Transitional Behavior of a Flow Regime in Shoaling Tsunami Boundary Layers
Abstract
1. Introduction
2. Flow Regime in a Wave Boundary Layer
3. Calculation Method of Tsunami Transformation
3.1. Tsunami Shoaling Process
3.2. Calculation of Friction Factor and Friction Velocity
3.3. Calculation of Boundary Layer Thickness
4. Results and Discussion
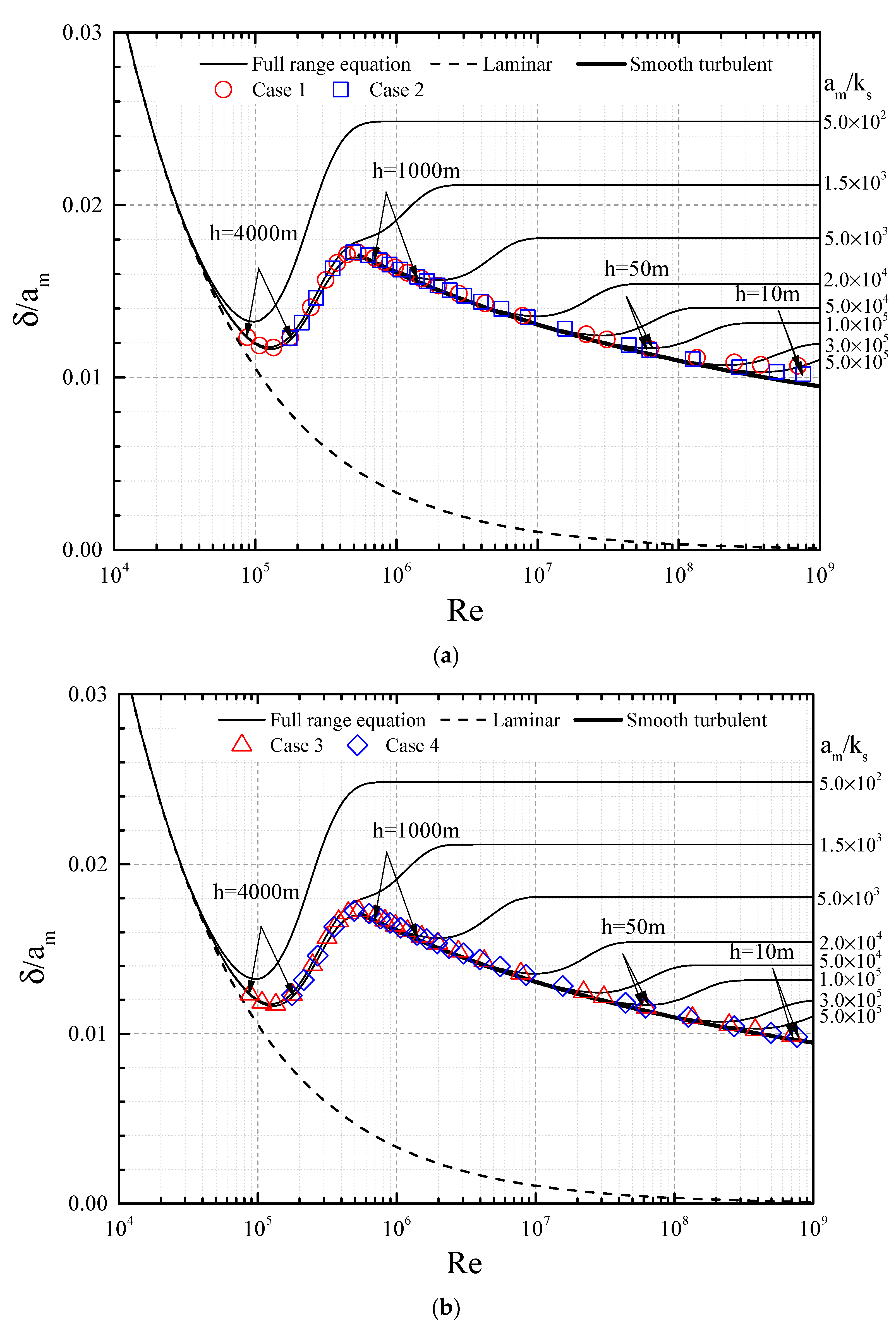
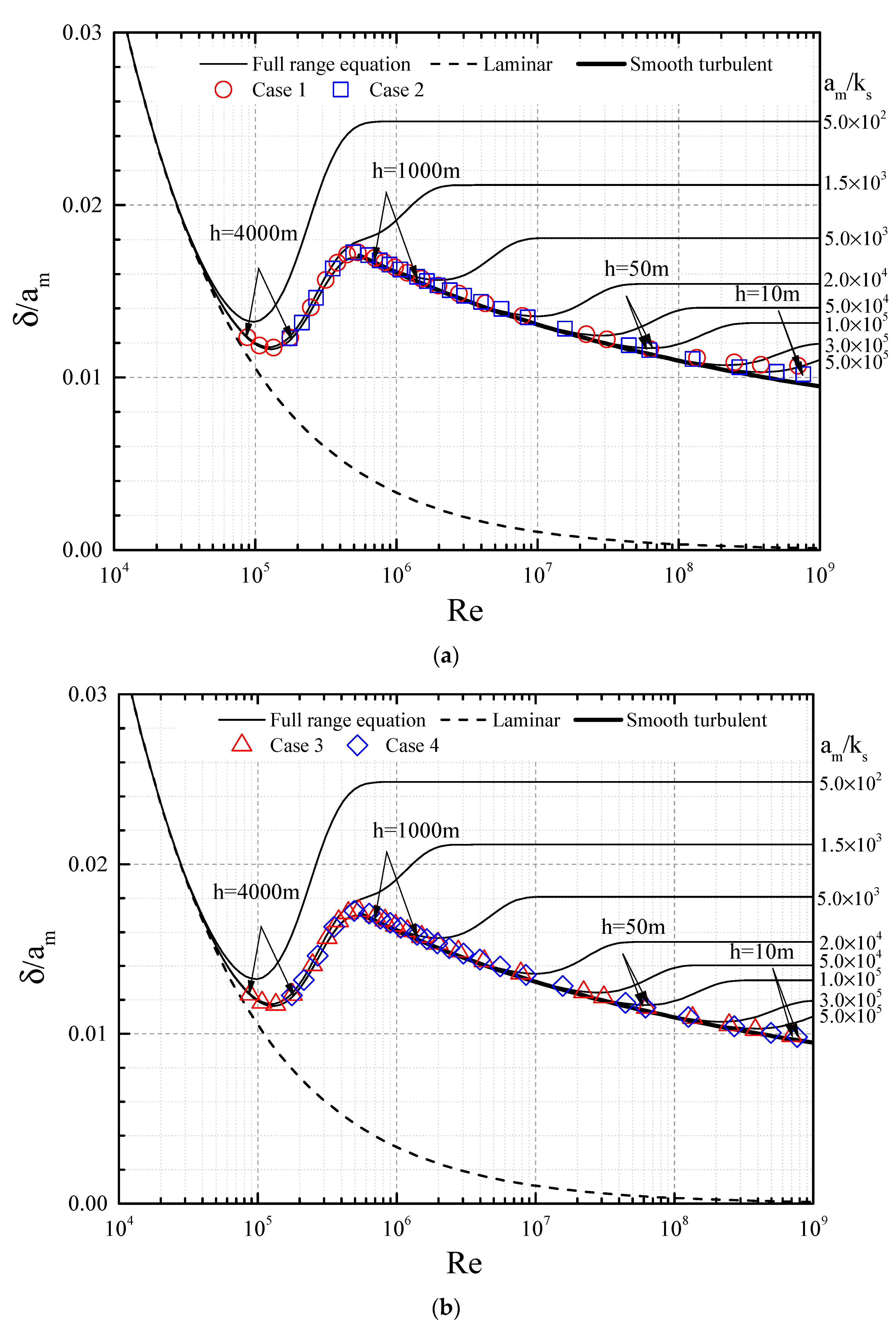
4.1. Transitional Flow Regime in Terms of Boundary Layer Thickness
4.2. Transitional Flow Regime in Terms of the Re vs. am/ks Relationship
4.3. Laminar-to-Turbulent Transition
4.4. Smooth-to-Rough Transition
4.5. Transitional Flow Regime in Terms of Friction Coefficient
4.6. Comparison with Steady Friction Laws
4.7. Transitional Flow Regime and Transitional Friction Factor under a Tsunami
5. Conclusions
Author Contributions
Funding
Acknowledgments
Conflicts of Interest
References
- Imamura, F. Review of Tsunami Simulation with a Finite Difference Method. In Long-Wave Runup Models; World Scientific: Singapore, 1996; pp. 25–42. [Google Scholar]
- Liu, P.L.F.; Woo, S.B.; Cho, Y.S. Computer Programs for Tsunami Propagation and Inundation; Technical report; Cornell University: Ithaca, NY, USA, 1998. [Google Scholar]
- Lynett, P.J.; Gately, K.; Wilson, R.; Montoya, L.; Arcas, D.; Aytore, B.; Bai, Y.; Bricker, J.D.; Castro, M.J.; Cheung, K.F.; et al. Inter-model analysis of tsunami-induced coastal currents. Ocean Model. 2017, 114, 14–32. [Google Scholar] [CrossRef]
- Tanaka, H.; Sana, A.; Kawamura, I.; Yamaji, H. Depth-limited oscillatory boundary layers on a rough bottom. Coast. Eng. J. 1999, 41, 85–105. [Google Scholar] [CrossRef]
- Lacy, J.R.; Rubin, D.M.; Buscombe, D. Currents, drag, and sediment transport induced by a tsunami. J. Geophys. Res. 2012, 117, C9. [Google Scholar] [CrossRef]
