Analytical Modeling and Design of Novel Conical Halbach Permanent Magnet Couplings for Underwater Propulsion
Abstract
1. Introduction
2. Topologies and Features of C-HPMC
3. Performance Analysis of the C-HPMC
3.1. Transmitted Torque Calculation of the C-HPMC
- For the Halbach magnetized outer rotor:where,
- For the Halbach magnetized inner rotor:
- For the parallel magnetized inner rotor:
- For the radial magnetized inner rotor:
3.2. Verification of Analytical Method
3.3. Optimal Type Selection Method of C-HPMC
3.4. Axial Force of the C-HPMC
4. Design of the C-HPMC for Underwater Propulsion
4.1. Design Constraints of the C-HPMC for Underwater Propulsion
4.2. Selection of the Type of HPMCs and the Number of Pole Pairs
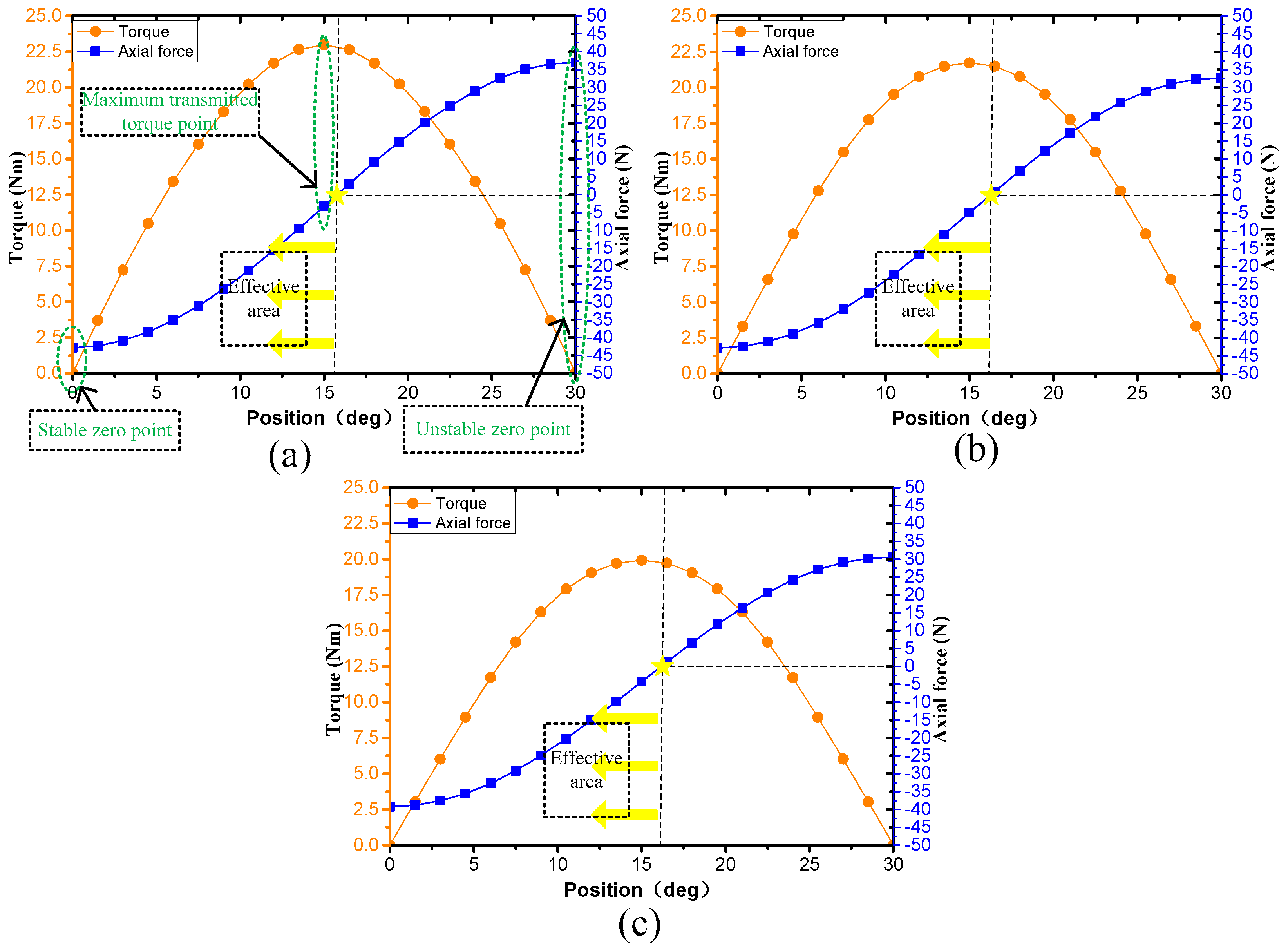
4.3. Axial Force and Operating Point of the C-HPMC
4.4. Eddy Current Loss of the C-HPMC
5. Conclusions
Author Contributions
Funding
Institutional Review Board Statement
Informed Consent Statement
Data Availability Statement
Acknowledgments
Conflicts of Interest
References
- Macreadie, P.I.; McLean, D.L.; Thomson, P.G.; Partridge, J.C.; Jones, D.O.B.; Gates, A.R.; Benfield, M.C.; Collin, S.P.; Booth, D.J.; Smith, L.L.; et al. Eyes in the sea: Unlocking the mysteries of the ocean using industrial, remotely operated vehicles (ROVs). Sci. Total Environ. 2018, 634, 1077–1091. [Google Scholar] [CrossRef]
- Petillot, Y.R.; Antonelli, G.; Casalino, G.; Ferreira, F. Underwater Robots: From Remotely Operated Vehicles to Intervention-Autonomous Underwater Vehicles. IEEE Robot. Autom. Mag. 2019, 26, 94–101. [Google Scholar] [CrossRef]
- Byron, J.; Tyce, R. Designing a vertical/horizontal AUV for deep ocean sampling. In Proceedings of the OCEANS 2007, Vancouver, BC, Canada, 29 September–4 October 2007; pp. 1–10. [Google Scholar]
- Charpentier, J.F.; Fadli, N.; Jennane, J. Study of ironless permanent magnet devices being both a coupling and an axial bearing for naval propulsion. IEEE Trans. Magn. 2003, 39, 3235–3237. [Google Scholar] [CrossRef]
- Potgieter, J.H.J.; Kamper, M.J. Optimum design and comparison of slip permanent-magnet couplings with wind energy as case study application. IEEE Trans. Ind. Appl. 2014, 50, 3223–3234. [Google Scholar] [CrossRef]
- Yonnset, J.P.; Hemmerlin, S.; Rulliere, E.; Lemarquand, G. Analytical calculation of permanent magnet couplings. IEEE Trans. Magn. 1993, 29, 2932–2934. [Google Scholar] [CrossRef]
- Cheng, B.; Pan, G. Analysis and structure optimization of radial halbach permanent magnet couplings for deep sea robots. Math. Probl. Eng. 2018, 2018, 1–11. [Google Scholar] [CrossRef]
- Dolisy, B.; Mezani, S.; Lubin, T.; Leveque, J. A new analytical torque formula for axial field permanent magnets coupling. IEEE Trans. Energy Convers. 2015, 30, 892–899. [Google Scholar] [CrossRef]
