The Impact of Wave Model Source Terms and Coupling Strategies to Rapidly Developing Waves across the North-West European Shelf during Extreme Events
Abstract
1. Introduction
2. The Regional Coupled Atmosphere-Ocean-Wave System (UKC4)
2.1. Met Office Unified Regional Atmosphere Model
2.2. NEMO Regional Ocean Model
2.3. WWIII Spectral Regional Wave Model
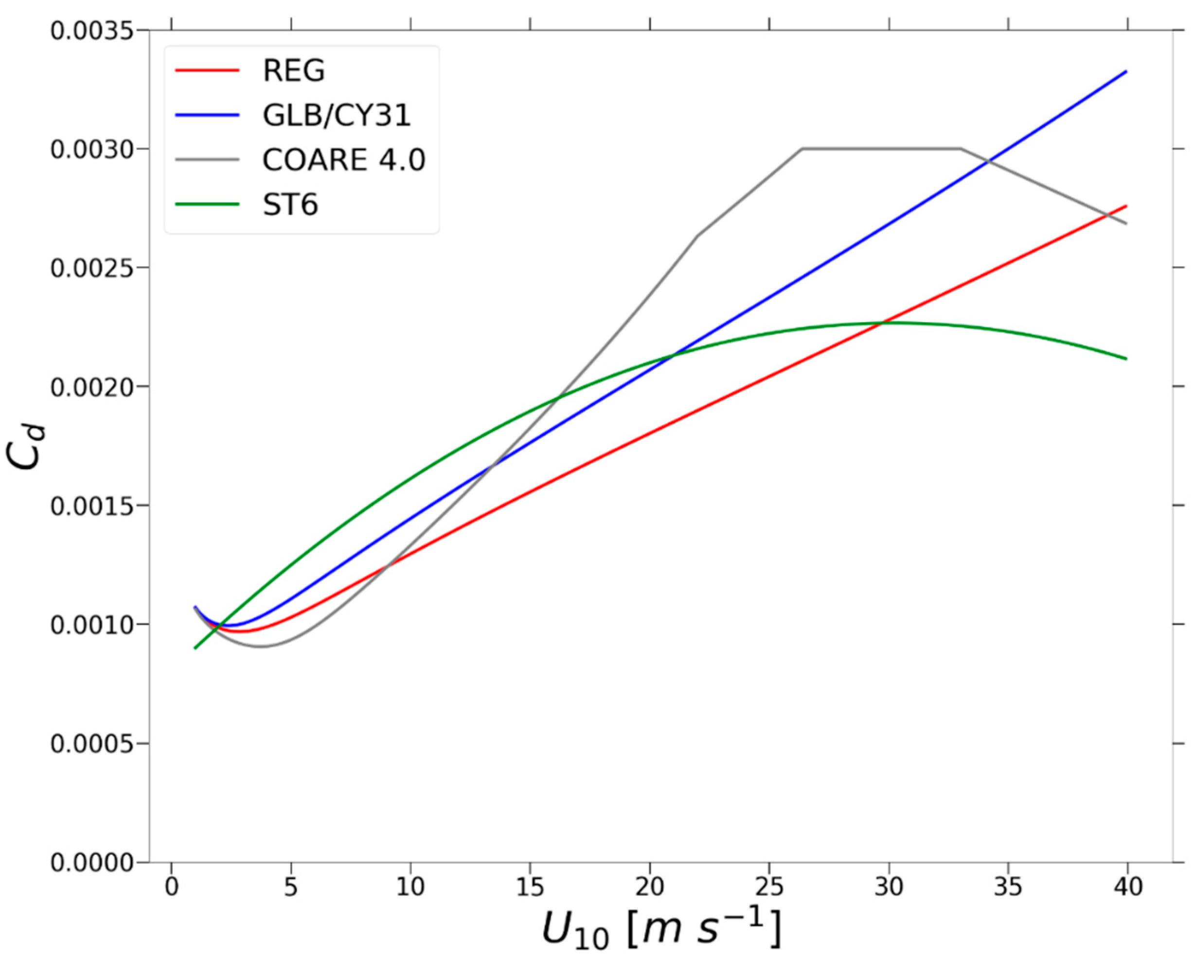
3. Materials and Methods
3.1. Observations and Metrics for Model Evaluation
3.2. Experimental Set-Up
3.2.1. WWIII Source Terms Parameterisations
3.2.2. Coupling Strategies
3.2.3. Experiments
Atmosphere-Ocean-Wave Coupled
Wave-Only
3.3. Simulated Storms: Winter 2013/14 Storms
4. Wave Growth Fetch Dependence: Idealised Scenarios
5. Results
5.1. Models Performance
5.2. Sensitivity to Coupling
5.3. Sensitivity to Wave Source Term Parameterisation and Coupling Strategy
5.4. Momentum Transfer to Waves during Extremes
6. Discussion
7. Conclusions
Future Work
Author Contributions
Funding
Institutional Review Board Statement
Informed Consent Statement
Data Availability Statement
Acknowledgments
Conflicts of Interest
References
- Moon, I.-J.; Ginis, I.; Hara, T. Effect of surface waves on Charnock coefficient under tropical cyclones. Geophys. Res. Lett. 2004, 31, 1–4. [Google Scholar] [CrossRef]
- Chen, S.S.; Zhao, W.; Donelan, M.A.; Tolman, H.L. Directional Wind–Wave Coupling in Fully Coupled Atmosphere–Wave–Ocean Models: Results from CBLAST-Hurricane. J. Atmos. Sci. 2013, 70, 3198–3215. [Google Scholar] [CrossRef]
- Varlas, G.; Katsafados, P.; Papadopoulos, A.; Korres, G. Implementation of a two-way coupled atmosphere-ocean wave modeling system for assessing air-sea interaction over the Mediterranean Sea. Atmos. Res. 2018, 208, 201–217. [Google Scholar] [CrossRef]
- Janssen, P.A.E.M.; Viterbo, P. Ocean Waves and the Atmospheric Climate. J. Clim. 1996, 9, 1269–1287. [Google Scholar] [CrossRef]
- Janssen, P.A.E.M.; Doyle, J.D.; Bidlot, J.; Hansen, B.; Isaksen, L.; Viterbo, P. Impact and feedback of ocean waves on the atmosphere. Atmos. Ocean Interact. 2002, 1, 155–197. [Google Scholar]
- Wahle, K.; Staneva, J.; Koch, W.; Fenoglio-Marc, L.; Ho-Hagemann, H.T.M.; Stanev, E.V. An atmosphere–wave regional coupled model: Improving predictions of wave heights and surface winds in the southern North Sea. Ocean Sci. 2017, 13, 289–301. [Google Scholar] [CrossRef]
- Wu, L.; Sproson, D.; Sahlée, E.; Rutgersson, A. Surface Wave Impact When Simulating Midlatitude Storm Development. J. Atmos. Ocean. Technol. 2017, 34, 233–248. [Google Scholar] [CrossRef]