- Williams, I.A.; Fuhrman, D.R. Numerical simulation of tsunami-scale wave boundary layers. Coast. Eng. 2016, 110, 17–31. [Google Scholar] [CrossRef]
- Sumer, M.B.; Fuhrman, D.R. Turbulence in Coastal and Civil Engineering; World Scientific: Singapore, 2020; 758p. [Google Scholar]
- Larsen, B.E.; Arbøll, L.K.; Kristoffersen, S.F.; Carstensen, S.; Fuhrman, D.R. Experimental study of tsunami-induced scour around a monopile foundation. Coast. Eng. 2018, 138, 9–21. [Google Scholar] [CrossRef]
- Tinh, N.X.; Tanaka, H. Study on boundary layer development and bottom shear stress beneath a tsunami. Coast. Eng. J. 2019, 61, 574–589. [Google Scholar] [CrossRef]
- Jonsson, I.G. Wave Boundary Layers and Friction Factors. In Proceedings of the 10th International Conference on Coastal Engineering, Tokyo, Japan, 5–8 September 1966; ASCE: New York, NY, USA, 1966; pp. 127–148. [Google Scholar]
- Jonsson, I.G. A new approach to oscillatory rough turbulent boundary layers. Ocean Eng. 1980, 7, 109–152. [Google Scholar] [CrossRef]
- Kamphuis, J.W. Friction factor under oscillatory waves. J. Waterw. Port Coast. Ocean Eng. 1975, 101, 135–144. [Google Scholar]
- Myrhaug, D. A rational approach to wave friction coefficients for rough, smooth and transitional turbulent flow. Coast. Eng. 1989, 13, 11–21. [Google Scholar] [CrossRef]
- Tanaka, H.; Sana, A. Numerical Study on Transition to Turbulence in a Wave Boundary Layer. In Sediment Transport Mechanisms in Coastal Environments and Rivers; World Scientific: Singapore, 1994; pp. 14–25. [Google Scholar]
- Tanaka, H.; Shuto, N. Friction laws and flow regimes under wave and current motion. J. Hydraul. Res. 1984, 22, 245–261. [Google Scholar] [CrossRef]
- Christoffersen, J.B.; Jonsson, I.G. Bed friction and dissipation in a combined current and wave motion. Ocean Eng. 1985, 12, 387–423. [Google Scholar] [CrossRef]