- Nagrial, M.H. Design optimization of magnetic couplings using high energy magnets. Electr. Mach. Power Syst. 1993, 21, 115–126. [Google Scholar] [CrossRef]
- Charpentier, J.F.; Lemarquand, G. Optimal design of cylindrical air-gap synchronous permanent magnet couplings. IEEE Trans. Magn. 1999, 35, 1037–1046. [Google Scholar] [CrossRef]
- Ravaud, R.; Lemarquand, V.; Lemarquand, G. Analytical design of permanent magnet radial couplings. IEEE Trans. Magn. 2010, 46, 3860–3865. [Google Scholar] [CrossRef]
- 1Lubin, T.; Mezani, S.; Rezzoug, A. Simple analytical expressions for the force and torque of axial magnetic couplings. IEEE Trans. Energy Convers. 2012, 27, 536–546. [Google Scholar]
- Hornreich, R.M.; Shtrikman, S. Optimal design of synchronous torque couplers. IEEE Trans. Magn. 1978, 14, 800–802. [Google Scholar] [CrossRef]
- Ferreira, C.; Vaidya, J. Torque analysis of permanent magnet coupling using 2d and 3d finite elements methods. IEEE Trans. Magn. 1989, 25, 3080–3082. [Google Scholar] [CrossRef]
- Wu, W.; Lovatt, H.C.; Dunlop, J.B. Analysis and design optimisation of magnetic couplings using 3D finite element modelling. IEEE Trans. Magn. 1997, 33, 4083–4085. [Google Scholar] [CrossRef]
- Eliès, P.; Lemarquand, G. Analytical optimization of the torque of a permanent-magnet coaxial synchronous coupling. IEEE Trans. Magn. 1998, 34, 2267–2273. [Google Scholar] [CrossRef]
- Charpentier, J.F.; Lemarquand, G. Optimization of unconventional P.M. couplings. IEEE Trans. Magn. 2002, 38, 1093–1096. [Google Scholar] [CrossRef]
- Mallinson, J.C. One-Sided Fluxes—A Magnetic Curiosity? IEEE Trans. Magn. 1973, 9, 678–682. [Google Scholar] [CrossRef]
- Halbach, K. Design of permanent multipole magnets with oriented rare earth cobalt material. Nucl. Instrum. Methods 1980, 169, 1–10. [Google Scholar] [CrossRef]
- Zhu, Z.Q.; Howe, D. Halbach permanent magnet machines and applications: A review. IEE Proc. Electr. Power Appl. 2001, 148, 299–308. [Google Scholar] [CrossRef]
- Xia, Z.P.; Zhu, Z.Q.; Howe, D. Analytical magnetic field analysis of halbach magnetized permanent-magnet machines. IEEE Trans. Magn. 2004, 40, 1864–1872. [Google Scholar] [CrossRef]
- Zhu, Z.Q. Recent development of Halbach permanent magnet machines and applications. In Proceedings of the 2007 Power Conversion Conference—Nagoya, Nagoya, Japan, 2–5 April 2007. [Google Scholar]
- Bird, J.; Li, K.; Kadel, J.; Wright, J.; Som, D.; Williams, W. Analysis and testing of a hybrid Halbach magnetic gearbox. In Proceedings of the 2017 IEEE International Magnetics Conference, Dublin, Ireland, 24–28 April 2017; Volume 53, pp. 11–16. [Google Scholar]
