Origin of the Particulate Organic Matter in a Monsoon-Controlled Bay in Southern China
Abstract
1. Introduction
2. Materials and Methods
2.1. Field Sampling
2.2. Sample Analysis
2.3. Isotope Mixing Model
3. Results
3.1. Hydrographic Properties
3.2. Chl a and SPM
3.3. Organic Carbon, Nitrogen, and C/N Ratios
3.4. δ13C and δ15N of the POM
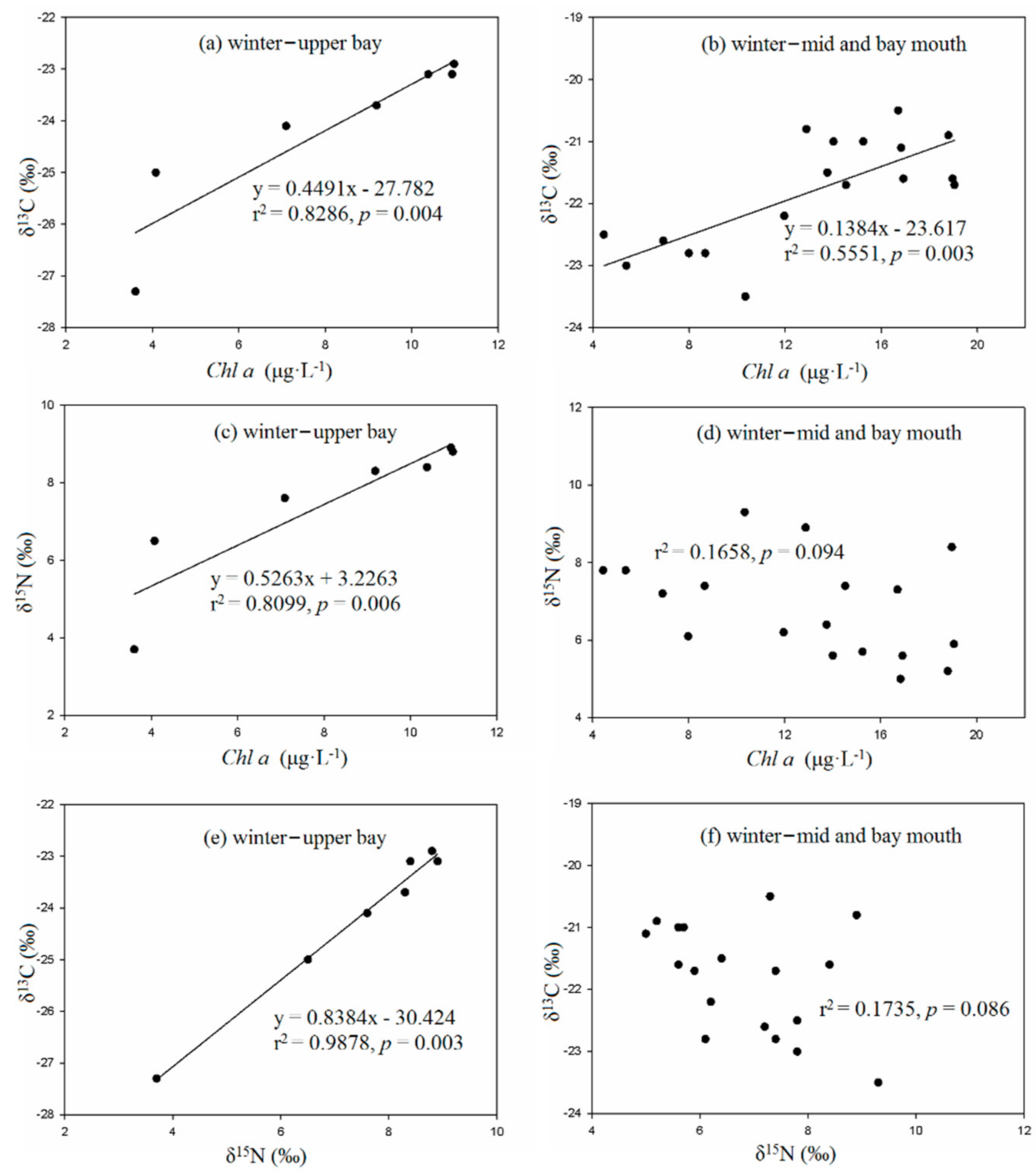
3.5. Correlation Analysis
4. Discussion
4.1. Sources of POM in the Surface Water of Zhanjiang Bay in Summer
4.2. Sources of POM in the Surface Water of Zhanjiang Bay in Winter
4.3. Quantification of the Sources of the Organic Matter in Zhanjiang Bay
5. Conclusions
Author Contributions
Funding
Institutional Review Board Statement
Informed Consent Statement
Data Availability Statement
Acknowledgments
Conflicts of Interest
References
- Lotze, H.K.; Lenihan, H.S.; Bourque, B.J.; Bradbury, R.H.; Jackson, J.B.C. Depletion, Degradation, and Recovery Potential of Estuaries and Coastal Seas. Science 2006, 312, 1806–1809. [Google Scholar] [CrossRef] [PubMed]
- Tesi, T.; Miserocchi, S.; Goñi, M.; Langone, L.; Boldrin, A.; Turchetto, M. Organic matter origin and distribution in suspended particulate materials and surficial sediments from the western Adriatic Sea (Italy). Estuar. Coast. Shelf Sci. 2007, 73, 431–446. [Google Scholar] [CrossRef]
- Harmelinvivien, M.; Loizeau, V.; Mellon, C.; Beker, B.; Arlhac, D.; Bodiguel, X.; Ferraton, F.; Hermand, R.; Philippon, X.; Salenpicard, C. Comparison of C and N stable isotope ratios between surface particulate organic matter and microphytoplankton in the Gulf of Lions (NW Mediterranean). Cont. Shelf Res. 2008, 28, 1911–1919. [Google Scholar] [CrossRef]
- Chen, F.-R.; Zhang, L.; Yang, Y.-Q.; Zhang, D.-R. Chemical and isotopic alteration of organic matter during early diagenesis: Evidence from the coastal area off-shore the Pearl River estuary, south China. Acta Oceanol. Sin. 2008, 74, 372–380. [Google Scholar] [CrossRef]
- Guo, W.; Ye, F.; Xu, S.; Jia, G. Seasonal variation in sources and processing of particulate organic carbon in the Pearl River estuary, South China. Estuar. Coast. Shelf Sci. 2015, 167, 540–548. [Google Scholar] [CrossRef]
- Ye, F.; Guo, W.; Shi, Z.; Jia, G.; Wei, G. Seasonal dynamics of particulate organic matter and its response to flooding in the Pearl River Estuary, China, revealed by stable isotope (δ13C and δ15N) analyses. J. Geophys. Res. Ocean. 2017, 122, 6835–6856. [Google Scholar] [CrossRef]
- Zhang, R.; Chen, M.; Ma, Q.; Cao, J.; Qiu, Y. Latitudinal distribution of nitrogen isotopic composition in suspended particulate organic matter in tropical/subtropical seas. Isot. Environ. Health Stud. 2011, 47, 489–497. [Google Scholar] [CrossRef]
