Study on the Rheological Behavior of a Model Clay Sediment
Abstract
1. Introduction
2. Experiment
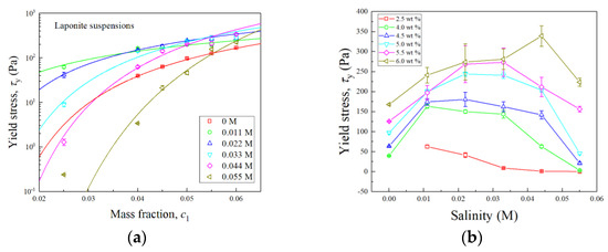
3. Result and Discussion
4. Conclusions
Author Contributions
Funding
Institutional Review Board Statement
Informed Consent Statement
Conflicts of Interest
References
- Zhang, F.Y.; Zhang, W.Y.; Zhang, X.Y.; Feng, X.L.; Lin, L.; Zhu, K.C.; Chen, K.Y.; Meng, Y.; Feng, X.W. Key Technique and Scheme of Classification and Nomenclature for Deep Sea Sediments. Earth Sci. J. China Univ. Geosci. 2012, 37, 93–104. [Google Scholar]
- Lin, Y.; Phan-Thien, N.; Lee, J.B.P.; Khoo, B.C. Concentration Dependence of Yield Stress and Dynamic Moduli of Kaolinite Suspensions. Langmuir 2015, 31, 4791–4797. [Google Scholar] [CrossRef] [PubMed]
- Paineau, E.; Michot, L.J.; Bihannic, I.; Baravian, C. Aqueous suspensions of natural swelling clay minerals. 2. Rheological characterization. Langmuir 2011, 27, 7806–7819. [Google Scholar] [CrossRef]
- Baird, J.C.; Walz, J.Y. The effects of added nanoparticles on aqueous kaolinite suspensions: II. Rheological effects. J. Colloid Interface Sci. 2007, 306, 411–420. [Google Scholar] [CrossRef] [PubMed]
- Abou, B.; Bonn, D.; Meunier, J. Nonlinear rheology of Laponite suspensions under an external drive. J. Rheol. 2003, 47, 979–988. [Google Scholar] [CrossRef][Green Version]
- Cocard, S.; Tassin, J.F.; Nicolai, T. Dynamical mechanical properties of gelling colloidal disks. J. Rheol. 2000, 44, 585–594. [Google Scholar] [CrossRef]
- Pignon, F.; Magnin, A.; Piau, J.M. Thixotropic behavior of clay dispersions: Combinations of scattering and rheometric techniques. J. Rheol. 1998, 42, 1349–1373. [Google Scholar] [CrossRef]
- Au, P.I.; Leong, Y.K. Surface chemistry and rheology of laponite dispersions zeta potential, yield stress, ageing, fractal dimension and pyrophosphate. Appl. Clay Sci. 2015, 107, 36–45. [Google Scholar]
- Leong, Y.K.; Du, M.Y.; Au, P.I.; Clode, P.; Liu, J. Microstructure of sodium montmorillonite gels with long aging time scale. Langmuir 2018, 34, 9673–9682. [Google Scholar] [CrossRef]
- Laxton, P.B.; Berg, J.C. Relating clay yield stress to colloidal parameters. J. Colloid Interface Sci. 2006, 296, 749–755. [Google Scholar]
- Teh, E.; Leong, Y.K.; Liu, Y.; Fourie, A.B.; Fahey, M. Differences in the rheology and surface chemistry of kaolin clay slurries: The source of the variations. Chem. Eng. Sci. 2009, 64, 3817–3825. [Google Scholar] [CrossRef]
- Leong, Y.K.; Teo, J.; Teh, E.; Smith, J.; Widjaja, J.; Lee, J.X.; Fourie, A.; Fahey, M.; Chen, R. Controlling attractive interparticle forces via small anionic and cationic additives in kaolin clay slurries. Chem. Eng. Res. Des. 2012, 90, 658–666. [Google Scholar] [CrossRef]
- Sakairi, N.; Kobayashi, M.; Adachi, Y. Effects of salt concentration on the yield stress of sodium montmorillonite suspension. J. Colloid Interface Sci. 2005, 283, 245–250. [Google Scholar] [CrossRef] [PubMed]
- Lin, Y.; Cheah, L.K.J.; Phan-Thien, N.; Khoo, B.C. Effect of temperature on rheological behavior of kaolinite and bentonite suspensions. Colloids Surf. A Physicochem. Eng. Asp. 2016, 506, 1–5. [Google Scholar] [CrossRef]
- Michot, L.J.; Baravian, C.; Bihannic, I.; Maddi, S.; Moyne, C.; Duval, J.F.; Levitz, P.; Davidson, P. Sol-Gel and Isotropic/Nematic Transitions in Aqueous Suspensions of Natural Nontronite Clay. Influence of Particle Anisotropy. 2. Gel Structure and Mechanical Properties. Langmuir 2009, 25, 127–139. [Google Scholar] [CrossRef]
- Philippe, A.M.; Baravian, C.; Imperor-Clerc, M.; De, S.J.; Paineau, E.; Bihannic, I.; Davidson, P.; Meneau, F.; Levitz, P.; Michot, L.J. Rheo-SAXS investigation of shear-thinning behaviour of very anisometric repulsive disc-like clay suspensions. J. Phys. Condens. Matter 2011, 23, 194112. [Google Scholar] [CrossRef] [PubMed]
- Lin, Y.; Zhu, H.; Wang, W.; Chen, J.W.; Phan-Thien, N.; Pan, D.Y. Rheological behavior for laponite and bentonite suspensions in shear flow. AIP Adv. 2019, 9, 125–233. [Google Scholar] [CrossRef]
