Study on Vibration Characteristics of Marine Centrifugal Pump Unit Excited by Different Excitation Sources
Abstract
1. Introduction
2. Numerical Calculation Model and Strategy
2.1. Flow Field Calculation Model and Calculation Method
2.2. Electromagnetic Field Calculation Model and Calculation Method
2.3. Structure Calculation Model and Calculation Method
2.4. Test Object and External Characteristic Experiment
3. Analysis of Numerical Simulation Results
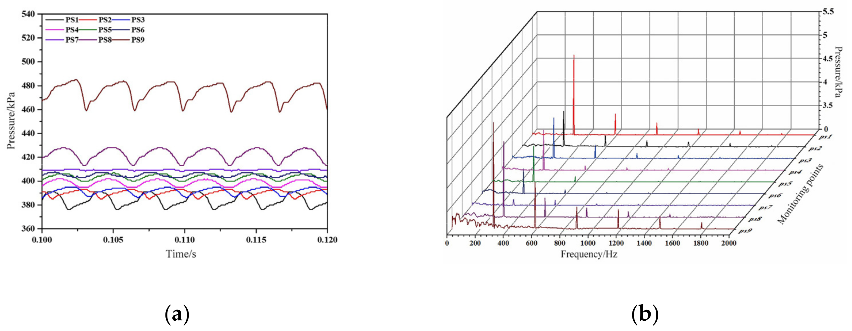
3.1. Analysis of Fluid Excitation Calculation Results
3.1.1. Force Analysis of the Volute Wall
3.1.2. Force Analysis of the Impeller
3.2. Analysis of Electromagnetic Excitation Calculation Results
3.3. Analysis of Vibration Calculation Results
3.3.1. Fluid Excitation on the Inner Surface of the Pump-Induced Vibration Analysis
3.3.2. Fluid Excitation in Impeller-Induced Vibration Analysis
3.3.3. Electromagnetic Excitation-Induced Vibration Analysis
3.4. Comparison of Numerical Simulation and Test Results
4. Conclusions
Author Contributions
Funding
Conflicts of Interest
References
- Liu, H.-M.; Liu, Y. Research Status and Developing Tendency of Malfunction Diagnosis in Centrifugal Pumps. Agric. Sci. Technol. Equip. 2019, 1, 70–74, 77. [Google Scholar]
- Zhao, Y.-Q. Research on Cavitation Diagnosis and Its Characteristics of Flow Field and Acoustic Field in Centrifugal Pump. Master’s Thesis, Jiangsu University, Zhen Jiang, China, 2018. [Google Scholar]
- Duan, X.-H.; Tang, F.-P.; Duan, W.-Y.; Zhou, W.; Shi, L.-J. Experimental investigation on the correlation of pressure pulsation and vibration of axial flow pump. Adv. Mech. Eng. 2019, 11, 168781401988947. [Google Scholar] [CrossRef]
- Zhao, W.-Y.; Bai, S.-B.; Ma, P.-F. Vibration of Rotor in Centrifugal Pump Status and Prospects. Fluid Mach. 2011, 3, 37–39. [Google Scholar]
- Ren, Y.-X.; Chen, H.-X. Introduction. In Fundamentals of Computational Fluid Dynamics; Liu, J.-L., Song, Y.-Q., Eds.; Tsinghua University Press: Beijing, China, 2006; pp. 5–6. [Google Scholar]
- Zhou, Y.-L. Analysis on Pressure Fluctuation and Vibration of a Centrifugal Pump for Off-design Conditions. Fluid Mach. 2015, 2, 52–55. [Google Scholar]
- Lucius, A.; Brenner, G. Unsteady CFD simulations of a pump in part load conditions using scale-adaptive simulation. Int. J. Heat Fluid Flow 2010, 31, 1113–1118. [Google Scholar] [CrossRef]
- Park, S.H.; Morrison, G.L. Centrifugal pump pressure pulsation prediction accuracy dependence upon CFD models and boundary conditions. In Proceedings of the ASME 2009 Fluids Engineering Division Summer Meeting, Vail, CO, USA, 2–6 August 2009; pp. 207–220. [Google Scholar]
- Wang, Y. Research on Cavitation and Its Induced Vibration and Noise in Centrifugal Pimps. Ph.D. Thesis, Jiangsu University, Zhen Jiang, China, 2011. [Google Scholar]
- Wang, Y.; Dai, C. Analysis on Pressure Fluctuation of Unsteady Flow in a Centrifugal Pump. Trans. Chin. Soc. Agric. Mach. 2010, 41, 91–95. [Google Scholar]
- Jin, Y.-B.; Dong, K.-Y.; Yu, J.; Wu, X.-R. Research progress of centrifugal pump fluid-induced vibration. Pump Technol. 2015, 3, 1–5. [Google Scholar]