- Wiese, A.; Stanev, E.; Koch, W.; Behrens, A.; Geyer, B.; Staneva, J. The Impact of the Two-Way Coupling between Wind Wave and Atmospheric Models on the Lower Atmosphere over the North Sea. Atmosphere 2019, 10, 386. [Google Scholar] [CrossRef]
- Osuna, P.; Monbaliu, J. Wave–current interaction in the Southern North Sea. J. Mar. Syst. 2004, 52, 65–87. [Google Scholar] [CrossRef]
- Hersbach, H.; Bidlot, J.-R. The relevance of ocean surface current in the ECMWF analysis and forecast system. In Proceedings of the Workshop on Ocean-Atmosphere Interactions, Reading, UK, 10–12 November 2008; European Centre for Medium-Range Weather Forecasts: Reading, UK, 2008; pp. 61–73. [Google Scholar]
- Fan, Y.; Ginis, I.; Hara, T. The Effect of Wind–Wave–Current Interaction on Air–Sea Momentum Fluxes and Ocean Response in Tropical Cyclones. J. Phys. Oceanogr. 2009, 39, 1019–1034. [Google Scholar] [CrossRef]
- Palmer, T.; Saulter, A. Evaluating the Effects of Ocean Current Fields on a UK Regional Wave Model, Met Office Forecasting Research Technical Report 612. 2016. Available online: http://www.metoffice.gov.uk/media/pdf/j/i/FRTR_612_2016P.pdf (accessed on 2 February 2021).
- Ardhuin, F.; Gille, S.T.; Menemenlis, D.; Rocha, C.B.; Rascle, N.; Chapron, B.; Gula, J.; Molemaker, J. Small-scale open ocean currents have large effects on wind wave heights. J. Geophys. Res. Oceans 2017, 122, 4500–4517. [Google Scholar] [CrossRef]
- Valiente, N.G.; Saulter, A.; Lewis, H.W. The Effect of Different Levels of Coupling in Surface Wind Waves along the NWS during Extreme Events, Met Office Weather Science Report No 642. 2021. Available online: https://digital.nmla.metoffice.gov.uk/IO_054d5518-86af-4a24-903d-fafa0d6a2695/ (accessed on 10 March 2021).
- Lewis, H.W.; Castillo Sanchez, J.M.; Siddorn, J.; King, R.R.; Tonani, M.; Saulter, A.; Sykes, P.; Pequignet, A.-C.; Weedon, G.P.; Palmer, T.; et al. Can wave coupling improve operational regional ocean forecasts for the north-west European Shelf? Ocean Sci. 2019, 15, 669–690. [Google Scholar] [CrossRef]
- Bruciaferri, D.; Tonani, M.; Lewis, H.W.; Siddorn, J.; Saulter, A.; Castillo, J.M.; McConnell, N. The impact of ocean-wave coupling on the upper ocean circulation during storm events. Earth Space Sci. Open Arch. 2021. [Google Scholar] [CrossRef]
- Lewis, H.W.; Castillo Sanchez, J.M.; Graham, J.; Saulter, A.; Bornemann, J.; Arnold, A.; Fallmann, J.; Harris, C.; Pearson, D.; Ramsdale, S.; et al. The UKC2 regional coupled environmental prediction system. Geosci. Model Dev. 2018, 11, 1–42. [Google Scholar] [CrossRef]
- Edwards, J.M. The Momentum Budget in the Atmosphere-Ocean-Wave Coupled System; Met Office Weather Science Report; Met Office: Exeter, UK, 2020.