- Zhang, R.; Chen, M.; Guo, L.; Gao, Z.; Ma, Q.; Cao, J.; Qiu, Y.; Li, Y. Variations in the isotopic composition of particulate organic carbon and their relation with carbon dynamics in the western Arctic Ocean. Deep Sea Res. Part II Top. Stud. Oceanogr. 2012, 81–84, 72–78. [Google Scholar] [CrossRef]
- Zhang, J.; Wu, Y.; Jennerjahn, T.C.; Ittekkot, V.; He, Q. Distribution of organic matter in the Changjiang (Yangtze River) Estuary and their stable carbon and nitrogen isotopic ratios: Implications for source discrimination and sedimentary dynamics. Mar. Chem. 2007, 106, 111–126. [Google Scholar] [CrossRef]
- Gao, X.; Yang, Y.; Wang, C. Geochemistry of organic carbon and nitrogen in surface sediments of coastal Bohai Bay inferred from their ratios and stable isotopic signatures. Mar. Pollut. Bull. 2012, 64, 1148–1155. [Google Scholar] [CrossRef]
- Kanaya, G.; Nakamura, Y.; Koizumi, T.; Yamada, K.; Koshikawa, H.; Kohzu, A.; Maki, H. Temporal changes in carbon and nitrogen stable isotope ratios of macrozoobenthos on an artificial tidal flat facing a hypertrophic canal, inner Tokyo Bay. Mar. Pollut. Bull. 2013, 71, 179–189. [Google Scholar] [CrossRef]
- O’Leary, M.H. Carbon isotope in photosynthesis. BioScience 1988, 38, 328–336. [Google Scholar] [CrossRef]
- Meyers, P.A. Preservation of elemental and isotopic source identification of sedimentary organic matter. Chem. Geol. 1994, 114, 289–302. [Google Scholar] [CrossRef]
- Middelburg, J.J.; Herman, P.M.J. Organic matter processing in tidal estuaries. Mar. Chem. 2007, 106, 127–147. [Google Scholar] [CrossRef]
- Thornton, S.F.; Mcmanus, J. Application of Organic Carbon and Nitrogen Stable Isotope and C/N Ratios as Source Indicators of Organic Matter Provenance in Estuarine Systems: Evidence from the Tay Estuary, Scotland. Estuar. Coast. Shelf Sci. 1994, 38, 219–233. [Google Scholar] [CrossRef]
- Middelburg, J.J.; Nieuwenhuize, J. Carbon and nitrogen stable isotopes in suspended matter and sediments from the Schelde Estuary. Mar. Chem. 1998, 60, 217–225. [Google Scholar] [CrossRef]
- Maksymowska, D.; Richard, P.; Piekarek-Jankowska, H.; Riera, P. Chemical and Isotopic Composition of the Organic Matter Sources in the Gulf of Gdansk (Southern Baltic Sea). Estuar. Coast. Shelf Sci. 2000, 51, 585–598. [Google Scholar] [CrossRef]
- Wada, E.; Hattori, A. Nitrogen in the Sea: Forms, Abundance, and Rate Processes; CRC Press: Boca Raton, FL, USA, 1990; p. 224. [Google Scholar]
- Mcclelland, J.W.; Valiela, I.; Michener, R.H. Nitrogen-stable isotope signatures in estuarine food webs: A record of increasing urbanization in coastal watersheds. Limnol. Oceanogr. 1997, 42, 930–937. [Google Scholar] [CrossRef]
- Gordon, E.S.; Goñi, M.A. Sources and distribution of terrigenous organic matter delivered by the Atchafalaya River to sediments in the northern Gulf of Mexico. Geochim. Cosmochim. Acta 2003, 67, 2359–2375. [Google Scholar] [CrossRef]
