacement ratio and breadth-draught ratio. In Ship Science Report 71; University of Southampton: Southampton, UK, 1994. [Google Scholar]
- Zaraphonitis, G.; Spanos, D.; Papanikolaou, A. Numerical and Experimental Study on the Wave Resistance of Fast Displacement Asymmetric Catamarans. In Proceedings of the International Conference on High-Performance Marine Vehicles, Hamburg, Germany, 2–5 May 2001. [Google Scholar]
- Van’t Veer, R. Experimental results of motions hydrodynarnic coefficients and wave loads on the 372 catamaran model. In Report 1129; Deift University of Technology: Delft, The Netherlands, 1998. [Google Scholar]
- Broglia, R.; Bouscasse, B.; Jacob, B.; Olivieri, A.; Zaghi, S.; Stern, F. Calm Water and Seakeeping Investigation for a Fast Catamaran. In Proceedings of the 11th International Conference on Fast Sea Transportation, FAST 2011, Honolulu, HI, USA, 26–29 September 2011; pp. 336–344. [Google Scholar]
- Broglia, R.; Jacob, B.; Zaghi, S.; Stern, F.; Olivieri, A. Experimental Investigation of Interference Effects for High-Speed Catamarans. Ocean Eng. 2014, 76, 75–85. [Google Scholar] [CrossRef]
- Bouscasse, B.; Broglia, R.; Stern, F. Experimental Investigation of a Fast Catamaran in Head Waves. Ocean Eng. 2013, 72, 318–330. [Google Scholar] [CrossRef]
- Durante, D.; Broglia, R.; Diez, M.; Olivieri, A.; Campana, E.F.; Stern, F. Accurate Experimental Benchmark Study of a Catamaran in Regular and Irregular Head Waves Including Uncertainty Quantification. Ocean Eng. 2019, 195, 106685. [Google Scholar] [CrossRef]
- Falchi, M.; Felli, M.; Grizzi, S.; Aloisio, G.; Broglia, R.; Stern, F. SPIV Measurements around the DELFT 372 Catamaran in Steady Drift. Exp. Fluids 2014, 55. [Google Scholar] [CrossRef]
- Zaraphonitis, G.; Papanikolaou, A.; Mourkogiannis, D. Hull form optimization of high speed vessels with respect to wash and powering. In Proceedings of the 8th International Conference on Marine Design (IMDC), Athens, Greece, 5–8 May 2003. [Google Scholar]
- Souto-Iglesias, A.; Zamora-Rodríguez, R.; Fernández-Gutiérrez, D.; Pérez-Rojas, L. Analysis of the Wave System of a Catamaran for CFD Validation. Exp. Fluids 2007, 42, 321–332. [Google Scholar] [CrossRef]
- Souto-Iglesias, A.; Fernández-Gutiérrez, D.; Pérez-Rojas, L. Experimental Assessment of Interference Resistance for a Series 60 Catamaran in Free and Fixed Trim-Sinkage Conditions. Ocean Eng. 2012, 53, 38–47. [Google Scholar] [CrossRef]
- Danişman, D.B. Reduction of Demi-Hull Wave Interference Resistance in Fast Displacement Catamarans Utilizing an Optimized Centerbulb Concept. Ocean Eng. 2014, 91, 227–234. [Google Scholar] [CrossRef]
- Broglia, R.; Zaghi, S.; Campana, E.F.; Dogan, T.; Sadat-Hosseini, H.; Stern, F.; Queutey, P.; Visonneau, M.; Milanov, E. Assessment of Computational Fluid Dynamics Capabilities for the Prediction of Three-Dimensional Separated Flows: The Delft 372 Catamaran in Static Drift Conditions. J. Fluids Eng. 2019, 141, 1–28. [Google Scholar] [CrossRef]
- Choi, J.E.; Min, K.S.; Kim, J.H.; Lee, S.B.; Seo, H.W. Resistance and Propulsion Characteristics of Various Commercial Ships Based on CFD Results. Ocean Eng. 2010, 37, 549–566. [Google Scholar] [CrossRef]
- Liefvendahl, M.; Fureby, C. Grid Requirements for LES of Ship Hydrodynamics in Model and Full Scale. Ocean Eng. 2017, 143, 259–268. [Google Scholar] [CrossRef]
- Romanowski, A.; Tezdogan, T.; Turan, O. Development of a CFD Methodology for the Numerical Simulation of Irregular Sea-States. Ocean Eng. 2019, 192, 106530. [Google Scholar] [CrossRef]
- Castiglione, T.; Stern, F.; Bova, S.; Kandasamy, M. Numerical Investigation of the Seakeeping Behavior of a Catamaran Advancing in Regular Head Waves. Ocean Eng. 2011, 38, 1806–1822. [Google Scholar] [CrossRef]