- Lewis, H.W.; Castillo Sanchez, J.M.; Arnold, A.; Fallmann, J.; Saulter, A.; Graham, J.; Bush, M.; Siddorn, J.; Palmer, T.; Lock, A.; et al. The UKC3 regional coupled environmental prediction system. Geosci. Model Dev. 2019, 12, 2357–2400. [Google Scholar] [CrossRef]
- Renault, L.; Chiggiato, J.; Warner, J.C.; Gomez, M.; Vizoso, G.; Tintoré, J. Coupled atmosphere-ocean-wave simulations of a storm event over the Gulf of Lion and Balearic Sea. J. Geophys. Res. Space Phys. 2012, 117, 1–25. [Google Scholar] [CrossRef]
- Smith, S.D.; Anderson, R.J.; Oost, W.A.; Kraan, C.; Maat, N.; De Cosmo, J.; Katsaros, K.B.; Davidson, K.L.; Bumke, K.; Hasse, L.; et al. Sea surface wind stress and drag coefficients: The hexos results. Boundary-Layer Meteorol. 1992, 60, 109–142. [Google Scholar] [CrossRef]
- Oost, W.; Komen, G.; Jacobs, C.; Van Oort, C. New evidence for a relation between wind stress and wave age from measurements during ASGAMAGE. Boundary-Layer Meteorol. 2002, 103, 409–438. [Google Scholar] [CrossRef]
- Edson, J.B.; Jampana, V.; Weller, R.A.; Bigorre, S.P.; Plueddemann, A.J.; Fairall, C.W.; Miller, S.D.; Mahrt, L.; Vickers, D.; Hersbach, H. On the Exchange of Momentum over the Open Ocean. J. Phys. Oceanogr. 2013, 43, 1589–1610. [Google Scholar] [CrossRef]
- Jiménez, P.A.; Dudhia, J. On the Need to Modify the Sea Surface Roughness Formulation over Shallow Waters. J. Appl. Meteorol. Clim. 2018, 57, 1101–1110. [Google Scholar] [CrossRef]
- Donelan, M.A.; Curcic, M.; Chen, S.S.; Magnusson, A.K. Modeling waves and wind stress. J. Geophys. Res. Space Phys. 2012, 117, 1–26. [Google Scholar] [CrossRef]
- Powell, M.D.; Vickery, P.J.; Reinhold, T.A. Reduced drag coefficient for high wind speeds in tropical cyclones. Nat. Cell Biol. 2003, 422, 279–283. [Google Scholar] [CrossRef]
- Babanin, A.V.; Rogers, W.E.; De Camargo, R.; Doble, M.; Durrant, T.; Filchuk, K.; Ewans, K.; Hemer, M.; Janssen, T.; Kelly-Gerreyn, B.; et al. Waves and Swells in High Wind and Extreme Fetches, Measurements in the Southern Ocean. Front. Mar. Sci. 2019, 6, 1–12. [Google Scholar] [CrossRef]
- Uz, B.M.; Donelan, M.A.; Hara, T.; Bock, E.J. Laboratory Studies of Wind Stress over Surface Waves. Boundary-Layer Meteorol. 2002, 102, 301–331. [Google Scholar] [CrossRef]
- ECMWF. IFS DOCUMENTATION Cy43r3—Part VII: ECMWF Wave Model Operational Implementation 11 July 2017; Series IFS Documentation; ECMWF: Reading, UK, 2017. [Google Scholar] [CrossRef]
- Zieger, S.; Babanin, A.V.; Rogers, W.E.; Young, I.R. Observation-based source terms in the third-generation wave model WAVEWATCH. Ocean Model. 2015, 96, 2–25. [Google Scholar] [CrossRef]
- Donelan, M.A. On the Decrease of the Oceanic Drag Coefficient in High Winds. J. Geophys. Res. Oceans 2018, 123, 1485–1501. [Google Scholar] [CrossRef]
- Roland, A.; Ardhuin, F. On the developments of spectral wave models: Numerics and parameterizations for the coastal ocean. Ocean Dyn. 2014, 64, 833–846. [Google Scholar] [CrossRef]
- Christakos, K.; Björkqvist, J.-V.; Tuomi, L.; Furevik, B.R.; Breivik, Ø. Modelling wave growth in narrow fetch geometries: The white-capping and wind input formulations. Ocean Model. 2021, 157, 101730. [Google Scholar] [CrossRef]
- Chalikov, D. The Parameterization of the Wave Boundary Layer. J. Phys. Oceanogr. 1995, 25, 1333–1349. [Google Scholar] [CrossRef]