- Ke, Z.; Tan, Y.; Huang, L.; Zhao, C.; Jiang, X. Spatial distributions of δ13C, δ15N and C/N ratios in suspended particulate organic matter of a bay under serious anthropogenic influences: Daya Bay, China. Mar. Pollut. Bull. 2017, 114, 183–191. [Google Scholar] [CrossRef]
- Sheng, K.E.; Li-Rong, Z.; Sheng-Li, S. Distribution characteristics and sources of PAHs in sea water of the land-based outlet of Zhanjiang Bay. Mar. Environ. Sci. 2014, 33, 71–77. [Google Scholar]
- Jibiao, Z.; Fengxia, Z.; Chunliang, C.; Xingli, S.; Yuzhen, S.; Hui, Z.; Fajin, C.; Yiguo, H. Spatial distribution and correlation characteristics of heavy metals in the seawater, suspended particulate matter and sediments in Zhanjiang Bay, China. PLoS ONE 2018, 13, e0201414. [Google Scholar]
- Yuzhen, S.; Yubin, Z.; Xingli, S. Spatiotemporal Distribution of Eutrophication and Its Relationship with Environmental Factors in Zhanjiang Sea Bay Area. Environ. Sci. Technol. 2015, 38, 90–96. [Google Scholar]
- Li, J.; Cao, R.; Lao, Q.; Chen, F.; Zhu, Q. Assessing Seasonal Nitrate Contamination by Nitrate Dual Isotopes in a Monsoon-Controlled Bay with Intensive Human Activities in South China. Int. J. Environ. Res. Public Health 2020, 17, 1921. [Google Scholar] [CrossRef]
- Lu, X.; Zhou, F.; Chen, F.; Lao, Q.; Zhu, Q.; Meng, Y.; Chen, C. Spatial and Seasonal Variations of Sedimentary Organic Matter in a Subtropical Bay: Implication for Human Interventions. Int. J. Environ. Res. Public Health 2020, 17, 1362. [Google Scholar] [CrossRef]
- Peng, Z.; Ru, W.L.; Yu, L.J. Concentrations, compositions and fluxes of nitrogen and phosphorus pollutants from land to sea in Zhanjiang Bay in summer. J. Guangdong Ocean Univ. 2019, 39, 63–72. [Google Scholar]
- Chen, F.; Lao, Q.; Jia, G.; Chen, C.; Zhu, Q.; Zhou, X. Seasonal variations of nitrate dual isotopes in wet deposition in a tropical city in China. Atmos. Environ. 2019, 196. [Google Scholar] [CrossRef]
- Lorenzen, C.J. Determination of chlorophyll and pheopigments: Spectrophotometric equations. Limnol. Oceanogr. 1967, 12, 343–346. [Google Scholar] [CrossRef]
- Kayanne, Y.H. Rapid Direct Determination of Organic Carbon and Nitrogen in Carbonate-Bearing Sediments with a Yanaco MT-5 CHN Analyzer. Limnol. Oceanogr. 1995, 40, 1001–1005. [Google Scholar]
- Sarma, V.V.S.S.; Krishna, M.S.; Prasad, V.R.; Kumar, B.S.K.; Naidu, S.A.; Rao, G.D.; Viswanadham, R.; Sridevi, T.; Kumar, P.P.; Reddy, N.P.C. Distribution and sources of particulate organic matter in the Indian monsoonal estuaries during monsoon. J. Geophys. Res. Biogeoences 2015, 119, 2095–2111. [Google Scholar] [CrossRef]