- He, W.; Diez, M.; Zou, Z.; Campana, E.F.; Stern, F. URANS Study of Delft Catamaran Total/Added Resistance, Motions and Slamming Loads in Head Sea Including Irregular Wave and Uncertainty Quantification for Variable Regular Wave and Geometry. Ocean Eng. 2013, 74, 189–217. [Google Scholar] [CrossRef]
- Jamaluddin, A.; Utama, I.K.A.P.; Widodo, B.; Molland, A.F. Experimental and Numerical Study of the Resistance Component Interactions of Catamarans. J. Eng. Marit. Environ. 2013, 227, 51–60. [Google Scholar] [CrossRef]
- Yengejeh, M.A.; Amiri, M.M.; Mehdigholi, H.; Seif, M.S.; Yaakob, O. Numerical Study on Interference Effects and Wetted Area Pattern of Asymmetric Planing Catamarans. J. Eng. Marit. Environ. 2016, 230, 417–433. [Google Scholar] [CrossRef]
- Zha, R.S.; Ye, H.X.; Shen, Z.R.; Wan, D.C. Numerical Computations of Resistance of High Speed Catamaran in Calm Water. J. Hydrodyn. 2015, 26, 930–938. [Google Scholar] [CrossRef]
- Zaghi, S.; Broglia, R.; Di Mascio, A. Analysis of the Interference Effects for High-Speed Catamarans by Model Tests and Numerical Simulations. Ocean Eng. 2011, 38, 2110–2122. [Google Scholar] [CrossRef]
- Broglia, R.; Zaghi, S.; Di Mascio, A. Numerical Simulation of Interference Effects for a High-Speed Catamaran. J. Mar. Sci. Technol. 2011, 16, 254–269. [Google Scholar] [CrossRef]
- He, W.; Castiglione, T.; Kandasamy, M.; Stern, F. Numerical Analysis of the Interference Effects on Resistance, Sinkage and Trim of a Fast Catamaran. J. Mar. Sci. Technol. 2015, 20, 292–308. [Google Scholar] [CrossRef]
- Haase, M.; Zurcher, K.; Davidson, G.; Binns, J.R.; Thomas, G.; Bose, N. Novel CFD-Based Full-Scale Resistance Prediction for Large Medium-Speed Catamarans. Ocean Eng. 2016, 111, 198–208. [Google Scholar] [CrossRef]
- Farkas, A.; Degiuli, N.; Martić, I. Numerical Investigation into the Interaction of Resistance Components for a Series 60 Catamaran. Ocean Eng. 2017, 146, 151–169. [Google Scholar] [CrossRef]
- Ferreiro, L.D. The Effects of Confined Water Operations on Ship Performance: A Guide for the Perplexed. Nav. Eng. J. 1992, 104, 69–83. [Google Scholar] [CrossRef]
- Jachowski, J. Assessment of Ship Squat in Shallow Water Using CFD. Arch. Civ. Mech. Eng. 2008, 8, 27–36. [Google Scholar] [CrossRef]
- Tezdogan, T.; Incecik, A.; Turan, O. A Numerical Investigation of the Squat and Resistance of Ships Advancing through a Canal Using CFD. J. Mar. Sci. Technol. 2016, 21, 86–101. [Google Scholar] [CrossRef]
- Terziev, M.; Tezdogan, T.; Oguz, E.; Gourlay, T.; Demirel, Y.K.; Incecik, A. Numerical Investigation of the Behaviour and Performance of Ships Advancing through Restricted Shallow Waters. J. Fluids Struct. 2018, 76, 185–215. [Google Scholar] [CrossRef]
- Feng, D.; Ye, B.; Zhang, Z.; Wang, X. Numerical Simulation of the Ship Resistance of KCS in Different Water Depths for Model-Scale and Full-Scale. J. Mar. Sci. Eng. 2020, 8, 745. [Google Scholar] [CrossRef]
- Chen, X.N.; Sharma, S.D.; Stuntz, N. Wave Reduction by S-Catamaran at Supercritical Speeds. J. Ship Res. 2003, 47, 145–154. [Google Scholar] [CrossRef]
- Castiglione, T.; He, W.; Stern, F.; Bova, S. Effects of Shallow Water on Catamaran Interference. In Proceedings of the 11th International Conference on Fast Sea Transportation, FAST 2011, Honolulu, HI, USA, 26–29 September 2011; pp. 371–376. [Google Scholar]
- Moraes, H.B.; Vasconcellos, J.M.; Latorre, R.G. Wave Resistance for High-Speed Catamarans. Ocean Eng. 2004, 31, 2253–2282. [Google Scholar] [CrossRef]
- Zhu, Y.; Ma, C.; Wu, H.; He, J.; Zhang, C.; Li, W.; Noblesse, F. Farfield Waves Created by a Catamaran in Shallow Water. Eur. J. Mech. B/Fluids 2016, 59, 197–204. [Google Scholar] [CrossRef]
- Molland, A.F.; Wilson, P.A.; Taunton, D.J. A systematic series of experimental wash wave measurements for high speed displacement monohull and catamaran forms in shallow water. In Ship Science Report 122; University of Southampton: Southampton, UK, 2001. [Google Scholar] [CrossRef]