- Chalikov, D.; Rainchik, S. Coupled Numerical Modelling of Wind and Waves and the Theory of the Wave Boundary Layer. Boundary-Layer Meteorol. 2011, 138, 1–41. [Google Scholar] [CrossRef]
- Domingues, R.; Kuwano-Yoshida, A.; Chardon-Maldonado, P.; Todd, R.E.; Halliwell, G.; Kim, H.-S.; Lin, I.-I.; Sato, K.; Narazaki, T.; Shay, L.K.; et al. Ocean Observations in Support of Studies and Forecasts of Tropical and Extratropical Cyclones. Front. Mar. Sci. 2019, 6, 1–23. [Google Scholar] [CrossRef]
- Rapizo, H.; Babanin, A.V.; Schulz, E.; Hemer, M.A.; Durrant, T.H. Observation of wind-waves from a moored buoy in the Southern Ocean. Ocean Dyn. 2015, 65, 1275–1288. [Google Scholar] [CrossRef]
- Ardhuin, F.; Rogers, E.; Babanin, A.; Filipot, J.-F.; Magne, R.; Roland, A.; Collard, F. Semi-empirical dissipation source functions for wind-wave models: Part I, definition, calibration and validation. J. Phys. Oceanogr. 2010, 40, 1917–1941. [Google Scholar] [CrossRef]
- Saulter, A.; Bunney, C.; Li, J.-G.; Palmer, T. Process and resolution impacts on UK coastal wave predictions from opera-tional global-regional wave models. In Proceedings of the 15th International Workshop on Wave Hindcasting and Forecasting & 6th Coastal Hazard Symposium, Liverpool, UK, 10–15 September 2017; Available online: http://www.waveworkshop.org/15thWaves/Papers/K1_WHF_SaulterEtAl_UKCoastalWave_20170913.pdf (accessed on 1 February 2021).
- Tolman, H.L.; Balasubramaniyan, B.; Burroughs, L.D.; Chalikov, D.V.; Chao, Y.Y.; Chen, H.S.; Gerald, V.M. Development and implementation of wind-generated ocean surface wave models at NCEP. Weather Forecast. 2002, 17, 311–333. [Google Scholar] [CrossRef]
- NOAA. WAVEWATCH III® Production Hindcast, Multigrid: Feb 2005 to May 2019. 2021. Available online: https://polar.ncep.noaa.gov/waves/hindcasts/prod-multi_1.php (accessed on 20 February 2021).
- Babanin, A.V.; Tsagareli, K.N.; Young, I.R.; Walker, D.J. Numerical Investigation of Spectral Evolution of Wind Waves. Part II: Dissipation Term and Evolution Tests. J. Phys. Oceanogr. 2010, 40, 667–683. [Google Scholar] [CrossRef]
- Van Vledder, G.P.; Hulst, S.T.C.; McConochie, J.D. Source term balance in a severe storm in the Southern North Sea. Ocean Dyn. 2016, 66, 1681–1697. [Google Scholar] [CrossRef]
- Christakos, K.; Furevik, B.R.; Aarnes, O.J.; Breivik, Ø.; Tuomi, L.; Byrkjedal, Ø. The importance of wind forcing in fjord wave modelling. Ocean Dyn. 2019, 70, 57–75. [Google Scholar] [CrossRef]
- Liu, Q.; Babanin, A.; Fan, Y.; Zieger, S.; Guan, C.; Moon, I.-J. Numerical simulations of ocean surface waves under hurricane conditions: Assessment of existing model performance. Ocean Model. 2017, 118, 73–93. [Google Scholar] [CrossRef]
- Brown, A.; Milton, S.; Cullen, M.; Golding, B.; Mitchell, J.F.B.; Shelly, A. Unified Modeling and Prediction of Weather and Climate: A 25-Year Journey. Bull. Am. Meteorol. Soc. 2012, 93, 1865–1877. [Google Scholar] [CrossRef]
- Madec, G. NEMO Ocean Engine; Note du Pole de Modelisation; Institut Pierre-Simon Laplace (IPSL): Guyancourt, France, 2008. [Google Scholar]
- Tolman, H.L. User Manual and System Documentation of WAVEWATCH III Version 4.18. 2014. Available online: http://polar.ncep.noaa.gov/waves/wavewatch/manual.v4.18.pdf (accessed on 28 January 2021).