- Lao, Q.; Chen, F.; Liu, G.; Chen, C.; Jin, G.; Zhu, Q.; Wei, C.; Zhang, C. Isotopic evidence for the shift of nitrate sources and active biological transformation on the western coast of Guangdong Province, South China. Mar. Pollut. Bull. 2019, 142, 603–612. [Google Scholar] [CrossRef]
- Graham, M.C.; Eaves, M.A.; Farmer, J.G.; Dobson, J.; Fallick, A.E. A Study of Carbon and Nitrogen Stable Isotope and Elemental Ratios as Potential Indicators of Source and Fate of Organic Matter in Sediments of the Forth Estuary, Scotland. Estuar. Coast. Shelf Sci. 2001, 52, 375–380. [Google Scholar] [CrossRef]
- Hedges, J.I.; Oades, J.M. Comparative organic geochemistries of soils and marine sediments. Org. Geochem. 1997, 27, 319–361. [Google Scholar] [CrossRef]
- Lamb, A.L.; Wilson, G.P.; Leng, M.J. A review of coastal palaeoclimate and relative sea-level reconstructions using δ13C and C/N ratios in organic material. Earth Sci. Rev. 2006, 75, 29–57. [Google Scholar] [CrossRef]
- Holtvoeth, J.; Kolonic, S.; Wagner, T. Soil organic matter as an important contributor to late Quaternary sediments of the tropical West African continental margin. Geochim. Cosmochim. Acta 2005, 69, 2031–2041. [Google Scholar] [CrossRef]
- Maya, M.V.; Karapurkar, S.G.; Naik, H.; Roy, R.; Shenoy, D.M.; Naqvi, S.W.A. Intra-annual variability of carbon and nitrogen stable isotopes in suspended organic matter in waters of the western continental shelf of India. Biogeosciences 2011, 8, 3441–3456. [Google Scholar] [CrossRef]
- Ittekkot, V.; Zhang, S. Pattern of particulate nitrogen transport in world rivers. Glob. Biogeochem. Cycles 1989, 3, 383–391. [Google Scholar] [CrossRef]
- Wu, Y.; Zhang, J.; Li, D.J.; Wei, H.; Lu, R.X. Isotope variability of particulate organic matter at the PN section in the East China Sea. Biogeochemistry 2003, 65, 31–49. [Google Scholar] [CrossRef]
- Jia, G.; Peng, P.A. Temporal and spatial variations in signatures of sedimented organic matter in Lingding Bay (Pearl estuary), southern China. Mar. Chem. 2003, 82, 47–54. [Google Scholar] [CrossRef]
- Xu, G.; Liu, J.; Hu, G.; Jonell, T.N.; Chen, L. Distribution and source of organic matter in surface sediment from the muddy deposit along the Zhejiang coast, East China Sea. Mar. Pollut. Bull. 2017, 123, 395–399. [Google Scholar] [CrossRef]
- Sarma, V.V.S.S.; Arya, J.; Subbaiah, C.V.; Naidu, S.A.; Gawade, L.; Kumar, P.P.; Reddy, N.P.C. Stable isotopes of carbon and nitrogen in suspended matter and sediments from the Godavari estuary. J. Oceanogr. 2012, 68, 307–319. [Google Scholar] [CrossRef]
- Ying, W.; Dittmar, T.; Ludwichowski, K.U.; Kattner, G.; Jing, Z.; Zhu, Z.Y.; Koch, B.P. Tracing suspended organic nitrogen from the Yangtze River catchment into the East China Sea. Mar. Chem. 2007, 107, 367–377. [Google Scholar]
- Herman, P.M.; Heip, C.H. Biogeochemistry of the MAximum TURbidity Zone of Estuaries (MATURE): Some conclusions. J. Mar. Syst. 1999, 22, 89–104. [Google Scholar] [CrossRef]