- Myrhaug, D.; Slaattelid, O.H. A rational approach to wave-current friction coefficient for rough, smooth and transitional turbulent flow. Coast. Eng. 1990, 14, 265–293. [Google Scholar] [CrossRef]
- Tanaka, H.; Thu, A. Full-range equation of friction coefficient and phase difference in a wave-current boundary layer. Coast. Eng. 1994, 22, 237–254. [Google Scholar] [CrossRef]
- Schlichting, H. Boundary Layer Theory, 9th ed.; Springer: Berlin/Heidelberg, Germany, 1979; 805p. [Google Scholar]
- Sana, A.; Tanaka, H. Full-range equation for wave boundary layer thickness. Coast. Eng. 2007, 54, 639–642. [Google Scholar] [CrossRef]
- Sana, A.; Tanaka, H. Corrigendum to “Full-range equation for wave boundary layer thickness” [Coast. Eng. 54 (2007) 639–642]. Coast. Eng. 2019, 152, 103516. [Google Scholar] [CrossRef]
- Tanaka, H.; Tinh, N.X.; Sana, A. Improvement of the full-range equation for wave boundary layer thickness. J. Mar. Sci. Tech. 2020, 8, 573. [Google Scholar] [CrossRef]
- Jensen, B.L.; Sumer, B.M.; Fredsøe, J. Turbulent oscillatory boundary layers at high Reynolds numbers. J. Fluid Mech. 1989, 206, 265–297. [Google Scholar] [CrossRef]
- Sleath, J.F.L. Turbulent oscillatory flow over rough beds. J. Fluid Mech. 1987, 82, 369–409. [Google Scholar] [CrossRef]
- Yuan, J.; Madsen, O.S. Experimental study of turbulent oscillatory boundary layers in an oscillating water tunnel. Coast. Eng. 2014, 89, 63–84. [Google Scholar] [CrossRef]
- Jonsson, I.G.; Carlsen, N.A. Experimental and theoretical investigation in an oscillatory turbulent boundary layer. J. Hydraul. Res. 1976, 14, 45–60. [Google Scholar] [CrossRef]