- Valckle, S.; Craig, T.; Coquart, L. OASIS3-MCT User Guide; Technical Report TR/CMGC/15/38; Cerfacs: Toulouse, France, 2015. [Google Scholar]
- Bush, M.; Allen, T.; Bain, C.; Boutle, I.; Edwards, J.; Finnenkoetter, A.; Franklin, C.; Hanley, K.; Lean, H.; Lock, A.; et al. The first Met Office Unified Model–JULES Regional Atmosphere and Land configuration, RAL1. Geosci. Model Dev. 2020, 13, 1999–2029. [Google Scholar] [CrossRef]
- Best, M.J.; Pryor, M.; Clark, D.B.; Rooney, G.G.; Essery, R.L.H.; Menard, C.B.; Edwards, J.M.; Hendry, M.A.; Porson, A.; Gedney, N.; et al. The Joint UK Land Environment Simulator (JULES), model description—Part 1: Energy and water fluxes. Geosci. Model Dev. 2011, 4, 677–699. [Google Scholar] [CrossRef]
- Clark, D.B.; Mercado, L.M.; Sitch, S.; Jones, C.D.; Gedney, N.; Best, M.J.; Pryor, M.J.; Rooney, G.G.; Essery, R.L.H.; Blyth, E.M.; et al. The Joint UK Land Environment Simulator (JULES), model description—Part 2: Carbon fluxes and vegetation dynamics. Geosci. Model Dev. 2011, 4, 701–722. [Google Scholar] [CrossRef]
- Arakawa, A.; Lamb, V.R. Computational Design of the Basic Dynamical Processes of the UCLA General Circulation Model. Methods Comput. Phys. Adv. Res. Appl. 1977, 173–265. [Google Scholar] [CrossRef]
- Charney, J.G.; Phillips, N.A. Numerical integration of the quasi-geostrophic equations for barotropic and simple baroclinic flows. J. Meteorol. 1953, 10, 71–99. [Google Scholar] [CrossRef]
- Graham, J.A.; O’Dea, E.; Holt, J.; Polton, J.; Hewitt, H.T.; Furner, R.; Guihou, K.; Brereton, A.; Arnold, A.; Wakelin, S.; et al. AMM15: A new high-resolution NEMO configuration for operational simulation of the European north-west shelf. Geosci. Model Dev. 2018, 11, 681–696. [Google Scholar] [CrossRef]
- Siddorn, J.; Furner, R. An analytical stretching function that combines the best attributes of geopotential and terrain-following vertical coordinates. Ocean Model. 2013, 66, 1–13. [Google Scholar] [CrossRef]
- Tonani, M.; Sykes, P.; King, R.R.; McConnell, N.; Péquignet, A.-C.; O’Dea, E.; Graham, J.A.; Polton, J.; Siddorn, J. The impact of a new high-resolution ocean model on the Met Office North-West European Shelf forecasting system. Ocean Sci. 2019, 15, 1133–1158. [Google Scholar] [CrossRef]
- Umlauf, L.; Burchard, H. A generic length-scale equation for geophysical turbulence models. J. Mar. Res. 2003, 61, 235–265. [Google Scholar] [CrossRef]
- Zalesak, S.T. Fully multidimensional flux-corrected transport algorithms for fluids. J. Comput. Phys. 1979, 31, 335–362. [Google Scholar] [CrossRef]
- Flather, R.A. A tidal model of the north west European continental shelf. Mem. Société R. Sci. Liege 1976, 6, 141–164. [Google Scholar]
- Li, J.-G. Global Transport on a Spherical Multiple-Cell Grid. Mon. Weather. Rev. 2011, 139, 1536–1555. [Google Scholar] [CrossRef]
- Battjes, J.A.; Janssen, P. Energy loss and set-up due to breaking of random waves. Coast. Eng. 1978, 569–587. [Google Scholar] [CrossRef]
- Hasselmann, K.; Barnett, T.P.; Bouws, E.; Carlson, H.; Cartwright, D.E.; Eake, K.; Walden, H. Measurements of Wind-Wave Growth and Swell Decay during the Joint North Sea Wave Project (JONSWAP). In Deutsche Hydrograph, Zeit, Erganzung-Self Reihe, A 8(12); Deutches Hydrographisches Institut: Berlin, Germany, 1973; pp. 1–95. [Google Scholar]
- Hasselmann, S.; Hasselmann, K.; Allender, J.H.; Barnett, T.P. Computations and Parameterizations of the Nonlinear En-ergy Transfer in a Gravity-Wave Specturm. Part II: Parameterizations of the Nonlinear Energy Transfer for Application in Wave Models. J. Phys. Oceanogr. 1985, 15, 1378–1391. [Google Scholar] [CrossRef]
- Cavaleri, L.; Rizzoli, P.M. Wind wave prediction in shallow water: Theory and applications. J. Geophys. Res. Space Phys. 1981, 86, 10961–10973. [Google Scholar] [CrossRef]