- Hedges, J.I.; Keil, R.G.; Benner, R. What happens to terrestrial organic matter in the ocean? Org. Geochem. 1997, 27, 195–212. [Google Scholar] [CrossRef]
- Hu, J.; Peng, P.; Jia, G.; Mai, B.; Zhang, G. Distribution and sources of organic carbon, nitrogen and their isotopes in sediments of the subtropical Pearl River estuary and adjacent shelf, Southern China. Mar. Chem. 2006, 98, 274–285. [Google Scholar] [CrossRef]
- Voß, M.; Struck, U. Stable nitrogen and carbon isotopes as indicator of eutrophication of the Oder river (Baltic sea). Mar. Chem. 1997, 59, 35–49. [Google Scholar]
- Gu, B. Factors controlling seasonal variations in stable isotope composition of particulate organic matter in a softwater eutrophic lake. Limnol. Oceanogr. 2006, 51, 2837–2848. [Google Scholar] [CrossRef]
- Gu, B.; Schelske, L. Temporal and spatial variations in phytoplankton carbon isotopes in a polymictic subtropical lake. J. Plankton Res 1996, 18, 2081–2092. [Google Scholar] [CrossRef]
- Chen, F.; Jia, G. Spatial and seasonal variations in δ13C and δ15N of particulate organic matter in a dam-controlled subtropical river. River Res. Appl. 2009, 25, 1169–1176. [Google Scholar] [CrossRef]
- Yu, F.; Zong, Y.; Lloyd, J.M.; Huang, G.; Leng, M.J. Bulk organic δ13C and C/N as indicators for sediment sources in the Pearl River delta and estuary, southern China. Estuar. Coast. Shelf Sci. 2010, 87, 618–630. [Google Scholar] [CrossRef]
- Zhang, Y.; Kaiser, K.; Li, L.; Zhang, D.; Yong, R.; Benner, R. Sources, distributions, and early diagenesis of sedimentary organic matter in the Pearl River region of the South China Sea. Mar. Chem. 2014, 158, 39–48. [Google Scholar] [CrossRef]
- Kumar, S.; Ramesh, R.; Bhosle, N.B.; Sardesai, S.; Sheshshayee, M.S. Natural isotopic composition of nitrogen in suspended particulate matter in the Bay of Bengal. OALib J. 2004, 1, 63–70. [Google Scholar]
- Tieqiang, M.; Hongpo, D.; Fajin, C. Abundance, diversity and distribution of denitrifying and anammox bacteria in sediments of Zhanjiang Bay. Mar. Limnol. 2020, 51, 63–78. [Google Scholar]
- Wenna, Y.; Hongpo, D.; Qinghua, H. Abundance, diversity and distribution characteristics of ammonia oxidizing microorganisms in sediments of Zhanjiang Bay. J. Guangdong Ocean Univ. 2018, 38, 37–46. [Google Scholar]
- Barros, G.V.; Martinelli, L.A.; Novais, T.M.O.; Ometto, J.P.H.B.; Zuppi, G.M. Stable isotopes of bulk organic matter to trace carbon and nitrogen dynamics in an estuarine ecosystem in Babitonga Bay (Santa Catarina, Brazil). Sci. Total Environ. 2010, 408, 2226–2232. [Google Scholar] [CrossRef]