- Molland, A.F.; Wilson, P.A.; Taunton, D.J. Resistance experiments on a systematic series of high speed displacement monohull and catamaran forms in shallow water. In Ship Science Report 127; University of Southampton: Southampton, UK, 2003. [Google Scholar]
- Gourlay, T. Sinkage and Trim of a Fast Displacement Catamaran in Shallow Water. J. Ship Res. 2008, 52, 175–183. [Google Scholar] [CrossRef]
- Lee, S.H.; Lee, Y.G.; Kim, S.H. On the Development of a Small Catamaran Boat. Ocean Eng. 2007, 34, 2061–2073. [Google Scholar] [CrossRef]
- Castiglione, T.; He, W.; Stern, F.; Bova, S. URANS Simulations of Catamaran Interference in Shallow Water. J. Mar. Sci. Technol. 2014, 19, 33–51. [Google Scholar] [CrossRef]
- Ferziger, J.H.; Peric, M.; Street, R.L. Computational Methods for Fluid Dynamics, 4th ed.; Springer Nature Switzerland: Cham, Switzerland, 2020. [Google Scholar]
- Stern, S.; Wilson, R.; Shao, J. Quantitative V&V of CFD simulations and certification of CFD codes. Int. J. Numer. Methods Fluids 2006, 50, 1335–1355. [Google Scholar]
- Gatchell, S.; Hafermann, D.; Streckwall, H. Open Water Test Propeller Performance and Cavitation Behaviour Using PPB and FreSCo+. In Proceedings of the Second International Symposium on Marine Propulsors, Hamburg, Germany, 15–17 June 2011. [Google Scholar]


















| Dimension | Symbol | Value |
|---|---|---|
| Demihull breadth | b/ | 0.068 |
| Separation | s/ | 0.187 |
| Draught | T/ | 0.033 |
| Depth/draught | H/T | 2.0 |
| Vertical centre of gravity | VCG/ | 0.012 |
| Longitudinal centre of gravity | LCG/ | 0.447 |
| Dimension | Symbol | Value |
|---|---|---|
| Demihull breadth | b/ | 0.096 |
| Separation | s/ | 0.200 |
| Draught | T/ | 0.064 |
| Vertical centre of gravity | VCG/ | 0.020 |
| Longitudinal centre of gravity | LCG/ | 0.436 |
| Dimension | Symbol | Value |
|---|---|---|
| Demihull breadth | b/ | 0.074 |
| Separation | s/ | 0.227 |
| Draught | T/ | 0.045 |
| Vertical centre of gravity | VCG/ | 0.016 |
| Longitudinal centre of gravity | LCG/ | 0.450 |
| Fn | Error | ||
|---|---|---|---|
| 0.57 | 5.476 | 5.520 | −0.79% |
| 0.63 | 4.844 | 4.899 | −1.11% |
| 0.69 | 4.404 | 4.437 | −0.74% |
| 0.75 | 4.098 | 4.157 | −1.42% |
| 1.2 | 10.35 | 5.99 | 3.47 | 2.537 | 2.557 | 2.589 | 0.607 | 0.78% | 1.22% | 1.50% |
Publisher’s Note: MDPI stays neutral with regard to jurisdictional claims in published maps and institutional affiliations. |
© 2021 by the authors. Licensee MDPI, Basel, Switzerland. This article is an open access article distributed under the terms and conditions of the Creative Commons Attribution (CC BY) license (https://creativecommons.org/licenses/by/4.0/).
Share and Cite
Shi, G.; Priftis, A.; Xing-Kaeding, Y.; Boulougouris, E.; Papanikolaou, A.D.; Wang, H.; Symonds, G. Numerical Investigation of the Resistance of a Zero-Emission Full-Scale Fast Catamaran in Shallow Water. J. Mar. Sci. Eng. 2021, 9, 563. https://doi.org/10.3390/jmse9060563
Shi G, Priftis A, Xing-Kaeding Y, Boulougouris E, Papanikolaou AD, Wang H, Symonds G. Numerical Investigation of the Resistance of a Zero-Emission Full-Scale Fast Catamaran in Shallow Water. Journal of Marine Science and Engineering. 2021; 9(6):563. https://doi.org/10.3390/jmse9060563
Chicago/Turabian StyleShi, Guangyu, Alexandros Priftis, Yan Xing-Kaeding, Evangelos Boulougouris, Apostolos D. Papanikolaou, Haibin Wang, and Geoff Symonds. 2021. "Numerical Investigation of the Resistance of a Zero-Emission Full-Scale Fast Catamaran in Shallow Water" Journal of Marine Science and Engineering 9, no. 6: 563. https://doi.org/10.3390/jmse9060563
APA StyleShi, G., Priftis, A., Xing-Kaeding, Y., Boulougouris, E., Papanikolaou, A. D., Wang, H., & Symonds, G. (2021). Numerical Investigation of the Resistance of a Zero-Emission Full-Scale Fast Catamaran in Shallow Water. Journal of Marine Science and Engineering, 9(6), 563. https://doi.org/10.3390/jmse9060563