- Donelan, M.A.; Babanin, A.V.; Young, I.R.; Banner, M.L. Wave-Follower Field Measurements of the Wind-Input Spectral Function. Part II: Parameterization of the Wind Input. J. Phys. Oceanogr. 2006, 36, 1672–1689. [Google Scholar] [CrossRef]
- Donelan, M.A.; Babanin, A.V.; Young, I.R.; Banner, M.L.; McCormick, C. Wave-Follower Field Measurements of the Wind-Input Spectral Function. Part I: Measurements and Calibrations. J. Atmos. Ocean. Technol. 2005, 22, 799–813. [Google Scholar] [CrossRef]
- Babanin, A.V.; Banner, M.L.; Young, I.R.; Donelan, M.A. Wave-Follower Field Measurements of the Wind-Input Spectral Function. Part III: Parameterization of the Wind-Input Enhancement due to Wave Breaking. J. Phys. Oceanogr. 2007, 37, 2764–2775. [Google Scholar] [CrossRef]
- Tsagareli, K.N.; Babanin, A.V.; Walker, D.J.; Young, I.R. Numerical Investigation of Spectral Evolution of Wind Waves. Part I: Wind-Input Source Function. J. Phys. Oceanogr. 2010, 40, 656–666. [Google Scholar] [CrossRef]
- Rogers, W.E.; Babanin, A.V.; Wang, D.W. Observation-Consistent Input and Whitecapping Dissipation in a Model for Wind-Generated Surface Waves: Description and Simple Calculations. J. Atmos. Ocean. Technol. 2012, 29, 1329–1346. [Google Scholar] [CrossRef]
- Masselink, G.; Castelle, B.; Scott, T.; Dodet, G.; Suanez, S.; Jackson, D.; Floc’H, F. Extreme wave activity during 2013/2014 winter and morphological impacts along the Atlantic coast of Europe. Geophys. Res. Lett. 2016, 43, 2135–2143. [Google Scholar] [CrossRef]
- Bidlot, J.; Wittmann, P.; Fauchon, M.; Chen, H.; Lefèvre, J.M.; Bruns, T.; Park, S. Inter-comparison of operational wave forecasting systems. In Proceedings of the 10th International Workshop on Wave Hindcasting and Forecasting and Coastal Hazard Symposium, Oahu, HI, USA, 11–16 November 2007; pp. 1–22. [Google Scholar]
- Queffeulou, P. Merged altimeter wave height data base. An update. In Proceedings of the ESA Living Planet Symposium 2013, Edinburgh, UK, 9–13 September 2013; Available online: https://ftp.space.dtu.dk/pub/Ioana/papers/s221_1quef.pdf (accessed on 10 February 2021).
- Saulter, A. QUID for NWS MFC Products—Quality Information Document, Technical Report Ref. NORTH-WESTSHELF_ANALYSIS_FORECAST_WAV_004_014. 2018. Available online: https://resources.marine.copernicus.eu/documents/QUID/CMEMS-NWS-QUID-004-014.pdf (accessed on 10 February 2021).
- Janssen, P.A.E.M. The Interaction of Ocean Waves and Wind; Cambridge University Press (CUP): Cambridge, UK, 2004. [Google Scholar] [CrossRef]
- Babanin, A.V.; Solov’yev, Y.P. Parameterization of the width of the angular distribution of wind wave energy at limited fetches. Izv. Atmos. Ocean Phys. 1987, 23, 645–651. [Google Scholar]
- Komen, G.J.; Hasselmann, K. On the Existence of a Fully Developed Wind-Sea Spectrum. J. Phys. Oceanogr. 1984, 14, 1271–1285. [Google Scholar] [CrossRef]
- Hwang, P.A. A Note on the Ocean Surface Roughness Spectrum. J. Atmos. Ocean. Technol. 2011, 28, 436–443. [Google Scholar] [CrossRef]
- Janssen, P.A.E.M. Quasi-linear Theory of Wind-Wave Generation Applied to Wave Forecasting. J. Phys. Oceanogr. 1991, 21, 1631–1642. [Google Scholar] [CrossRef]
- Munk, W.H. Wind stress on water: An hypothesis. Q. J. R. Meteorol. Soc. 1955, 81, 639. [Google Scholar] [CrossRef]
- Smith, S.D. Coefficients for sea surface wind stress, heat flux, and wind profiles as a function of wind speed and temperature. J. Geophys. Res. Space Phys. 1988, 93, 15467–15472. [Google Scholar] [CrossRef]
- Holthuijsen, L.H.; Powell, M.D.; Pietrzak, J.D. Wind and waves in extreme hurricanes. J. Geophys. Res. Space Phys. 2012, 117, 1–15. [Google Scholar] [CrossRef]