- Jing, L.; Huang, Z.; Chen, J.; Qu, R. An Asymmetric Pole Coaxial Magnetic Gear with Unequal Halbach Arrays and Spoke Structure. IEEE Trans. Appl. Supercond. 2019, 30, 1–5. [Google Scholar] [CrossRef]
- Jing, L.; Gong, J.; Chen, J.; Huang, Z.; Qu, R. A Novel Coaxial Magnetic Gear With Unequal Halbach Arrays and Non-Uniform Air Gap. IEEE Trans. Appl. Supercond. 2020, 30, 1–5. [Google Scholar] [CrossRef]
- Yuan, D.; Li, J.; He, Y.; Zhang, H. Characteristic analysis of transmission torque of magnetic coupling with Halbach array. J. Magn. Mater. Devices 2011, 42, 36–40. [Google Scholar]
- Li, K.; Bird, J.Z.; Acharya, V.M. Ideal radial permanent magnet coupling torque density analysis. IEEE Trans. Magn. 2017, 53, 2–5. [Google Scholar] [CrossRef]
- Kang, H.B.; Choi, J.Y.; Cho, H.W.; Kim, J.H. Comparative study of torque analysis for synchronous permanent magnet coupling with parallel and halbach magnetized magnets based on analytical field calculations. IEEE Trans. Magn. 2014, 50, 3–6. [Google Scholar] [CrossRef]
- Seo, S.W.; Kim, Y.H.; Lee, J.H.; Choi, J.Y. Analytical torque calculation and experimental verification of synchronous permanent magnet couplings with Halbach arrays. AIP Adv. 2018, 8, 056609. [Google Scholar] [CrossRef]
- Li, Y.; Hu, Y.; Song, B.; Mao, Z.; Tian, W. Performance analysis of conical permanent magnet couplings for underwater propulsion. J. Mar. Sci. Eng. 2019, 7, 187. [Google Scholar] [CrossRef]
















| Design Parameters | Value |
|---|---|
| Front end diameter | 80 mm |
| Axial length | 60 mm |
| Half-cone angle | 15° |
| Outer rotor yoke thickness | 3 mm |
| Outer PM thickness | 3.5 mm |
| Air gap length | 2 mm |
| Inner PM thickness | 3.5 mm |
| Pole pairs | 6 |
| Number of modules | 10 |
| Type-1 | Type-2 | Type-3 | ||
|---|---|---|---|---|
| 30 | 63.92 | 21.66 | 21.32 | 19.93 |
| 35 | 61.24 | 23.41 | 22.79 | 21.21 |
| 40 | 58.56 | 24.60 | 23.65 | 21.91 |
| 45 | 55.88 | 25.20 | 23.90 | 22.03 |
| 50 | 53.21 | 25.21 | 23.55 | 21.59 |
| 55 | 50.53 | 24.63 | 22.61 | 20.62 |
| 60 | 47.85 | 23.44 | 21.14 | 19.14 |
| Modules | of C-HPMC/Nm | |||
|---|---|---|---|---|
| Type-1 HPMC | Type-2 HPMC | Type-3 HPMC | ||
| 1 | 76.78 | 5.7929 | 5.9399 | 5.6349 |
| 2 | 73.57 | 5.4368 | 5.5279 | 5.2273 |
| 3 | 70.35 | 5.075 | 5.1113 | 4.8163 |
| 4 | 67.14 | 4.7069 | 4.6901 | 4.4021 |
| 5 | 63.92 | 4.3318 | 4.2645 | 3.9851 |
| 6 | 60.71 | 3.9492 | 3.835 | 3.5663 |
| 7 | 57.49 | 3.5586 | 3.4027 | 3.147 |
| 8 | 54.28 | 3.1602 | 2.9695 | 2.7295 |
| 9 | 51.06 | 2.7548 | 2.5384 | 2.317 |
| 10 | 47.85 | 2.3445 | 2.0703 | 1.8699 |
| Magnetization Type of HPMC | ||
|---|---|---|
| C-HPMC | Type-1 | 41.1107 |