- Lin, Y.; Wang, W.; Zhu, H.; Chen, J.W.; Phan-Thien, N.; Pan, D.Y. Size effect of the parallel-plate geometry on the rheological behavior of bentonite suspensions. J. Rheol. 2020, 64, 111–117. [Google Scholar] [CrossRef]
- Montoro, M.A.; Francisca, F.M. Effect of ion type and concentration on rheological properties of natural sodium bentonite dispersions at low shear rates. Appl. Clay Sci. 2019, 178, 105132. [Google Scholar] [CrossRef]
- Larson, R.G. The Structure and Rheology of Complex Fluids; Oxford University Press: New York, NY, USA, 1999. [Google Scholar]
- He, Z.G.; Zhao, L.; Hu, P.; Yu, C.H.; Lin, Y.T. Investigations of dynamic behaviors of lock-exchange turbidity currents down a slope based on direct numerical simulation. Adv. Water Resour. 2018, 119, 164–177. [Google Scholar] [CrossRef]
- Bertevas, E.; Tran-Duc, T.; Le-Cao, K.; Khoo, B.C.; Phan-Thien, N. A smoothed particle hydrodynamics (SPH) formulation of a two-phase mixture model and its application to turbulent sediment transport. Phys. Fluids 2019, 31, 103303. [Google Scholar] [CrossRef]







| Component | SiO2 (%) | MgO (%) | Li2 O(%) | Na2O (%) | Loss on Ignition (%) | Free Moisture | Sieve Analysis |
|---|---|---|---|---|---|---|---|
| Value | 59.5 | 27.5 | 0.8 | 2.8 | 8.2 | 10% Max | 2% Max > 250 μm |
| Component | SiO2 (%) | Al2O3 (%) | Fe2O3 (%) | CaO (%) | MgO (%) | K2O (%) | Na2O (%) | Loss on Ignition (%) |
|---|---|---|---|---|---|---|---|---|
| Value | 60.77 | 17.11 | 2.26 | 0.15 | 0.78 | 3.85 | 0.33 | 5.85 |
| Clay Concentration | 2.5 wt% | 4.0 wt% | 4.5 wt% | 5.0 wt% | 5.5 wt% | 6.0 wt% | |
|---|---|---|---|---|---|---|---|
| Ionic Strength | |||||||
| 0 M | - | 39.74 | 63.72 | 97.16 | 125.87 | 168.04 | |
| 0.011 M | 62.55 | 163.63 | 174.53 | 199.92 | 197.52 | 241.31 | |
| 0.022 M | 41.40 | 150.26 | 180.56 | 244.24 | 268.70 | 274.21 | |
| 0.033 M | 8.95 | 143.84 | 162.52 | 241.15 | 273.44 | 281.24 | |
| 0.044 M | 1.29 | 62.90 | 142.05 | 204.00 | 211.78 | 339.22 | |
| 0.055 M | 0.24 | 3.40 | 21.29 | 46.03 | 156.35 | 223.84 | |
| NaCl Concentration | 0.011 M | 0.022 M | 0.033 M | 0.044 M | 0.055 M |
|---|---|---|---|---|---|
| B | 7.03 | 26.96 | 55.46 | 88.04 | 173.25 |
| Aτ0 | 87.83 | 741.71 | 3617.37 | 16,338.03 | 302,752.7 |
| Clay Concentration | 4.0 wt% | 4.5 wt% | 5.0 wt% | 5.5 wt% | 6.0 wt% |
|---|---|---|---|---|---|
| τy (Pa) | 39.74 | 63.72 | 97.16 | 125.87 | 168.04 |
| ηy (Pa·s) | 0.3395 | 0.2265 | 0.1965 | 0.2054 | 0.1324 |
| Parameter | η0 | K | m | η∞ |
|---|---|---|---|---|
| Laponite | 0.01 | 0.95 | −6 | 0.04 |
| Bentonite | 0.284 | 1 | −5 | 0.3 |
| Clay Concentration | 7.5 wt% | 10 wt% | 15 wt% | 20 wt% |
|---|---|---|---|---|
| τy (Pa) | 2.198 | 5.81 | 25.72 | 84.38 |
| ηy (Pa·s) | 0.0145 | 0.0192 | 0.0266 | 0.0345 |
Publisher’s Note: MDPI stays neutral with regard to jurisdictional claims in published maps and institutional affiliations. |
© 2021 by the authors. Licensee MDPI, Basel, Switzerland. This article is an open access article distributed under the terms and conditions of the Creative Commons Attribution (CC BY) license (http://creativecommons.org/licenses/by/4.0/).
Share and Cite
Lin, Y.; Qin, H.; Guo, J.; Chen, J. Study on the Rheological Behavior of a Model Clay Sediment. J. Mar. Sci. Eng. 2021, 9, 81. https://doi.org/10.3390/jmse9010081
Lin Y, Qin H, Guo J, Chen J. Study on the Rheological Behavior of a Model Clay Sediment. Journal of Marine Science and Engineering. 2021; 9(1):81. https://doi.org/10.3390/jmse9010081
Chicago/Turabian StyleLin, Yuan, Huaitao Qin, Jin Guo, and Jiawang Chen. 2021. "Study on the Rheological Behavior of a Model Clay Sediment" Journal of Marine Science and Engineering 9, no. 1: 81. https://doi.org/10.3390/jmse9010081
APA StyleLin, Y., Qin, H., Guo, J., & Chen, J. (2021). Study on the Rheological Behavior of a Model Clay Sediment. Journal of Marine Science and Engineering, 9(1), 81. https://doi.org/10.3390/jmse9010081