- Ye, J.-P. Research on Optimization of Vibration and Structural Noise of Centrifugal Pump. Master’s Thesis, Wuhan University of Technology, Wuhan, China, 2006. [Google Scholar]
- Jiang, Y.-Y.; Yoshimura, S.; Imai, R.; Katsura, H.; Yoshida, T.; Kato, C. Quantitative evaluation of flow-induced structural vibration and noise in turbomachinery by full-scale weakly coupled simulation. J. Fluids Struct. 2007, 23, 531–544. [Google Scholar] [CrossRef]
- Wang, Y.; Luo, K.-K.; Wang, K.; Liu, H.-L.; Li, Y.; He, X.-H. Research on pressure fluctuation characteristics of a centrifugal pump with guide vane. J. Vibroeng. 2017, 19, 5482–5497. [Google Scholar] [CrossRef]
- He, T.; Yi, Z.-Y.; Sun, Y.-D. Numerical analysis for flow induced vibration of a centrifugal pump. J. Vib. Shock. 2012, 31, 96–102. [Google Scholar]
- Jiang, A.-H.; Li, G.-P.; Zhou, P.; Zhang, Y. Vibration incited by fluid forces on centrifugal pump from volute path and impeller path. J. Vib. Shock. 2014, 33, 1–7. [Google Scholar]
- Luo, B.; Wang, C.-L.; Xia, Y.; Ye, J.; Yang, X.-Y. Numerical simulation of flow-induced vibration of double-suction centrifugal pump as turbine. J. Drain. Irrig. Mach. Eng. 2019, 37, 313–318. [Google Scholar]
- Yao, T.-T.; Zheng, Y. Finite element analysis of stress, deformation and modal of head cover in axial-flow hydro-turbine. J. Drain. Irrig. Mach. Eng. 2020, 38, 39–44. [Google Scholar]
- Pei, J. Investigations on Fluid-Structure Interaction of Unsteady Flow-Induced Vibration and Flow Unsteadiness Intensity of Centrifugal Pumps. Ph.D. Thesis, Jiangsu University, Zhen Jiang, China, 2013. [Google Scholar]
- Zhang, D.-S.; Zhang, L.; Shi, W.-D.; Chen, B.; Zhang, H. Optimization of Vibration Characteristics for Centrifugal Pump Volute Based on Fluid-structure Interaction. Trans. Chin. Soc. Agric. Mach. 2013, 44, 40–45. [Google Scholar]
- Guo, W.-J. Analysis of Unsteady Flow and Vibration Characteristics of Low Specific Speed Centrifugal Pump Based on Two-way Fluid-Structure Interaction. Master’s Thesis, Zhejiang Sci-Tech University, Hang Zhou, China, 2017. [Google Scholar]
- El-Gazzar, D.M. Finite element analysis for structural modification and control resonance of a vertical pump. Alex. Eng. J. 2017, 56, 695–707. [Google Scholar] [CrossRef]
- Bae, D.-M.; QI, D.L.; Cao, B.; Cuo, W. A study on the method vibration analysis of marine pump. J. Korean Soc. Fish. Ocean. Technol. 2015, 51, 279–284. [Google Scholar] [CrossRef]
- Wu, J.-H.; He, T.; Yi, Z.-Y. FEM/BEM analysis for flow induced noise and vibration of a centrifugal pump. Ship Sci. Technol. 2016, 38, 49–55. [Google Scholar]
- Jiang, Y.; Zhao, J.-T. Reduce vibration measures for ship centrifugal pump based on modal analysis and CFD simulation. Ship Sci. Technol. 2012, 34, 109–114. [Google Scholar]
- Choi, B.K. Abnormal Vibration Diagnosis of High Pressure LNG Pump. J. Power Syst. Eng. 2005, 2, 45–49. [Google Scholar]
- Chen, W. Numerical Simulation an Experimental Study on Damping Vibration of Ships. Master’s Thesis, Shanghai Jiao Tong University, Shanghai, China, 2019. [Google Scholar]