- Andrews, J.E.; Greenaway, A.M.; Dennis, P.F. Combined carbon isotope and C/N ratios as indicators of source and fate of organic matter in a poorly flushed, tropical estuary. Estuar. Coast. Shelf Sci. 1998, 46, 756. [Google Scholar] [CrossRef]













| Salinity | NO2− | NO3− | NH4+ | PO43− | SiO3− | Chl a | POC | PN | δ15N | δ13C | |
|---|---|---|---|---|---|---|---|---|---|---|---|
| Salinity | 1.00 | −0.960 ** | −0.985 ** | −0.754 * | −0.939 ** | −0.447 | −0.709 * | −0.757 * | −0.086 | 0.511 | 0.874 ** |
| NO2− | 1.00 | 0.981 ** | 0.732 * | 0.922 ** | 0.543 | 0.730 * | 0.628 | 0.033 | −0.432 | −0.793 * | |
| NO3− | 1.00 | 0.787 * | 0.950 ** | 0.456 | 0.752 * | 0.725 * | 0.106 | −0.429 | −0.816 * | ||
| NH4+ | 1.00 | 0.866 ** | 0.423 | 0.389 | 0.647 | −0.153 | −0.58 | −0.696 | |||
| PO43− | 1.00 | 0.552 | 0.591 | 0.807 * | −0.08 | −0.549 | −0.891 ** | ||||
| SiO3− | 1.00 | 0.133 | 0.453 | −0.533 | −0.713 * | −0.659 | |||||
| Chl a | 1.00 | 0.502 | 0.683 | 0.06 | −0.383 | ||||||
| POC | 1.00 | 0.063 | −0.551 | −0.849 ** | |||||||
| PN | 1.00 | 0.541 | 0.251 | ||||||||
| δ15N | 1.00 | 0.787 * | |||||||||
| δ13C | 1.00 |
| Salinity | NO2- | NO3− | NH4+ | PO43− | SiO3− | Chl a | POC | PN | δ15N | δ13C | |
|---|---|---|---|---|---|---|---|---|---|---|---|
| Salinity | 1.00 | −0.963 ** | −0.921 ** | −0.831 ** | −0.572 * | −0.968 ** | 0.349 | −0.123 | −0.352 | 0.058 | 0.167 |
| NO2− | 1.00 | 0.901 ** | 0.798 ** | 0.580 * | 0.974 ** | −0.257 | 0.214 | 0.378 | −0.117 | −0.248 | |
| NO3− | 1.00 | 0.931 ** | 0.708 ** | 0.966 ** | −0.443 | −0.021 | 0.202 | −0.131 | −0.135 | ||
| NH4+ | 1.00 | 0.806 ** | 0.891 ** | −0.528 * | −0.291 | −0.039 | −0.377 | −0.253 | |||
| PO43− | 1.00 | 0.668 ** | −0.532 * | −0.229 | −0.117 | −0.479 | −0.253 | ||||
| SiO3− | 1.00 | −0.423 | 0.054 | 0.238 | −0.132 | −0.16 | |||||
| Chl a | 1.00 | 0.498 | 0.574 * | −0.057 | −0.465 | ||||||
| POC | 1.00 | 0.803 ** | 0.336 | −0.024 | |||||||
| PN | 1.00 | 0.298 | −0.19 | ||||||||
| δ15N | 1.00 | 0.756 ** | |||||||||
| δ13C | 1.00 |
| Salinity | NO2− | NO3− | NH4+ | PO43− | SiO3− | Chl a | POC | PN | δ15N | δ13C | |
|---|---|---|---|---|---|---|---|---|---|---|---|
| Salinity | 1.00 | −0.930 ** | −0.978 ** | −0.895 ** | −0.979 ** | −0.672 | 0.848 * | 0.006 | 0.880 ** | 0.954 ** | 0.948 ** |
| NO2− | 1.00 | 0.978 ** | 0.990 ** | 0.983 ** | 0.584 | −0.694 | −0.311 | −0.842 * | −0.932 ** | −0.919 ** | |
| NO3− | 1.00 | 0.949 ** | 0.999 ** | 0.695 | −0.816 * | −0.123 | −0.897 ** | −0.972 ** | −0.963 ** | ||
| NH4+ | 1.00 | 0.959 ** | 0.505 | −0.655 | −0.402 | −0.837 * | −0.915 ** | −0.907 ** | |||
| PO43− | 1.00 | 0.674 | −0.803 * | −0.155 | −0.891 ** | −0.969 ** | −0.962 ** | ||||
| SiO3− | 1.00 | −0.778 * | 0.259 | −0.651 | −0.695 | −0.717 | |||||
| Chl a | 1.00 | −0.306 | 0.933 ** | 0.900 ** | 0.910 ** | ||||||
| POC | 1.00 | −0.004 | 0.077 | 0.059 | |||||||
| PN | 1.00 | 0.973 ** | 0.973 ** | ||||||||