- Hsu, J.-Y.; Lien, R.-C.; D’Asaro, E.A.; Sanford, T.B. Estimates of Surface Wind Stress and Drag Coefficients in Typhoon Megi. J. Phys. Oceanogr. 2017, 47, 545–565. [Google Scholar] [CrossRef]
- Lewis, H.W.; Siddorn, J.; Castillo Sanchez, J.M.; Petch, J.; Edwards, J.M.; Smyth, T. Evaluating the impact of atmospheric forcing and air–sea coupling on near-coastal regional ocean prediction. Ocean Sci. 2019, 15, 761–778. [Google Scholar] [CrossRef]
- Matthews, T.K.; Murphy, C.; Wilby, R.L.; Harrigan, S. Stormiest winter on record for Ireland and UK. Nat. Clim. Chang. 2014, 4, 738–740. [Google Scholar] [CrossRef]
- Spencer, T.; Brooks, S.M.; Evans, B.R.; Tempest, J.A.; Möller, I. Southern North Sea storm surge event of 5 December 2013: Water levels, waves and coastal impacts. Earth-Sci. Rev. 2015, 146, 120–145. [Google Scholar] [CrossRef]
- Wadey, M.P.; Haigh, I.D.; Nicholls, R.J.; Brown, J.M.; Horsburgh, K.; Carroll, B.; Gallop, S.L.; Mason, T.; Bradshaw, E. A comparison of the 31 January–1 February 1953 and 5–6 December 2013 coastal flood events around the UK. Front. Mar. Sci. 2015, 2, 84. [Google Scholar] [CrossRef]
- Young, I.; Verhagen, L. The growth of fetch limited waves in water of finite depth. Part 1. Total energy and peak frequency. Coast. Eng. 1996, 29, 47–78. [Google Scholar] [CrossRef]
- Sullivan, P.P.; McWilliams, J.C.; Melville, W.K. Surface gravity wave effects in the oceanic boundary layer: Large-eddy simulation with vortex force and stochastic breakers. J. Fluid Mech. 2007, 593, 405–452. [Google Scholar] [CrossRef]
- Bourassa, M.A.; Meissner, T.; Cerovecki, I.; Chang, P.S.; Dong, X.; De Chiara, G.; Donlon, C.; Dukhovskoy, D.S.; Elya, J.; Fore, A.; et al. Remotely Sensed Winds and Wind Stresses for Marine Forecasting and Ocean Modeling. Front. Mar. Sci. 2019, 6, 443. [Google Scholar] [CrossRef]












| Interface | Exchanged Variable | ST4 | ST6 | ST6mod |
|---|---|---|---|---|
| W-A | Wave-dependent Charnock parameter (α) | X | X | -- |
| A-W | Wind speed at 10 m above surface (U10) | X | X | X |
| A-W | Air density () | -- | -- | X |
| A-W | Atmospheric stress () | -- | -- | X |
| Configuration | Experiment | Description |
|---|---|---|
| Coupled | UKC4aow-ST4 | Atmosphere-ocean-wave coupling atm <-> ocn <-> wave <-> atm WWIII: ST4 [38] with flux computation included in source terms Uses UM regional atmosphere coupled component winds |
| UKC4aow-ST6 | Atmosphere-ocean-wave coupling atm <-> ocn <-> wave <-> atm WWIII: ST6 with flux computation according to Hwang [78] Uses UM high-resolution winds | |
| UKC4aow-ST6mod | Atmosphere-ocean-wave coupling atm <-> ocn <-> wave <- atm WWIII: ST6 [30,42,66,67,68,69,70] Uses UM high-resolution wind stress and air density Atm-wave coupling modified to pass the stress Drag coefficient computed in UM as per Edson et al. [23] with cap and reduction for high winds | |
| Wave-only | UKW4h-ST4 | Wave only with Met Office UM regional atmosphere-only winds interpolated to CMEMS-UK Met Office AMM15 WWIII: ST4 [38] with flux computation included in source terms |
| UKW4h-ST6 | Wave only with Met Office UM regional atmosphere-only winds interpolated to CMEMS-UK Met Office AMM15 WWIII: ST6 [30,42,66,67,68,69,70] with flux computation according to Hwang [78] |
| Experiment | Domain Depth [m] | Configuration |
|---|---|---|
| ST4-1000 | 1000 | ST4 [38] with flux computed in source terms Drag as per Equations (21) and (24) |
| ST4-80 | 80 | ST4 [38] with flux computed in source terms Drag as per Equations (21) and (24) |
| ST6-1000 | 1000 | ST6 [30,42,66,67,68,69,70] with flux computed as per Hwang [78] Drag as per Equation (18) |
| ST6-80 | 80 | ST6 [30,42,66,67,68,69,70] with flux computed as per Hwang [78] Drag as per Equation (18) |