- Liu, Z.; Li, B.; Ma, Q.-N.; Zhu, D.-P. Experiment on vibration characteristics of centrifugal pump with high head. J. Drain. Irrig. Mach. Eng. 2013, 31, 938–942. [Google Scholar]
- Jiang, T. Vibration Level Evaluation of the Environmental Vibration Affected by Multi-vibration Sources. Urban Mass Transit 2010, 13, 26–29. [Google Scholar]






















| Components | Geometric Parameters | Symbol | Value |
|---|---|---|---|
| Impeller | Inlet diameter (mm) | D1 | 65 |
| Exit diameter (mm) | D2 | 165 | |
| Exit width (mm) | b2 | 7 | |
| Blade wrap angle (°) | φ | 110 | |
| Blade numbers | z | 6 | |
| Volute | Basic circle diameter (mm) | D3 | 170 |
| Inlet width (mm) | b3 | 20 | |
| Exit diameter (mm) | Dd | 50 |
| Scheme | Number of Grids | Number of Nodes | Head (m) |
|---|---|---|---|
| 1 | 1,647,157 | 1,474,148 | 34.5 |
| 2 | 2,457,849 | 2,287,414 | 35.2 |
| 3 | 2,914,979 | 2,741,943 | 35.5 |
| 4 | 3,278,458 | 3,024,785 | 35.5 |
| 5 | 3,715,756 | 3,546,854 | 35.6 |
| Voltage (V) | 380 | Pole Number | 2 |
|---|---|---|---|
| Rated speed (rpm) | 2950 | Phase number | 3 |
| Frequency (Hz) | 50 | Connection method | Delta connection |
| Stator outer diameter (mm) | 210 | Stator inner diameter (mm) | 116 |
| Rotor outer diameter (mm) | 114 | Rotor inner diameter (mm) | 74 |
| Stator slot number | 30 | Rotor slot number | 26 |
| Measuring Point | Test Results (dB) | Fluid Excitation on the Inner Surface (dB) | Fluid Excitation in the Impeller (dB) | Electromagnetic Excitation (dB) |
|---|---|---|---|---|
| Outlet flange | 128.8 | 128 | 125 | 127 |
| Inlet flange | 127.5 | 126 | 122.6 | 125.5 |
| Connecting plate | 125.9 | 124.4 | 119.5 | 123.3 |
| Base | 121 | 120.8 | 115 | 117.6 |
Publisher’s Note: MDPI stays neutral with regard to jurisdictional claims in published maps and institutional affiliations. |
© 2021 by the authors. Licensee MDPI, Basel, Switzerland. This article is an open access article distributed under the terms and conditions of the Creative Commons Attribution (CC BY) license (http://creativecommons.org/licenses/by/4.0/).
Share and Cite
Dai, C.; Zhang, Y.; Pan, Q.; Dong, L.; Liu, H. Study on Vibration Characteristics of Marine Centrifugal Pump Unit Excited by Different Excitation Sources. J. Mar. Sci. Eng. 2021, 9, 274. https://doi.org/10.3390/jmse9030274
Dai C, Zhang Y, Pan Q, Dong L, Liu H. Study on Vibration Characteristics of Marine Centrifugal Pump Unit Excited by Different Excitation Sources. Journal of Marine Science and Engineering. 2021; 9(3):274. https://doi.org/10.3390/jmse9030274
Chicago/Turabian StyleDai, Cui, Yuhang Zhang, Qi Pan, Liang Dong, and Houlin Liu. 2021. "Study on Vibration Characteristics of Marine Centrifugal Pump Unit Excited by Different Excitation Sources" Journal of Marine Science and Engineering 9, no. 3: 274. https://doi.org/10.3390/jmse9030274
APA StyleDai, C., Zhang, Y., Pan, Q., Dong, L., & Liu, H. (2021). Study on Vibration Characteristics of Marine Centrifugal Pump Unit Excited by Different Excitation Sources. Journal of Marine Science and Engineering, 9(3), 274. https://doi.org/10.3390/jmse9030274