| δ15N | 1.00 | 0.994 ** | |||||||||
| δ13C | 1.00 |
| Salinity | NO2− | NO3− | NH4+ | PO43− | SiO3− | Chl a | POC | PN | δ15N | δ13C | |
|---|---|---|---|---|---|---|---|---|---|---|---|
| Salinity | 1.00 | 0.355 | 0.359 | −0.172 | 0.812 ** | −0.634 ** | −0.484 * | −0.711 ** | −0.751 ** | −0.174 | −0.574 * |
| NO2− | 1.00 | 0.985 ** | 0.406 | 0.769 ** | 0.371 | −0.298 | −0.388 | −0.629 ** | 0.478 * | −0.532 * | |
| NO3− | 1.00 | 0.376 | 0.790 ** | 0.375 | −0.399 | −0.411 | −0.685 ** | 0.576 * | −0.604 ** | ||
| NH4+ | 1.00 | 0.084 | 0.521 * | 0.11 | 0.103 | 0.011 | 0.482 * | 0.093 | |||
| PO43- | 1.00 | −0.23 | −0.623 ** | −0.769 ** | −0.927 ** | 0.292 | −0.774 ** | ||||
| SiO3− | 1.00 | 0.307 | 0.470 * | 0.271 | 0.594 ** | 0.093 | |||||
| Chl a | 1.00 | 0.650 ** | 0.798 ** | −0.407 | 0.745 ** | ||||||
| POC | 1.00 | 0.797 ** | −0.128 | 0.702 ** | |||||||
| PN | 1.00 | −0.342 | 0.876 ** | ||||||||
| δ15N | 1.00 | −0.417 | |||||||||
| δ13C | 1.00 |
| Sources | δ13C | δ15N | References |
|---|---|---|---|
| C3 plants | −27.0 ± 3.0 | 5.1 ± 2.1 | [31,56] |
| Terrestrial soils | −19.2 ± 2.4 | 10.3 ± 2.7 | [31] |
| Sewage | −24.8 ± 3.2 | 12.7 ± 3.4 | [57] |
| Marine organic matter | −20.0 ± 2.0 | 6.0 ± 2.0 | [6] |
| Freshwater phytoplankton | −30.0 ± 2.0 | 12.0 ± 2.0 | [6] |
Publisher’s Note: MDPI stays neutral with regard to jurisdictional claims in published maps and institutional affiliations. |
© 2021 by the authors. Licensee MDPI, Basel, Switzerland. This article is an open access article distributed under the terms and conditions of the Creative Commons Attribution (CC BY) license (https://creativecommons.org/licenses/by/4.0/).
Share and Cite
Li, J.; Chen, F.; Zhang, S.; Huang, C.; Chen, C.; Zhou, F.; Wu, J.; Jin, G.; Zhu, Q. Origin of the Particulate Organic Matter in a Monsoon-Controlled Bay in Southern China. J. Mar. Sci. Eng. 2021, 9, 541. https://doi.org/10.3390/jmse9050541
Li J, Chen F, Zhang S, Huang C, Chen C, Zhou F, Wu J, Jin G, Zhu Q. Origin of the Particulate Organic Matter in a Monsoon-Controlled Bay in Southern China. Journal of Marine Science and Engineering. 2021; 9(5):541. https://doi.org/10.3390/jmse9050541
Chicago/Turabian StyleLi, Jiacheng, Fajin Chen, Shuwen Zhang, Chao Huang, Chunqing Chen, Fengxia Zhou, Junhui Wu, Guangzhe Jin, and Qingmei Zhu. 2021. "Origin of the Particulate Organic Matter in a Monsoon-Controlled Bay in Southern China" Journal of Marine Science and Engineering 9, no. 5: 541. https://doi.org/10.3390/jmse9050541
APA StyleLi, J., Chen, F., Zhang, S., Huang, C., Chen, C., Zhou, F., Wu, J., Jin, G., & Zhu, Q. (2021). Origin of the Particulate Organic Matter in a Monsoon-Controlled Bay in Southern China. Journal of Marine Science and Engineering, 9(5), 541. https://doi.org/10.3390/jmse9050541