- van der Dominic, A.A.; O’Donoghue, T.; Davies, A.G.; Ribberink, J.S. Experimental study of the turbulent boundary layer in acceleration-skewed oscillatory flow. J. Fluid Mech. 2011, 684, 251–283. [Google Scholar] [CrossRef]
- Chow, V.T. Open Channel Hydraulics; McGraw-Hill: New York, NY, USA, 1959; 700p. [Google Scholar]
- Larsen, B.E.; Fuhrman, D.R. Full-scale CFD simulation of tsunamis. Part 2: Boundary layers and bed shear stresses. Coast. Eng. 2019, 151, 42–57. [Google Scholar] [CrossRef]









| Quantity | Input Value | |
|---|---|---|
| Water depth of tsunami source | h0 = 4000 m | |
| Tsunami height in the source | H0 = 1 m | |
| Case 1 | Wave period | T = 15 min |
| Sand diameter | d = 0.3 mm | |
| Case 2 | Wave period | T = 30 min |
| Sand diameter | d = 0.3 mm | |
| Case 3 | Wave period | T = 15 min |
| Sand diameter | d = 0.1 mm | |
| Case 4 | Wave period | T = 30 min |
| Sand diameter | d = 0.1 mm | |
| x (km) | h (m) | H (m) | Um (m/s) | |||||||
|---|---|---|---|---|---|---|---|---|---|---|
| Case 1 | Case 2 | Case 3 | Case 4 | Case 1, Case 3 | Case 2, Case 4 | |||||
| 0 | 4000 | 1.00 | 0.025 | 5.91 × 103 | 1.18 × 104 | 1.77 × 104 | 3.54 × 104 | 8.77 × 104 | 1.75 × 105 | 9.90 × 107 |
| 25 | 3500 | 1.03 | 0.027 | 6.53 × 103 | 1.31 × 104 | 1.96 × 104 | 3.92 × 104 | 1.07 × 105 | 2.14 × 105 | 9.57 × 107 |
| 50 | 3000 | 1.08 | 0.031 | 7.33 × 103 | 1.47 × 104 | 2.20 × 104 | 4.40 × 104 | 1.35 × 105 | 2.70 × 105 | 9.21 × 107 |
| 75 | 2500 | 1.13 | 0.035 | 8.41 × 103 | 1.68 × 104 | 2.52 × 104 | 5.04 × 104 | 1.78 × 105 | 3.55 × 105 | 8.80 × 107 |
| 100 | 2000 | 1.19 | 0.042 | 9.94 × 103 | 1.99 × 104 | 2.98 × 104 | 5.96 × 104 | 2.48 × 105 | 4.96 × 105 | 8.32 × 107 |
| 115 | 1700 | 1.24 | 0.047 | 1.12 × 104 | 2.24 × 104 | 3.37 × 104 | 6.73 × 104 | 3.17 × 105 | 6.33 × 105 | 7.99 × 107 |
| 125 | 1500 | 1.28 | 0.052 | 1.23 × 104 | 2.47 × 104 | 3.70 × 104 | 7.40 × 104 | 3.82 × 105 | 7.64 × 105 | 7.75 × 107 |