| ST6mod-1000 | 1000 | ST6 [30,42,66,67,68,69,70] Drag parameterised using a fitting to COARE 4.0 [23] |
| STmod-80 | 80 | ST6 [30,42,66,67,68,69,70] Drag parameterised using a fitting to COARE 4.0 [23] |
| Observations | RMSD | Bias | R | |||||||||||||
|---|---|---|---|---|---|---|---|---|---|---|---|---|---|---|---|---|
| Coupled | Wave Only | Coupled | Wave Only | Coupled | Wave Only | |||||||||||
| ST4 | ST6 | ST6mod | ST4 | ST6 | ST4 | ST6 | ST6mod | ST4 | ST6 | ST4 | ST6 | ST6mod | ST4 | ST6 | ||
| Hs [m] | MA | 0.54 | 0.60 | 0.57 | 0.55 | 0.55 | −0.12 | −0.19 | −0.14 | 0.04 | −0.05 | 0.97 | 0.96 | 0.96 | 0.96 | 0.96 |
| WAVENET | 0.35 | 0.44 | 0.48 | 0.37 | 0.43 | 0.03 | 0.005 | −0.01 | 0.07 | 0.13 | 0.95 | 0.92 | 0.91 | 0.94 | 0.93 | |
| JCOMM | 0.46 | 0.52 | 0.53 | 0.43 | 0.45 | 0.02 | 0.10 | 0.05 | 0.08 | 0.10 | 0.96 | 0.92 | 0.96 | 0.94 | 0.93 | |
| SHPSYN | 0.56 | 0.57 | 0.57 | 0.64 | 0.60 | 0.04 | −0.01 | 0.04 | 0.2 | 0.16 | 0.95 | 0.95 | 0.95 | 0.95 | 0.95 | |
| U10 [ms−1] | MA | 2.54 | 2.46 | 2.40 | 2.41 | 2.41 | −1.26 | −1.20 | −1.14 | −1.00 | −1.00 | 0.86 | 0.86 | 0.86 | 0.88 | 0.88 |
| Observations | RMSD | Bias | R | |||||||||||||
|---|---|---|---|---|---|---|---|---|---|---|---|---|---|---|---|---|
| Coupled | Wave Only | Coupled | Wave Only | Coupled | Wave Only | |||||||||||
| ST4 | ST6 | ST6mod | ST4 | ST6 | ST4 | ST6 | ST6mod | ST4 | ST6 | ST4 | ST6 | ST6mod | ST4 | ST6 | ||
| Hs [m] | On-shelf | 0.78 | 0.88 | 0.87 | 0.83 | 0.89 | −0.19 | 0.21 | 0.18 | 0.34 | 0.30 | 0.75 | 0.71 | 0.75 | 0.73 | 0.68 |
| Off-shelf | 0.96 | 1.14 | 1.11 | 1.15 | 1.08 | −0.11 | 0.19 | 0.11 | 0.33 | −0.15 | 0.73 | 0.69 | 0.72 | 0.66 | 0.67 | |
| U10 [ms−1] | On-shelf | 2.16 | 2.13 | 2.13 | 2.34 | 2.34 | 0.52 | 0.16 | 0.25 | 1.36 | 1.36 | 0.49 | 0.49 | 0.5 | 0.51 | 0.51 |
| Off-shelf | 2.57 | 2.45 | 2.37 | 2.61 | 2.61 | 2.08 | 1.77 | 1.89 | 2.60 | 2.60 | 0.66 | 0.66 | 0.68 | 0.70 | 0.70 | |
Publisher’s Note: MDPI stays neutral with regard to jurisdictional claims in published maps and institutional affiliations. |
© 2021 by the authors. Licensee MDPI, Basel, Switzerland. This article is an open access article distributed under the terms and conditions of the Creative Commons Attribution (CC BY) license (https://creativecommons.org/licenses/by/4.0/).
Share and Cite
Valiente, N.G.; Saulter, A.; Edwards, J.M.; Lewis, H.W.; Castillo Sanchez, J.M.; Bruciaferri, D.; Bunney, C.; Siddorn, J. The Impact of Wave Model Source Terms and Coupling Strategies to Rapidly Developing Waves across the North-West European Shelf during Extreme Events. J. Mar. Sci. Eng. 2021, 9, 403. https://doi.org/10.3390/jmse9040403
Valiente NG, Saulter A, Edwards JM, Lewis HW, Castillo Sanchez JM, Bruciaferri D, Bunney C, Siddorn J. The Impact of Wave Model Source Terms and Coupling Strategies to Rapidly Developing Waves across the North-West European Shelf during Extreme Events. Journal of Marine Science and Engineering. 2021; 9(4):403. https://doi.org/10.3390/jmse9040403
Chicago/Turabian StyleValiente, Nieves G., Andrew Saulter, John M. Edwards, Huw W. Lewis, Juan M. Castillo Sanchez, Diego Bruciaferri, Christopher Bunney, and John Siddorn. 2021. "The Impact of Wave Model Source Terms and Coupling Strategies to Rapidly Developing Waves across the North-West European Shelf during Extreme Events" Journal of Marine Science and Engineering 9, no. 4: 403. https://doi.org/10.3390/jmse9040403
APA StyleValiente, N. G., Saulter, A., Edwards, J. M., Lewis, H. W., Castillo Sanchez, J. M., Bruciaferri, D., Bunney, C., & Siddorn, J. (2021). The Impact of Wave Model Source Terms and Coupling Strategies to Rapidly Developing Waves across the North-West European Shelf during Extreme Events. Journal of Marine Science and Engineering, 9(4), 403. https://doi.org/10.3390/jmse9040403