| Type-2 | 40.3496 | |
| Type-3 | 37.6954 | |
| optimal type selection | 41.3851 |
| Items | Value |
|---|---|
| Air gap length | 2 mm |
| Thickness of isolation hood | 0.5 mm |
| Thickness of retaining ring | 0.25 mm |
| Material of isolation hood and retaining ring | 304 stainless steel |
| Rated torque of propeller | 20 Nm |
| Rated thrust of propeller | 200 N |
| Rated speed | 600 rpm |
| Material of PMs | Nd-Fe-B |
| Residual magnetic flux density of PMs | 1.27 T |
| Relative permeability of PMs | 1.1045 |
(Unit: Nm) | Pole Pairs Number | |||||
|---|---|---|---|---|---|---|
| 4 | 5 | 6 | 7 | 8 | ||
| Modules | 1 | 4.2652 | 5.1734 | 5.9399 | 6.5526 | 7.0108 |
| 2 | 4.0127 | 4.8436 | 5.5279 | 6.0567 | 6.4336 | |
| 3 | 3.7581 | 4.5102 | 5.1113 | 5.5567 | 5.8545 | |
| 4 | 3.3111 | 4.0628 | 4.7069 | 5.2283 | 5.622 | |
| 5 | 3.0888 | 3.7674 | 4.3318 | 4.7701 | 5.0818 | |
| 6 | 2.8633 | 3.4663 | 3.9492 | 4.3042 | 4.5359 | |
| 7 | 2.6337 | 3.1586 | 3.5586 | 3.8314 | 3.9869 | |
| 8 | 2.3992 | 2.8437 | 3.1602 | 3.3532 | 3.4382 | |
| 9 | 2.1589 | 2.5208 | 2.7548 | 2.8727 | 2.8949 | |
| 10 | 1.9117 | 2.19 | 2.3445 | 2.3944 | 2.3644 | |
| Type of the Design | C-HPMC | Cylindrical HPMC |
|---|---|---|
| Maximum transmitted torque (Nm) | 39.2166 | 22.9909 |
| Maximum axial force (N) | 247.7938 | 24.8809 |
Publisher’s Note: MDPI stays neutral with regard to jurisdictional claims in published maps and institutional affiliations. |
© 2021 by the authors. Licensee MDPI, Basel, Switzerland. This article is an open access article distributed under the terms and conditions of the Creative Commons Attribution (CC BY) license (http://creativecommons.org/licenses/by/4.0/).
Share and Cite
Li, Y.; Hu, Y.; Guo, Y.; Song, B.; Mao, Z. Analytical Modeling and Design of Novel Conical Halbach Permanent Magnet Couplings for Underwater Propulsion. J. Mar. Sci. Eng. 2021, 9, 290. https://doi.org/10.3390/jmse9030290
Li Y, Hu Y, Guo Y, Song B, Mao Z. Analytical Modeling and Design of Novel Conical Halbach Permanent Magnet Couplings for Underwater Propulsion. Journal of Marine Science and Engineering. 2021; 9(3):290. https://doi.org/10.3390/jmse9030290
Chicago/Turabian StyleLi, Yukai, Yuli Hu, Youguang Guo, Baowei Song, and Zhaoyong Mao. 2021. "Analytical Modeling and Design of Novel Conical Halbach Permanent Magnet Couplings for Underwater Propulsion" Journal of Marine Science and Engineering 9, no. 3: 290. https://doi.org/10.3390/jmse9030290
APA StyleLi, Y., Hu, Y., Guo, Y., Song, B., & Mao, Z. (2021). Analytical Modeling and Design of Novel Conical Halbach Permanent Magnet Couplings for Underwater Propulsion. Journal of Marine Science and Engineering, 9(3), 290. https://doi.org/10.3390/jmse9030290