| 132.5 | 1350 | 1.31 | 0.056 | 1.33 × 104 | 2.67 × 104 | 4.00 × 104 | 8.01 × 104 | 4.47 × 105 | 8.95 × 105 | 7.55 × 107 |
| 140 | 1200 | 1.35 | 0.061 | 1.46 × 104 | 2.92 × 104 | 4.37 × 104 | 8.75 × 104 | 5.34 × 105 | 1.07 × 106 | 7.33 × 107 |
| 150 | 1000 | 1.41 | 0.07 | 1.67 × 104 | 3.34 × 104 | 5.01 × 104 | 1.00 × 105 | 7.02 × 105 | 1.40 × 106 | 7.00 × 107 |
| 155 | 900 | 1.45 | 0.076 | 1.81 × 104 | 3.62 × 104 | 5.43 × 104 | 1.09 × 105 | 8.22 × 105 | 1.64 × 106 | 6.82 × 107 |
| 160 | 800 | 1.50 | 0.083 | 1.98 × 104 | 3.95 × 104 | 5.93 × 104 | 1.19 × 105 | 9.81 × 105 | 1.96 × 106 | 6.62 × 107 |
| 165 | 700 | 1.55 | 0.091 | 2.18 × 104 | 4.37 × 104 | 6.55 × 104 | 1.31 × 105 | 1.20 × 106 | 2.40 × 106 | 6.40 × 107 |
| 170 | 600 | 1.61 | 0.103 | 2.45 × 104 | 4.90 × 104 | 7.35 × 104 | 1.47 × 105 | 1.51 × 106 | 3.02 × 106 | 6.16 × 107 |
| 175 | 500 | 1.68 | 0.118 | 2.81 × 104 | 5.62 × 104 | 8.43 × 104 | 1.69 × 105 | 1.99 × 106 | 3.97 × 106 | 5.89 × 107 |
| 180 | 400 | 1.78 | 0.139 | 3.32 × 104 | 6.64 × 104 | 9.97 × 104 | 1.99 × 105 | 2.77 × 106 | 5.55 × 106 | 5.57 × 107 |
| 185 | 300 | 1.91 | 0.173 | 4.12 × 104 | 8.25 × 104 | 1.24 × 105 | 2.47 × 105 | 4.27 × 106 | 8.54 × 106 | 5.18 × 107 |
| 190 | 200 | 2.12 | 0.234 | 5.59 × 104 | 1.12 × 105 | 1.68 × 105 | 3.35 × 105 | 7.85 × 106 | 1.57 × 107 | 4.68 × 107 |
| 195 | 100 | 2.52 | 0.394 | 9.40 × 104 | 1.88 × 105 | 2.82 × 105 | 5.64 × 105 | 2.22 × 107 | 4.44 × 107 | 3.94 × 107 |
| 196 | 80 | 2.66 | 0.465 | 1.11 × 105 | 2.22 × 105 | 3.33 × 105 | 6.67 × 105 | 3.10 × 107 | 6.20 × 107 | 3.72 × 107 |
| 197.5 | 50 | 2.99 | 0.662 | 1.58 × 105 | 3.16 × 105 | 4.74 × 105 | 9.48 × 105 | 6.28 × 107 | 1.26 × 108 | 3.31 × 107 |
| 198.5 | 30 | 3.40 | 0.971 | 2.32 × 105 | 4.64 × 105 | 6.95 × 105 | 1.39 × 106 | 1.35 × 108 | 2.70 × 108 | 2.91 × 107 |
| 199 | 20 | 3.76 | 1.316 | 3.14 × 105 | 6.28 × 105 | 9.43 × 105 | 1.89 × 106 | 2.48 × 108 | 4.96 × 108 | 2.63 × 107 |
| 199.25 | 15 | 4.04 | 1.633 | 3.90 × 105 | 7.80 × 105 | 1.17 × 106 | 2.34 × 106 | 3.82 × 108 | 7.64 × 108 | 2.45 × 107 |
| 199.5 | 10 | 4.47 | 2.214 | 5.28 × 105 | 1.06 × 106 | 1.59 × 106 | 3.17 × 106 | 7.02 × 108 | 1.40 × 109 | 2.21 × 107 |
| (a) Wave Friction Coefficient Tanaka and Thu [18] | (b) Wave Boundary Layer Thickness Tanaka et al. [22] | |||
|---|---|---|---|---|
| Full-range equation | (11) | (18) | ||
| Equation for each flow regime | (12) | (19) | ||
| (13) | (20) | |||
| (14) | (21) | |||
| Weight function | (15) | (22) | ||
| (16) | ||||
| (17) | ||||
© 2020 by the authors. Licensee MDPI, Basel, Switzerland. This article is an open access article distributed under the terms and conditions of the Creative Commons Attribution (CC BY) license (http://creativecommons.org/licenses/by/4.0/).
Share and Cite
Tanaka, H.; Tinh, N.X.; Sana, A. Transitional Behavior of a Flow Regime in Shoaling Tsunami Boundary Layers. J. Mar. Sci. Eng. 2020, 8, 700. https://doi.org/10.3390/jmse8090700
Tanaka H, Tinh NX, Sana A. Transitional Behavior of a Flow Regime in Shoaling Tsunami Boundary Layers. Journal of Marine Science and Engineering. 2020; 8(9):700. https://doi.org/10.3390/jmse8090700
Chicago/Turabian StyleTanaka, Hitoshi, Nguyen Xuan Tinh, and Ahmad Sana. 2020. "Transitional Behavior of a Flow Regime in Shoaling Tsunami Boundary Layers" Journal of Marine Science and Engineering 8, no. 9: 700. https://doi.org/10.3390/jmse8090700
APA StyleTanaka, H., Tinh, N. X., & Sana, A. (2020). Transitional Behavior of a Flow Regime in Shoaling Tsunami Boundary Layers. Journal of Marine Science and Engineering, 8(9), 700. https://doi.org/10.3390/jmse8090700
